Appendix A-6 to Part 60—Test Methods 16 through 18
Method 16—Semicontinuous determination of sulfur emissions from stationary sources Method 16A—Determination of total reduced sulfur emissions from stationary sources (impinger technique) Method 16B—Determination of total reduced sulfur emissions from stationary sources Method 16C—Determination of Total Reduced Sulfur Emissions From Stationary Sources Method 17—Determination of particulate emissions from stationary sources (in-stack filtration method) Method 18—Measurement of gaseous organic compound emissions by gas chromatographyThe test methods in this appendix are referred to in § 60.8 (Performance Tests) and § 60.11 (Compliance With Standards and Maintenance Requirements) of 40 CFR part 60, subpart A (General Provisions). Specific uses of these test methods are described in the standards of performance contained in the subparts, beginning with Subpart D.
Within each standard of performance, a section title “Test Methods and Procedures” is provided to: (1) Identify the test methods to be used as reference methods to the facility subject to the respective standard and (2) identify any special instructions or conditions to be followed when applying a method to the respective facility. Such instructions (for example, establish sampling rates, volumes, or temperatures) are to be used either in addition to, or as a substitute for procedures in a test method. Similarly, for sources subject to emission monitoring requirements, specific instructions pertaining to any use of a test method as a reference method are provided in the subpart or in Appendix B.
Inclusion of methods in this appendix is not intended as an endorsement or denial of their applicability to sources that are not subject to standards of performance. The methods are potentially applicable to other sources; however, applicability should be confirmed by careful and appropriate evaluation of the conditions prevalent at such sources.
The approach followed in the formulation of the test methods involves specifications for equipment, procedures, and performance. In concept, a performance specification approach would be preferable in all methods because this allows the greatest flexibility to the user. In practice, however, this approach is impractical in most cases because performance specifications cannot be established. Most of the methods described herein, therefore, involve specific equipment specifications and procedures, and only a few methods in this appendix rely on performance criteria.
Minor changes in the test methods should not necessarily affect the validity of the results and it is recognized that alternative and equivalent methods exist. section 60.8 provides authority for the Administrator to specify or approve (1) equivalent methods, (2) alternative methods, and (3) minor changes in the methodology of the test methods. It should be clearly understood that unless otherwise identified all such methods and changes must have prior approval of the Administrator. An owner employing such methods or deviations from the test methods without obtaining prior approval does so at the risk of subsequent disapproval and retesting with approved methods.
Within the test methods, certain specific equipment or procedures are recognized as being acceptable or potentially acceptable and are specifically identified in the methods. The items identified as acceptable options may be used without approval but must be identified in the test report. The potentially approvable options are cited as “subject to the approval of the Administrator” or as “or equivalent.” Such potentially approvable techniques or alternatives may be used at the discretion of the owner without prior approval. However, detailed descriptions for applying these potentially approvable techniques or alternatives are not provided in the test methods. Also, the potentially approvable options are not necessarily acceptable in all applications. Therefore, an owner electing to use such potentially approvable techniques or alternatives is responsible for: (1) assuring that the techniques or alternatives are in fact applicable and are properly executed; (2) including a written description of the alternative method in the test report (the written method must be clear and must be capable of being performed without additional instruction, and the degree of detail should be similar to the detail contained in the test methods); and (3) providing any rationale or supporting data necessary to show the validity of the alternative in the particular application. Failure to meet these requirements can result in the Administrator's disapproval of the alternative.
Method 16—Semicontinuous Determination of Sulfur Emissions From Stationary SourcesNote:
This method does not include all of the specifications (e.g., equipment and supplies) and procedures (e.g., sampling and analytical) essential to its performance. Some material is incorporated by reference from other methods in this part. Therefore, to obtain reliable results, persons using this method should have a thorough knowledge of at least the following additional test methods: Method 1, Method 4, Method 15, and Method 16A.
1.1 Analytes.
| Analyte | CAS No. | Sensitivity |
|---|---|---|
| Dimethyl disulfide [(CH3)2 S2] | 62-49-20 | 50 ppb. |
| Dimethyl sulfide [(CH3)2 S] | 75-18-3 | 50 ppb. |
| Hydrogen sulfide [H2 S] | 7783-06-4 | 50 ppb. |
| Methyl mercaptan [CH4 S] | 74-93-1 | 50 ppb. |
1.2 Applicability. This method is applicable for the determination of total reduced sulfur (TRS) compounds from recovery furnaces, lime kilns, and smelt dissolving tanks at kraft pulp mills and fuel gas combustion devices at petroleum refineries.
Note:
The method described below uses the principle of gas chromatographic (GC) separation and flame photometric detection (FPD). Since there are many systems or sets of operating conditions that represent useable methods of determining sulfur emissions, all systems which employ this principle, but differ only in details of equipment and operation, may be used as alternative methods, provided that the calibration precision and sample line loss criteria are met.
1.3 Data Quality Objectives. Adherence to the requirements of this method will enhance the quality of the data obtained from air pollutant sampling methods.
2.0 Summary of Method2.1 A gas sample is extracted from the emission source and an aliquot is analyzed for hydrogen sulfide (H2S), methyl mercaptan (MeSH), dimethyl sulfide (DMS), and dimethyl disulfide (DMDS) by GC/FPD. These four compounds are known collectively as TRS.
3.0 Definitions [Reserved]4.0 Interferences4.1 Moisture. Moisture condensation in the sample delivery system, the analytical column, or the FPD burner block can cause losses or interferences. This is prevented by maintaining the probe, filter box, and connections at a temperature of at least 120 °C (248 °F). Moisture is removed in the SO2 scrubber and heating the sample beyond this point is not necessary when the ambient temperature is above 0 °C (32 °F). Alternatively, moisture may be eliminated by heating the sample line, and by conditioning the sample with dry dilution air to lower its dew point below the operating temperature of the GC/FPD analytical system prior to analysis.
4.2 Carbon Monoxide (CO) and Carbon Dioxide (CO2). CO and CO2 have a substantial desensitizing effect on the flame photometric detector even after dilution. Acceptable systems must demonstrate that they have eliminated this interference by some procedure such as eluting these compounds before any of the compounds to be measured. Compliance with this requirement can be demonstrated by submitting chromatograms of calibration gases with and without CO2 in the diluent gas. The CO2 level should be approximately 10 percent for the case with CO2 present. The two chromatograms should show agreement within the precision limits of section 10.2.
4.3 Particulate Matter. Particulate matter in gas samples can cause interference by eventual clogging of the analytical system. This interference is eliminated by using the Teflon filter after the probe.
4.4 Sulfur Dioxide (SO2). Sulfur dioxide is not a specific interferant but may be present in such large amounts that it cannot effectively be separated from the other compounds of interest. The SO2 scrubber described in section 6.1.3 will effectively remove SO2 from the sample.
5.0 Safety5.1 Disclaimer. This method may involve hazardous materials, operations, and equipment. This test method may not address all of the safety problems associated with its use. It is the responsibility of the user of this test method to establish appropriate safety and health practices and determine the applicability of regulatory limitations prior to performing this test method.
5.2 Hydrogen Sulfide. A flammable, poisonous gas with the odor of rotten eggs. H2S is extremely hazardous and can cause collapse, coma, and death within a few seconds of one or two inhalations at sufficient concentrations. Low concentrations irritate the mucous membranes and may cause nausea, dizziness, and headache after exposure.
6.0 Equipment and Supplies6.1. Sample Collection. The following items are needed for sample collection.
6.1.1 Probe. Teflon or Teflon-lined stainless steel. The probe must be heated to prevent moisture condensation. It must be designed to allow calibration gas to enter the probe at or near the sample point entry. Any portion of the probe that contacts the stack gas must be heated to prevent moisture condensation. Figure 16-1 illustrates the probe used in lime kilns and other sources where significant amounts of particulate matter are present. The probe is designed with the deflector shield placed between the sample and the gas inlet holes to reduce clogging of the filter and possible adsorption of sample gas. As an alternative, the probe described in section 6.1.1 of Method 16A having a nozzle directed away from the gas stream may be used at sources having significant amounts of particulate matter.
6.1.2 Particulate Filter. 50-mm Teflon filter holder and a 1- to 2-micron porosity Teflon filter (available through Savillex Corporation, 5325 Highway 101, Minnetonka, Minnesota 55343). The filter holder must be maintained in a hot box at a temperature of at least 120 °C (248 °F).
6.1.3 SO2 Scrubber. Three 300-ml Teflon segmented impingers connected in series with flexible, thick-walled, Teflon tubing. (Impinger parts and tubing available through Savillex.) The first two impingers contain 100 ml of citrate buffer and the third impinger is initially dry. The tip of the tube inserted into the solution should be constricted to less than 3 mm ( 1/8 in.) ID and should be immersed to a depth of at least 5 cm (2 in.). Immerse the impingers in an ice water bath and maintain near 0 °C (32 °F). The scrubber solution will normally last for a 3-hour run before needing replacement. This will depend upon the effects of moisture and particulate matter on the solution strength and pH. Connections between the probe, particulate filter, and SO2 scrubber must be made of Teflon and as short in length as possible. All portions of the probe, particulate filter, and connections prior to the SO2 scrubber (or alternative point of moisture removal) must be maintained at a temperature of at least 120 °C (248 °F).
6.1.4 Sample Line. Teflon, no greater than 1.3 cm ( 1/2 in.) ID. Alternative materials, such as virgin Nylon, may be used provided the line loss test is acceptable.
6.1.5 Sample Pump. The sample pump must be a leakless Teflon-coated diaphragm type or equivalent.
6.2 Analysis. The following items are needed for sample analysis:
6.2.1 Dilution System. Needed only for high sample concentrations. The dilution system must be constructed such that all sample contacts are made of Teflon, glass, or stainless steel.
6.2.2 Gas Chromatograph. The gas chromatograph must have at least the following components:
6.2.2.1 Oven. Capable of maintaining the separation column at the proper operating temperature ±1 °C (2 °F).
6.2.2.2 Temperature Gauge. To monitor column oven, detector, and exhaust temperature ±1 °C (2 °F).
6.2.2.3 Flow System. Gas metering system to measure sample, fuel, combustion gas, and carrier gas flows.
6.2.2.4 Flame Photometric Detector.
6.2.2.4.1 Electrometer. Capable of full scale amplification of linear ranges of 10−9 to 10−4 amperes full scale.
6.2.2.4.2 Power Supply. Capable of delivering up to 750 volts.
6.2.2.4.3 Recorder. Compatible with the output voltage range of the electrometer.
6.2.2.4.4 Rotary Gas Valves. Multiport Teflon-lined valves equipped with sample loop. Sample loop volumes must be chosen to provide the needed analytical range. Teflon tubing and fittings must be used throughout to present an inert surface for sample gas. The gas chromatograph must be calibrated with the sample loop used for sample analysis.
6.2.3 Gas Chromatogram Columns. The column system must be demonstrated to be capable of resolving the four major reduced sulfur compounds: H2S, MeSH, DMS, and DMDS. It must also demonstrate freedom from known interferences. To demonstrate that adequate resolution has been achieved, submit a chromatogram of a calibration gas containing all four of the TRS compounds in the concentration range of the applicable standard. Adequate resolution will be defined as base line separation of adjacent peaks when the amplifier attenuation is set so that the smaller peak is at least 50 percent of full scale. Baseline separation is defined as a return to zero ±5 percent in the interval between peaks. Systems not meeting this criteria may be considered alternate methods subject to the approval of the Administrator.
6.3 Calibration. A calibration system, containing the following components, is required (see Figure 16-2).
6.3.1 Tube Chamber. Chamber of glass or Teflon of sufficient dimensions to house permeation tubes.
6.3.2 Flow System. To measure air flow over permeation tubes at ±2 percent. Flow over the permeation device may also be determined using a soap bubble flowmeter.
6.3.3 Constant Temperature Bath. Device capable of maintaining the permeation tubes at the calibration temperature within 0.1 °C (0.2 °F).
6.3.4 Temperature Gauge. Thermometer or equivalent to monitor bath temperature within 1 °C (2 °F).
7.0 Reagents and Standards7.1 Fuel. Hydrogen (H2), prepurified grade or better.
7.2 Combustion Gas. Oxygen (O2) or air, research purity or better.
7.3 Carrier Gas. Prepurified grade or better.
7.4 Diluent (if required). Air containing less than 50 ppb total sulfur compounds and less than 10 ppmv each of moisture and total hydrocarbons.
7.5 Calibration Gases
7.5.1 Permeation tubes, one each of H2S, MeSH, DMS, and DMDS, gravimetrically calibrated and certified at some convenient operating temperature. These tubes consist of hermetically sealed FEP Teflon tubing in which a liquified gaseous substance is enclosed. The enclosed gas permeates through the tubing wall at a constant rate. When the temperature is constant, calibration gases covering a wide range of known concentrations can be generated by varying and accurately measuring the flow rate of diluent gas passing over the tubes. These calibration gases are used to calibrate the GC/FPD system and the dilution system.
7.5.2 Cylinder Gases. Cylinder gases may be used as alternatives to permeation devices. The gases must be traceable to a primary standard (such as permeation tubes) and not used beyond the certification expiration date.
7.6 Citrate Buffer and Sample Line Loss Gas. Same as Method 15, sections 7.6 and 7.7.
8.0 Sample Collection, Preservation, Storage, and TransportSame as Method 15, section 8.0, except that the references to the dilution system may not be applicable.
9.0 Quality Control| Section | Quality control measure | Effect |
|---|---|---|
| 8.0 | Sample line loss check | Ensures that uncorrected negative bias introduced by sample loss is no greater than 20 percent, and provides for correction of bias of 20 percent or less. |
| 8.0 | Calibration drift test | Ensures that bias introduced by drift in the measurement system output during the run is no greater than 5 percent. |
| 10.0 | Analytical calibration | Ensures precision of analytical results within 5 percent. |
Same as Method 15, section 10.0, with the following addition and exceptions:
10.1 Use the four compounds that comprise TRS instead of the three reduced sulfur compounds measured by Method 15.
10.2 Flow Meter. Calibration before each test run is recommended, but not required; calibration following each test series is mandatory. Calibrate each flow meter after each complete test series with a wet-test meter. If the flow measuring device differs from the wet-test meter by 5 percent or more, the completed test runs must be voided. Alternatively, the flow data that yield the lower flow measurement may be used. Flow over the permeation device may also be determined using a soap bubble flowmeter.
11.0 Analytical ProcedureSample collection and analysis are concurrent for this method (see section 8.0).
12.0 Data Analysis and Calculations12.1 Concentration of Reduced Sulfur Compounds. Calculate the average concentration of each of the four analytes (i.e., DMDS, DMS, H2S, and MeSH) over the sample run (specified in section 8.2 of Method 15 as 16 injections).
Where:
Si = Concentration of any reduced sulfur compound from the i
th sample injection, ppm.
C = Average concentration of any one of the reduced sulfur compounds for the entire run, ppm.
N = Number of injections in any run period.
12.2 TRS Concentration. Using Equation 16-2, calculate the TRS concentration for each sample run.
Where:
CTRS = TRS concentration, ppmv.
CH2S = Hydrogen sulfide concentration, ppmv.
CMeSH = Methyl mercaptan concentration, ppmv.
CDMS = Dimethyl sulfide concentration, ppmv.
CDMDS = Dimethyl disulfide concentration, ppmv.
d = Dilution factor, dimensionless.
12.3 Average TRS Concentration. Calculate the average TRS concentration for all sample runs performed.
Where:
Average TRS = Average total reduced sulfur in ppm.
TRSi = Total reduced sulfur in ppm as determined by Equation 16-2.
N = Number of samples.
Bwo = Fraction of volume of water vapor in the gas stream as determined by Method 4—Determination of Moisture in Stack Gases.
13.0 Method Performance
13.1 Analytical Range. The analytical range will vary with the sample loop size. Typically, the analytical range may extend from 0.1 to 100 ppmv using 10- to 0.1-ml sample loop sizes. This eliminates the need for sample dilution in most cases.
13.2 Sensitivity. Using the 10-ml sample size, the minimum detectable concentration is approximately 50 ppb.
14.0 Pollution Prevention [Reserved]15.0 Waste Management [Reserved]16.0 References1. O'Keeffe, A.E., and G.C. Ortman. “Primary Standards for Trace Gas Analysis.” Analytical Chemical Journal, 38,76. 1966.
2. Stevens, R.K., A.E. O'Keeffe, and G.C. Ortman. “Absolute Calibration of a Flame Photometric Detector to Volatile Sulfur Compounds at Sub-Part-Per-Million Levels.” Environmental Science and Technology, 3:7. July 1969.
3. Mulik, J.D., R.K. Stevens, and R. Baumgardner. “An Analytical System Designed to Measure Multiple Malodorous Compounds Related to Kraft Mill Activities.” Presented at the 12th Conference on Methods in Air Pollution and Industrial Hygiene Studies, University of Southern California, Los Angeles, CA. April 6-8, 1971.
4. Devonald, R.H., R.S. Serenius, and A.D. McIntyre. “Evaluation of the Flame Photometric Detector for Analysis of Sulfur Compounds.” Pulp and Paper Magazine of Canada, 73,3. March 1972.
5. Grimley, K.W., W.S. Smith, and R.M. Martin. “The Use of a Dynamic Dilution System in the Conditioning of Stack Gases for Automated Analysis by a Mobile Sampling Van.” Presented at the 63rd Annual APCA Meeting, St. Louis, MO. June 14-19, 1970.
6. General Reference. Standard Methods of Chemical Analysis, Volumes III-A and III-B Instrumental Methods. Sixth Edition. Van Nostrand Reinhold Co.
17.0 Tables, Diagrams, Flowcharts, and Validation Data
Method 16A—Determination of Total Reduced Sulfur Emissions From Stationary Sources (Impinger Technique)
Note:
This method does not include all of the specifications (e.g., equipment and supplies) and procedures (e.g., sampling and analytical) essential to its performance. Some material is incorporated by reference from other methods in this part. Therefore, to obtain reliable results, persons using this method should have a thorough knowledge of at least the following additional test methods: Method 1, Method 6, and Method 16.
1.1 Analytes.
| Analyte | CAS No. | Sensitivity |
|---|---|---|
| Total reduced sulfur (TRS) including: | N/A | See section 13.1. |
| Dimethyl disulfide [(CH3)2 S2] | 62-49-20 | |
| Dimethyl sulfide [(CH3)2 S] | 75-18-3 | |
| Hydrogen sulfide [H2 S] | 7783-06-4 | |
| Methyl mercaptan [CH4 S] | 74-93-1 | |
| Reduced sulfur (RS) including: | N/A | |
| H2 S | 7783-06-4 | |
| Carbonyl sulfide [COS] | 463-58-1 | |
| Carbon disulfide [CS2] | 75-15-0 | |
| Reported as: Sulfur dioxide (SO2) | 7449-09-5 |
1.2 Applicability. This method is applicable for the determination of TRS emissions from recovery boilers, lime kilns, and smelt dissolving tanks at kraft pulp mills, reduced sulfur compounds (H2S, carbonyl sulfide, and carbon disulfide) from sulfur recovery units at onshore natural gas processing facilities, and from other sources when specified in an applicable subpart of the regulations. The flue gas must contain at least 1 percent oxygen for complete oxidation of all TRS to SO2. Note: If sources other than kraft pulp mills experience low oxygen levels in the emissions, the method results may be biased low.
1.3 Data Quality Objectives. Adherence to the requirements of this method will enhance the quality of the data obtained from air pollutant sampling methods.
2.0 Summary of Method2.1 An integrated gas sample is extracted from the stack. SO2 is removed selectively from the sample using a citrate buffer solution. TRS compounds are then thermally oxidized to SO2, collected in hydrogen peroxide as sulfate, and analyzed by the Method 6 barium-thorin titration procedure.
3.0 Definitions [Reserved]4.0 Interferences4.1 Reduced sulfur compounds other than those regulated by the emission standards, if present, may be measured by this method. Therefore, carbonyl sulfide, which is partially oxidized to SO2 and may be present in a lime kiln exit stack, would be a positive interferant.
4.2 Particulate matter from the lime kiln stack gas (primarily calcium carbonate) can cause a negative bias if it is allowed to enter the citrate scrubber; the particulate matter will cause the pH to rise and H2S to be absorbed prior to oxidation. Furthermore, if the calcium carbonate enters the hydrogen peroxide impingers, the calcium will precipitate sulfate ion. Proper use of the particulate filter described in section 6.1.3 will eliminate this interference.
5.0 Safety5.1 Disclaimer. This method may involve hazardous materials, operations, and equipment. This test method may not address all of the safety problems associated with its use. It is the responsibility of the user of this test method to establish appropriate safety and health practices and determine the applicability of regulatory limitations prior to performing this test method.
5.2 Corrosive reagents. The following reagents are hazardous. Personal protective equipment and safe procedures are useful in preventing chemical splashes. If contact occurs, immediately flush with copious amounts of water for at least 15 minutes. Remove clothing under shower and decontaminate. Treat residual chemical burns as thermal burns.
5.2.1 Hydrogen Peroxide (H2O2). Irritating to eyes, skin, nose, and lungs.
5.2.2 Sodium Hydroxide (NaOH). Causes severe damage to eyes and skin. Inhalation causes irritation to nose, throat, and lungs. Reacts exothermically with limited amounts of water.
5.2.3 Sulfuric Acid (H2SO4). Rapidly destructive to body tissue. Will cause third degree burns. Eye damage may result in blindness. Inhalation may be fatal from spasm of the larynx, usually within 30 minutes. May cause lung tissue damage with edema. 3 mg/m 3 will cause lung damage in uninitiated. 1 mg/m 3 for 8 hours will cause lung damage or, in higher concentrations, death. Provide ventilation to limit inhalation. Reacts violently with metals and organics.
5.3 Hydrogen Sulfide (H2S). A flammable, poisonous gas with the odor of rotten eggs. H2S is extremely hazardous and can cause collapse, coma, and death within a few seconds of one or two inhalations at sufficient concentrations. Low concentrations irritate the mucous membranes and may cause nausea, dizziness, and headache after exposure.
6.0 Equipment and Supplies6.1 Sample Collection. The sampling train is shown in Figure 16A-1 and component parts are discussed below. Modifications to this sampling train are acceptable provided the system performance check is met (see section 8.5).
6.1.1 Probe. Teflon tubing, 6.4-mm ( 1/4-in.) diameter, sequentially wrapped with heat-resistant fiber strips, a rubberized heat tape (plug at one end), and heat-resistant adhesive tape. A flexible thermocouple or other suitable temperature measuring device should be placed between the Teflon tubing and the fiber strips so that the temperature can be monitored to prevent softening of the probe. The probe should be sheathed in stainless steel to provide in-stack rigidity. A series of bored-out stainless steel fittings placed at the front of the sheath will prevent moisture and particulate from entering between the probe and sheath. A 6.4-mm ( 1/4-in.) Teflon elbow (bored out) should be attached to the inlet of the probe, and a 2.54 cm (1 in.) piece of Teflon tubing should be attached at the open end of the elbow to permit the opening of the probe to be turned away from the particulate stream; this will reduce the amount of particulate drawn into the sampling train. The probe is depicted in Figure 16A-2.
6.1.2 Probe Brush. Nylon bristle brush with handle inserted into a 3.2-mm ( 1/8-in.) Teflon tubing. The Teflon tubing should be long enough to pass the brush through the length of the probe.
6.1.3 Particulate Filter. 50-mm Teflon filter holder and a 1- to 2-µm porosity, Teflon filter (available through Savillex Corporation, 5325 Highway 101, Minnetonka, Minnesota 55343). The filter holder must be maintained in a hot box at a temperature sufficient to prevent moisture condensation. A temperature of 121 °C (250 °F) was found to be sufficient when testing a lime kiln under sub-freezing ambient conditions.
6.1.4 SO2 Scrubber. Three 300-ml Teflon segmented impingers connected in series with flexible, thick-walled, Teflon tubing. (Impinger parts and tubing available through Savillex.) The first two impingers contain 100 ml of citrate buffer and the third impinger is initially dry. The tip of the tube inserted into the solution should be constricted to less than 3 mm ( 1/8-in.) ID and should be immersed to a depth of at least 5 cm (2 in.).
6.1.5 Combustion Tube. Quartz glass tubing with an expanded combustion chamber 2.54 cm (1 in.) in diameter and at least 30.5 cm (12 in.) long. The tube ends should have an outside diameter of 0.6 cm ( 1/4 in.) and be at least 15.3 cm (6 in.) long. This length is necessary to maintain the quartz-glass connector near ambient temperature and thereby avoid leaks. Alternatively, the outlet may be constructed with a 90-degree glass elbow and socket that would fit directly onto the inlet of the first peroxide impinger.
6.1.6 Furnace. A furnace of sufficient size to enclose the combustion chamber of the combustion tube with a temperature regulator capable of maintaining the temperature at 800 ±100 °C (1472 ±180 °F). The furnace operating temperature should be checked with a thermocouple to ensure accuracy.
6.1.7 Peroxide Impingers, Stopcock Grease, Temperature Sensor, Drying Tube, Valve, Pump, and Barometer. Same as Method 6, sections 6.1.1.2, 6.1.1.4, 6.1.1.5, 6.1.1.6, 6.1.1.7, 6.1.1.8, and 6.1.2, respectively, except that the midget bubbler of Method 6, section 6.1.1.2 is not required.
6.1.8 Vacuum Gauge. At least 760 mm Hg (30 in. Hg) gauge.
6.1.9 Rate Meter. Rotameter, or equivalent, accurate to within 5 percent at the selected flow rate of approximately 2 liters/min (4.2 ft 3/hr).
6.1.10 Volume Meter. Dry gas meter capable of measuring the sample volume under the sampling conditions of 2 liters/min (4.2 ft 3/hr) with an accuracy of 2 percent.
6.2 Sample Recovery. Polyethylene Bottles, 250-ml (one per sample).
6.3 Sample Preparation and Analysis. Same as Method 6, section 6.3, except a 10-ml buret with 0.05-ml graduations is required, and the spectrophotometer is not needed.
7.0 Reagents and StandardsNote:
Unless otherwise indicated, all reagents must conform to the specifications established by the Committee on Analytical Reagents of the American Chemical Society. When such specifications are not available, the best available grade must be used.
7.1 Sample Collection. The following reagents are required for sample analysis:
7.1.1 Water. Same as in Method 6, section 7.1.1.
7.1.2 Citrate Buffer. Dissolve 300 g of potassium citrate (or 284 g of sodium citrate) and 41 g of anhydrous citric acid in 1 liter of water (200 ml is needed per test). Adjust the pH to between 5.4 and 5.6 with potassium citrate or citric acid, as required.
7.1.3 Hydrogen Peroxide, 3 percent. Same as in Method 6, section 7.1.3 (40 ml is needed per sample).
7.1.4 Recovery Check Gas. Hydrogen sulfide (100 ppmv or less) in nitrogen, stored in aluminum cylinders. Verify the concentration by Method 11 or by gas chromatography where the instrument is calibrated with an H2S permeation tube as described below. For Method 11, the relative standard deviation should not exceed 5 percent on at least three 20-minute runs.
Note:
Alternatively, hydrogen sulfide recovery gas generated from a permeation device gravimetrically calibrated and certified at some convenient operating temperature may be used. The permeation rate of the device must be such that at a dilution gas flow rate of 3 liters/min (6.4 ft 3/hr), an H2S concentration in the range of the stack gas or within 20 percent of the standard can be generated.
7.1.5 Combustion Gas. Gas containing less than 50 ppb reduced sulfur compounds and less than 10 ppmv total hydrocarbons. The gas may be generated from a clean-air system that purifies ambient air and consists of the following components: Diaphragm pump, silica gel drying tube, activated charcoal tube, and flow rate measuring device. Flow from a compressed air cylinder is also acceptable.
7.2 Sample Recovery and Analysis. Same as Method 6, sections 7.2.1 and 7.3, respectively.
8.0 Sample Collection, Preservation, Storage, and Transport8.1 Preparation of Sampling Train.
8.1.1 For the SO2 scrubber, measure 100 ml of citrate buffer into the first and second impingers; leave the third impinger empty. Immerse the impingers in an ice bath, and locate them as close as possible to the filter heat box. The connecting tubing should be free of loops. Maintain the probe and filter temperatures sufficiently high to prevent moisture condensation, and monitor with a suitable temperature sensor.
8.1.2 For the Method 6 part of the train, measure 20 ml of 3 percent hydrogen peroxide into the first and second midget impingers. Leave the third midget impinger empty, and place silica gel in the fourth midget impinger. Alternatively, a silica gel drying tube may be used in place of the fourth impinger. Maintain the oxidation furnace at 800 ±100 °C (1472 ±180 °F). Place crushed ice and water around all impingers.
8.2 Citrate Scrubber Conditioning Procedure. Condition the citrate buffer scrubbing solution by pulling stack gas through the Teflon impingers and bypassing all other sampling train components. A purge rate of 2 liters/min for 10 minutes has been found to be sufficient to obtain equilibrium. After the citrate scrubber has been conditioned, assemble the sampling train, and conduct (optional) a leak-check as described in Method 6, section 8.2.
8.3 Sample Collection. Same as in Method 6, section 8.3, except the sampling rate is 2 liters/min (±10 percent) for 1 or 3 hours. After the sample is collected, remove the probe from the stack, and conduct (mandatory) a post-test leak-check as described in Method 6, section 8.2. The 15-minute purge of the train following collection should not be performed. After each 3-hour test run (or after three 1-hour samples), conduct one system performance check (see section 8.5) to determine the reduced sulfur recovery efficiency through the sampling train. After this system performance check and before the next test run, rinse and brush the probe with water, replace the filter, and change the citrate scrubber (optional but recommended).
Note:
In Method 16, a test run is composed of 16 individual analyses (injects) performed over a period of not less than 3 hours or more than 6 hours. For Method 16A to be consistent with Method 16, the following may be used to obtain a test run: (1) collect three 60-minute samples or (2) collect one 3-hour sample. (Three test runs constitute a test.)
8.4 Sample Recovery. Disconnect the impingers. Quantitatively transfer the contents of the midget impingers of the Method 6 part of the train into a leak-free polyethylene bottle for shipment. Rinse the three midget impingers and the connecting tubes with water and add the washings to the same storage container. Mark the fluid level. Seal and identify the sample container.
8.5 System Performance Check.
8.5.1 A system performance check is done (1) to validate the sampling train components and procedure (prior to testing; optional) and (2) to validate a test run (after a run). Perform a check in the field prior to testing consisting of at least two samples (optional), and perform an additional check after each 3 hour run or after three 1-hour samples (mandatory).
8.5.2 The checks involve sampling a known concentration of H2S and comparing the analyzed concentration with the known concentration. Mix the H2S recovery check gas (Section 7.1.4) and combustion gas in a dilution system such as that shown in Figure 16A-3. Adjust the flow rates to generate an H2S concentration in the range of the stack gas or within 20 percent of the applicable standard and an oxygen concentration greater than 1 percent at a total flow rate of at least 2.5 liters/min (5.3 ft 3/hr). Use Equation 16A-3 to calculate the concentration of recovery gas generated. Calibrate the flow rate from both sources with a soap bubble flow meter so that the diluted concentration of H2S can be accurately calculated.
8.5.3 Collect 30-minute samples, and analyze in the same manner as the emission samples. Collect the sample through the probe of the sampling train using a manifold or some other suitable device that will ensure extraction of a representative sample.
8.5.4 The recovery check must be performed in the field prior to replacing the SO2 scrubber and particulate filter and before the probe is cleaned. Use Equation 16A-4 (see section 12.5) to calculate the recovery efficiency. Report the recovery efficiency with the emission data; do not correct the emission data for the recovery efficiency. A sample recovery of 100 ±20 percent must be obtained for the emission data to be valid. However, if the recovery efficiency is not in the 100 ±20 percent range but the results do not affect the compliance or noncompliance status of the affected facility, the Administrator may decide to accept the results of the compliance test.
9.0 Quality Control| Section | Quality control measure | Effect |
|---|---|---|
| 8.5 | System performance check | Ensure validity of sampling train components and analytical procedure. |
| 8.2, 10.0 | Sampling equipment leak-check and calibration | Ensure accurate measurement of stack gas flow rate, sample volume. |
| 10.0 | Barium standard solution standardization | Ensure precision of normality determination. |
| 11.1 | Replicate titrations | Ensure precision of titration determinations. |
Same as Method 6, section 10.0.
11.0 Analytical Procedure11.1 Sample Loss Check and Sample Analysis. Same as Method 6, sections 11.1 and 11.2, respectively, with the following exception: for 1-hour sampling, take a 40-ml aliquot, add 160 ml of 100 percent isopropanol and four drops of thorin.
12.0 Data Analysis and CalculationsIn the calculations, at least one extra decimal figure should be retained beyond that of the acquired data. Figures should be rounded off after final calculations.
12.1 Nomenclature.
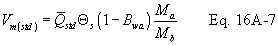
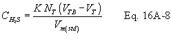
CTRS = Concentration of TRS as SO2, dry basis corrected to standard conditions, ppmv. CRG(act) = Actual concentration of recovery check gas (after dilution), ppm. CRG(m) = Measured concentration of recovery check gas generated, ppm. CH2S = Verified concentration of H2S recovery gas. N = Normality of barium perchlorate titrant, milliequivalents/ml. Pbar = Barometric pressure at exit orifice of the dry gas meter, mm Hg (in. Hg). Pstd = Standard absolute pressure, 760 mm Hg (29.92 in. Hg). QH2S = Calibrated flow rate of H2S recovery gas, liters/min. QCG = Calibrated flow rate of combustion gas, liters/min. R = Recovery efficiency for the system performance check, percent. Tm = Average dry gas meter absolute temperature, °K (°R). Tstd = Standard absolute temperature, 293 °K (528 °R). Va = Volume of sample aliquot titrated, ml. Vm = Dry gas volume as measured by the dry gas meter, liters (dcf). Vm(std) = Dry gas volume measured by the dry gas meter, corrected to standard conditions, liters (dscf). Vsoln = Total volume of solution in which the sulfur dioxide sample is contained, 100 ml. Vt = Volume of barium perchlorate titrant used for the sample, ml (average of replicate titrations). Vtb = Volume of barium perchlorate titrant used for the blank, ml. Y = Dry gas meter calibration factor. 32.03 = Equivalent weight of sulfur dioxide, mg/meq.12.2 Dry Sample Gas Volume, Corrected to Standard Conditions.
Where:
K1 = 0.3855 °K/mm Hg for metric units,
= 17.65 °R/in. Hg for English units.
12.3 Concentration of TRS as ppm SO2.
Where:

12.4 Concentration of Recovery Gas Generated in the System Performance Check.

12.5 Recovery Efficiency for the System Performance Check.
13.0 Method Performance
13.1 Analytical Range. The lower detectable limit is 0.1 ppmv SO2 when sampling at 2 liters/min (4.2 ft 3/hr) for 3 hours or 0.3 ppmv when sampling at 2 liters/min (4.2 ft 3/hr) for 1 hour. The upper concentration limit of the method exceeds the TRS levels generally encountered at kraft pulp mills.
13.2 Precision. Relative standard deviations of 2.0 and 2.6 percent were obtained when sampling a recovery boiler for 1 and 3 hours, respectively.
13.3 Bias.
13.3.1 No bias was found in Method 16A relative to Method 16 in a separate study at a recovery boiler.
13.3.2 Comparison of Method 16A with Method 16 at a lime kiln indicated that there was no bias in Method 16A. However, instability of the source emissions adversely affected the comparison. The precision of Method 16A at the lime kiln was similar to that obtained at the recovery boiler (Section 13.2.1).
13.3.3 Relative standard deviations of 2.7 and 7.7 percent have been obtained for system performance checks.
14.0 Pollution Prevention [Reserved]15.0 Waste Management [Reserved]16.0 Alternative ProceduresAs an alternative to the procedures specified in section 7.1.4, the following procedure may be used to verify the H2S concentration of the recovery check gas.
16.1 Summary. The H2S is collected from the calibration gas cylinder and is absorbed in zinc acetate solution to form zinc sulfide. The latter compound is then measured iodometrically.
16.2 Range. The procedure has been examined in the range of 5 to 1500 ppmv.
16.3 Interferences. There are no known interferences to this procedure when used to analyze cylinder gases containing H2S in nitrogen.
16.4 Precision and Bias. Laboratory tests have shown a relative standard deviation of less than 3 percent. The procedure showed no bias when compared to a gas chromatographic method that used gravimetrically certified permeation tubes for calibration.
16.5 Equipment and Supplies.
16.5.1 Sampling Apparatus. The sampling train is shown in Figure 16A-4. Its component parts are discussed in sections 16.5.1.1 through 16.5.2.
16.5.1.1 Sampling Line. Teflon tubing ( 1/4-in.) to connect the cylinder regulator to the sampling valve.
16.5.1.2 Needle Valve. Stainless steel or Teflon needle valve to control the flow rate of gases to the impingers.
16.5.1.3 Impingers. Three impingers of approximately 100-ml capacity, constructed to permit the addition of reagents through the gas inlet stem. The impingers shall be connected in series with leak-free glass or Teflon connectors. The impinger bottoms have a standard 24/25 ground-glass fitting. The stems are from standard 6.4-mm ( 1/4-in.) ball joint midget impingers, custom lengthened by about 1 in. When fitted together, the stem end should be approximately 1.27 cm ( 1/2 in.) from the bottom (Southern Scientific, Inc., Micanopy, Florida: Set Number S6962-048). The third in-line impinger acts as a drop-out bottle.
16.5.1.4 Drying Tube, Rate Meter, and Barometer. Same as Method 11, sections 6.1.5, 6.1.8, and 6.1.10, respectively.
16.5.1.5 Cylinder Gas Regulator. Stainless steel, to reduce the pressure of the gas stream entering the Teflon sampling line to a safe level.
16.5.1.6 Soap Bubble Meter. Calibrated for 100 and 500 ml, or two separate bubble meters.
16.5.1.7 Critical Orifice. For volume and rate measurements. The critical orifice may be fabricated according to section 16.7.3 and must be calibrated as specified in section 16.12.4.
16.5.1.8 Graduated Cylinder. 50-ml size.
16.5.1.9 Volumetric Flask. 1-liter size.
16.5.1.10 Volumetric Pipette. 15-ml size.
16.5.1.11 Vacuum Gauge. Minimum 20 in. Hg capacity.
16.5.1.12 Stopwatch.
16.5.2 Sample Recovery and Analysis.
16.5.2.1 Erlenmeyer Flasks. 125- and 250-ml sizes.
16.5.2.2 Pipettes. 2-, 10-, 20-, and 100-ml volumetric.
16.5.2.3 Burette. 50-ml size.
16.5.2.4 Volumetric Flask. 1-liter size.
16.5.2.5 Graduated Cylinder. 50-ml size.
16.5.2.6 Wash Bottle.
16.5.2.7 Stirring Plate and Bars.
16.6 Reagents and Standards. Unless otherwise indicated, all reagents must conform to the specifications established by the Committee on Analytical Reagents of the American Chemical Society, where such specifications are available. Otherwise, use the best available grade.
16.6.1 Water. Same as Method 11, section 7.1.3.
16.6.2 Zinc Acetate Absorbing Solution. Dissolve 20 g zinc acetate in water, and dilute to 1 liter.
16.6.3 Potassium Bi-iodate [KH(IO3)2] Solution, Standard 0.100 N. Dissolve 3.249 g anhydrous KH(IO3)2 in water, and dilute to 1 liter.
16.6.4 Sodium Thiosulfate (Na2S2O3) Solution, Standard 0.1 N. Same as Method 11, section 7.3.2. Standardize according to section 16.12.2.
16.6.5 Na2S2O3 Solution, Standard 0.01 N. Pipette 100.0 ml of 0.1 N Na2S2O3 solution into a 1-liter volumetric flask, and dilute to the mark with water.
16.6.6 Iodine Solution, 0.1 N. Same as Method 11, section 7.2.3.
16.6.7 Standard Iodine Solution, 0.01 N. Same as in Method 11, section 7.2.4. Standardize according to section 16.12.3.
16.6.8 Hydrochloric Acid (HCl) Solution, 10 Percent by Weight. Add 230 ml concentrated HCl (specific gravity 1.19) to 770 ml water.
16.6.9 Starch Indicator Solution. To 5 g starch (potato, arrowroot, or soluble), add a little cold water, and grind in a mortar to a thin paste. Pour into 1 liter of boiling water, stir, and let settle overnight. Use the clear supernatant. Preserve with 1.25 g salicylic acid, 4 g zinc chloride, or a combination of 4 g sodium propionate and 2 g sodium azide per liter of starch solution. Some commercial starch substitutes are satisfactory.
16.7 Pre-test Procedures.
16.7.1 Selection of Gas Sample Volumes. This procedure has been validated for estimating the volume of cylinder gas sample needed when the H2S concentration is in the range of 5 to 1500 ppmv. The sample volume ranges were selected in order to ensure a 35 to 60 percent consumption of the 20 ml of 0.01 N iodine (thus ensuring a 0.01 N Na2S2O3 titer of approximately 7 to 12 ml). The sample volumes for various H2S concentrations can be estimated by dividing the approximate ppm-liters desired for a given concentration range by the H2S concentration stated by the manufacturer. For example, for analyzing a cylinder gas containing approximately 10 ppmv H2S, the optimum sample volume is 65 liters (650 ppm-liters/10 ppmv). For analyzing a cylinder gas containing approximately 1000 ppmv H2S, the optimum sample volume is 1 liter (1000 ppm-liters/1000 ppmv).
| Approximate cylinder gas H2 S concentration (ppmv) | Approximate ppm-liters desired |
|---|---|
| 5 to <30 | 650 |
| 30 to <500 | 800 |
| 500 to <1500 | 1000 |
16.7.2 Critical Orifice Flow Rate Selection. The following table shows the ranges of sample flow rates that are desirable in order to ensure capture of H2S in the impinger solution. Slight deviations from these ranges will not have an impact on measured concentrations.
| Cylinder gas H2 S concentration (ppmv) | Critical orifice flow rate (ml/min) |
|---|---|
| 5 to 50 ppmv | 1500 ±500 |
| 50 to 250 ppmv | 500 ±250 |
| 250 to <1000 ppmv | 200 ±50 |
| >1000 ppmv | 75 ±25 |
16.7.3 Critical Orifice Fabrication. Critical orifice of desired flow rates may be fabricated by selecting an orifice tube of desired length and connecting 1/16-in. × 1/4-in. (0.16 cm × 0.64 cm) reducing fittings to both ends. The inside diameters and lengths of orifice tubes needed to obtain specific flow rates are shown below.
| Tube (in. OD) | Tube (in. ID) | Length (in.) | Flowrate (ml/min) | Altech Catalog No. |
|---|---|---|---|---|
| 1/16 | 0.007 | 1.2 | 85 | 301430 |
| 1/16 | 0.01 | 3.2 | 215 | 300530 |
| 1/16 | 0.01 | 1.2 | 350 | 300530 |
| 1/16 | 0.02 | 1.2 | 1400 | 300230 |
16.7.4 Determination of Critical Orifice Approximate Flow Rate. Connect the critical orifice to the sampling system as shown in Figure 16A-4 but without the H2S cylinder. Connect a rotameter in the line to the first impinger. Turn on the pump, and adjust the valve to give a reading of about half atmospheric pressure. Observe the rotameter reading. Slowly increase the vacuum until a stable flow rate is reached, and record this as the critical vacuum. The measured flow rate indicates the expected critical flow rate of the orifice. If this flow rate is in the range shown in section 16.7.2, proceed with the critical orifice calibration according to section 16.12.4.
16.7.5 Determination of Approximate Sampling Time. Determine the approximate sampling time for a cylinder of known concentration. Use the optimum sample volume obtained in section 16.7.1.

16.8 Sample Collection.
16.8.1 Connect the Teflon tubing, Teflon tee, and rotameter to the flow control needle valve as shown in Figure 16A-4. Vent the rotameter to an exhaust hood. Plug the open end of the tee. Five to 10 minutes prior to sampling, open the cylinder valve while keeping the flow control needle valve closed. Adjust the delivery pressure to 20 psi. Open the needle valve slowly until the rotameter shows a flow rate approximately 50 to 100 ml above the flow rate of the critical orifice being used in the system.
16.8.2 Place 50 ml of zinc acetate solution in two of the impingers, connect them and the empty third impinger (dropout bottle) and the rest of the equipment as shown in Figure 16A-4. Make sure the ground-glass fittings are tight. The impingers can be easily stabilized by using a small cardboard box in which three holes have been cut, to act as a holder. Connect the Teflon sample line to the first impinger. Cover the impingers with a dark cloth or piece of plastic to protect the absorbing solution from light during sampling.
16.8.3 Record the temperature and barometric pressure. Note the gas flow rate through the rotameter. Open the closed end of the tee. Connect the sampling tube to the tee, ensuring a tight connection. Start the sampling pump and stopwatch simultaneously. Note the decrease in flow rate through the excess flow rotameter. This decrease should equal the known flow rate of the critical orifice being used. Continue sampling for the period determined in section 16.7.5.
16.8.4 When sampling is complete, turn off the pump and stopwatch. Disconnect the sampling line from the tee and plug it. Close the needle valve followed by the cylinder valve. Record the sampling time.
16.9 Blank Analysis. While the sample is being collected, run a blank as follows: To a 250-ml Erlenmeyer flask, add 100 ml of zinc acetate solution, 20.0 ml of 0.01 N iodine solution, and 2 ml HCl solution. Titrate, while stirring, with 0.01 N Na2S2O3 until the solution is light yellow. Add starch, and continue titrating until the blue color disappears. Analyze a blank with each sample, as the blank titer has been observed to change over the course of a day.
Note:
Iodine titration of zinc acetate solutions is difficult to perform because the solution turns slightly white in color near the end point, and the disappearance of the blue color is hard to recognize. In addition, a blue color may reappear in the solution about 30 to 45 seconds after the titration endpoint is reached. This should not be taken to mean the original endpoint was in error. It is recommended that persons conducting this test perform several titrations to be able to correctly identify the endpoint. The importance of this should be recognized because the results of this analytical procedure are extremely sensitive to errors in titration.
16.10 Sample Analysis. Sample treatment is similar to the blank treatment. Before detaching the stems from the bottoms of the impingers, add 20.0 ml of 0.01 N iodine solution through the stems of the impingers holding the zinc acetate solution, dividing it between the two (add about 15 ml to the first impinger and the rest to the second). Add 2 ml HCl solution through the stems, dividing it as with the iodine. Disconnect the sampling line, and store the impingers for 30 minutes. At the end of 30 minutes, rinse the impinger stems into the impinger bottoms. Titrate the impinger contents with 0.01 N Na2S2O3. Do not transfer the contents of the impinger to a flask because this may result in a loss of iodine and cause a positive bias.
16.11 Post-test Orifice Calibration. Conduct a post-test critical orifice calibration run using the calibration procedures outlined in section 16.12.4. If the Qstd obtained before and after the test differs by more than 5 percent, void the sample; if not, proceed to perform the calculations.
16.12 Calibrations and Standardizations.
16.12.1 Rotameter and Barometer. Same as Method 11, sections 10.1.3 and 10.1.4.
16.12.2 Na2S2O3 Solution, 0.1 N. Standardize the 0.1 N Na2S2O3 solution as follows: To 80 ml water, stirring constantly, add 1 ml concentrated H2SO4, 10.0 ml of 0.100 N KH(IO3)2 and 1 g potassium iodide. Titrate immediately with 0.1 N Na2S2O3 until the solution is light yellow. Add 3 ml starch solution, and titrate until the blue color just disappears. Repeat the titration until replicate analyses agree within 0.05 ml. Take the average volume of Na2S2O3 consumed to calculate the normality to three decimal figures using Equation 16A-5.
16.12.3 Iodine Solution, 0.01 N. Standardize the 0.01 N iodine solution as follows: Pipet 20.0 ml of 0.01 N iodine solution into a 125-ml Erlenmeyer flask. Titrate with standard 0.01 N Na2S2O3 solution until the solution is light yellow. Add 3 ml starch solution, and continue titrating until the blue color just disappears. If the normality of the iodine tested is not 0.010, add a few ml of 0.1 N iodine solution if it is low, or a few ml of water if it is high, and standardize again. Repeat the titration until replicate values agree within 0.05 ml. Take the average volume to calculate the normality to three decimal figures using Equation 16A-6.
16.12.4 Critical Orifice. Calibrate the critical orifice using the sampling train shown in Figure 16A-4 but without the H2S cylinder and vent rotameter. Connect the soap bubble meter to the Teflon line that is connected to the first impinger. Turn on the pump, and adjust the needle valve until the vacuum is higher than the critical vacuum determined in section 16.7.4. Record the time required for gas flow to equal the soap bubble meter volume (use the 100-ml soap bubble meter for gas flow rates below 100 ml/min, otherwise use the 500-ml soap bubble meter). Make three runs, and record the data listed in Table 16A-1. Use these data to calculate the volumetric flow rate of the orifice.
16.13 Calculations.
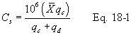
16.13.1 Nomenclature.
Bwa = Fraction of water vapor in ambient air during orifice calibration. CH2S = H2S concentration in cylinder gas, ppmv.
Ma = Molecular weight of ambient air saturated at impinger temperature, g/g-mole.
Ms = Molecular weight of sample gas (nitrogen) saturated at impinger temperature, g/g-mole.
Note:
(For tests carried out in a laboratory where the impinger temperature is 25 °C, Ma = 28.5 g/g-mole and Ms = 27.7 g/g-mole.)
16.13.2 Normality of Standard Na2S2O3 Solution (0.1 N).

16.13.3 Normality of Standard Iodine Solution (0.01 N).

16.13.4 Sample Gas Volume.

16.13.5 Concentration of H2S in the Gas Cylinder.
17.0 References
1. American Public Health Association, American Water Works Association, and Water Pollution Control Federation. Standard Methods for the Examination of Water and Wastewater. Washington, DC. American Public Health Association. 1975. pp. 316-317.
2. American Society for Testing and Materials. Annual Book of ASTM Standards. Part 31: Water, Atmospheric Analysis. Philadelphia, PA. 1974. pp. 40-42.
3. Blosser, R.O. A Study of TRS Measurement Methods. National Council of the Paper Industry for Air and Stream Improvement, Inc., New York, NY. Technical Bulletin No. 434. May 1984. 14 pp.
4. Blosser, R.O., H.S. Oglesby, and A.K. Jain. A Study of Alternate SO2 Scrubber Designs Used for TRS Monitoring. A Special Report by the National Council of the Paper Industry for Air and Stream Improvement, Inc., New York, NY. July 1977.
5. Curtis, F., and G.D. McAlister. Development and Evaluation of an Oxidation/Method 6 TRS Emission Sampling Procedure. Emission Measurement Branch, Emission Standards and Engineering Division, U.S. Environmental Protection Agency, Research Triangle Park, NC 27711. February 1980.
6. Gellman, I. A Laboratory and Field Study of Reduced Sulfur Sampling and Monitoring Systems. National Council of the Paper Industry for Air and Stream Improvement, Inc., New York, NY. Atmospheric Quality Improvement Technical Bulletin No. 81. October 1975.
7. Margeson, J.H., J.E. Knoll, and M.R. Midgett. A Manual Method for TRS Determination. Source Branch, Quality Assurance Division, U.S. Environmental Protection Agency, Research Triangle Park, NC 27711.
8. National Council of the Paper Industry for Air and Stream Improvement. An Investigation of H2S and SO2. Calibration Cylinder Gas Stability and Their Standardization Using Wet Chemical Techniques. Special Report 76-06. New York, NY. August 1976.
9. National Council of the Paper Industry for Air and Stream Improvement. Wet Chemical Method for Determining the H2S Concentration of Calibration Cylinder Gases. Technical Bulletin Number 450. New York, NY. January 1985. 23 pp.
10. National Council of the Paper Industry for Air and Stream Improvement. Modified Wet Chemical Method for Determining the H2S Concentration of Calibration Cylinder Gases. Draft Report. New York, NY. March 1987. 29 pp.
18.0 Tables, Diagrams, Flowcharts, and Validation Data


Date
Critical orifice ID
Soap bubble meter volume, Vsb____ liters
Time, θsb
Run no. 1 ____ min ____ sec
Run no. 2 ____ min ____ sec
Run no. 3 ____ min ____ sec
Average ____ min ____ sec
Covert the seconds to fraction of minute:
Time=____ min + ____ Sec/60=____ min
Barometric pressure, Pbar=____ mm Hg
Ambient temperature, t amb = 273 + ____ °C=____ °K=____ mm Hg. (This should be approximately 0.4 times barometric pressure.)
Pump vacuum,
Table 16A-1. Critical Orifice Calibration Data
Method 16B—Determination of Total Reduced Sulfur Emissions From Stationary Sources
Note:
This method does not include all of the specifications (e.g., equipment and supplies) and procedures (e.g., sampling and analytical) essential to its performance. Some material is incorporated by reference from other methods in this part. Therefore, to obtain reliable results, persons using this method should have a knowledge of at least the following additional test methods: Method 6C, Method 16, and Method 16A.
1.1 Analytes.
| Analyte | CAS No. |
|---|---|
| Total reduced sulfur (TRS) including: | N/A |
| Dimethyl disulfide (DMDS), [(CH3)2 S2] | 62-49-20 |
| Dimethyl sulfide (DMS), [(CH3)2 S] | 75-18-3 |
| Hydrogen sulfide (H2 S) | 7783-06-4 |
| Methyl mercaptan (MeSH), [CH4 S] | 74-93-1 |
| Reported as: Sulfur dioxide (SO2) | 7449-09-5 |
1.2 Applicability. This method is applicable for determining TRS emissions from recovery furnaces (boilers), lime kilns, and smelt dissolving tanks at kraft pulp mills, and from other sources when specified in an applicable subpart of the regulations. The flue gas must contain at least 1 percent oxygen for complete oxidation of all TRS to SO2.
1.3 Data Quality Objectives. Adherence to the requirements of this method will enhance the quality of the data obtained from air pollutant sampling methods.
2.0 Summary of Method2.1 A gas sample is extracted from the stack. The SO2 is removed selectively from the sample using a citrate buffer solution. The TRS compounds are then thermally oxidized to SO2 and analyzed as SO2 by gas chromatography (GC) using flame photometric detection (FPD).
3.0 Definitions [Reserved]4.0 Interferences4.1 Reduced sulfur compounds other than those regulated by the emission standards, if present, may be measured by this method. Therefore, carbonyl sulfide, which is partially oxidized to SO2 and may be present in a lime kiln exit stack, would be a positive interferant.
4.2 Particulate matter from the lime kiln stack gas (primarily calcium carbonate) can cause a negative bias if it is allowed to enter the citrate scrubber; the particulate matter will cause the pH to rise and H2S to be absorbed before oxidation. Proper use of the particulate filter, described in section 6.1.3 of Method 16A, will eliminate this interference.
4.3 Carbon monoxide (CO) and carbon dioxide (CO2) have substantial desensitizing effects on the FPD even after dilution. Acceptable systems must demonstrate that they have eliminated this interference by some procedure such as eluting these compounds before the SO2. Compliance with this requirement can be demonstrated by submitting chromatograms of calibration gases with and without CO2 in diluent gas. The CO2 level should be approximately 10 percent for the case with CO2 present. The two chromatograms should show agreement within the precision limits of section 13.0.
5.0 Safety5.1 Disclaimer. This method may involve hazardous materials, operations, and equipment. This test method may not address all of the safety problems associated with its use. It is the responsibility of the user of this test method to establish appropriate safety and health practices and determine the applicability of regulatory limitations prior to performing this test method.
5.2 Hydrogen Sulfide (H2S). A flammable, poisonous gas with the odor of rotten eggs. H2S is extremely hazardous and can cause collapse, coma, and death within a few seconds of one or two inhalations at sufficient concentrations. Low concentrations irritate the mucous membranes and may cause nausea, dizziness, and headache after exposure.
6.0 Equipment and Supplies6.1 Sample Collection. The sampling train is shown in Figure 16B-1. Modifications to the apparatus are accepted provided the system performance check in section 8.3.1 is met.
6.1.1 Probe, Probe Brush, Particulate Filter, SO2 Scrubber, Combustion Tube, and Furnace. Same as in Method 16A, sections 6.1.1 to 6.1.6.
6.1.2 Sampling Pump. Leakless Teflon-coated diaphragm type or equivalent.
6.2 Analysis.
6.2.1 Dilution System (optional), Gas Chromatograph, Oven, Temperature Gauges, Flow System, Flame Photometric Detector, Electrometer, Power Supply, Recorder, Calibration System, Tube Chamber, Flow System, and Constant Temperature Bath. Same as in Method 16, sections 6.2.1, 6.2.2, and 6.3.
6.2.2 Gas Chromatograph Columns. Same as in Method 16, section 6.2.3. Other columns with demonstrated ability to resolve SO2 and be free from known interferences are acceptable alternatives. Single column systems such as a 7-ft Carbsorb B HT 100 column have been found satisfactory in resolving SO2 from CO2.
7.0 Reagents and StandardsSame as in Method 16, section 7.0, except for the following:
7.1 Calibration Gas. SO2 permeation tube gravimetrically calibrated and certified at some convenient operating temperature. These tubes consist of hermetically sealed FEP Teflon tubing in which a liquefied gaseous substance is enclosed. The enclosed gas permeates through the tubing wall at a constant rate. When the temperature is constant, calibration gases covering a wide range of known concentrations can be generated by varying and accurately measuring the flow rate of diluent gas passing over the tubes. In place of SO2 permeation tubes, cylinder gases containing SO2 in nitrogen may be used for calibration. The cylinder gas concentration must be verified according to section 8.2.1 of Method 6C. The calibration gas is used to calibrate the GC/FPD system and the dilution system.
7.2 Recovery Check Gas.
7.2.1 Hydrogen sulfide [100 parts per million by volume (ppmv) or less] in nitrogen, stored in aluminum cylinders. Verify the concentration by Method 11, the procedure discussed in section 16.0 of Method 16A, or gas chromatography where the instrument is calibrated with an H2S permeation tube as described below. For the wet-chemical methods, the standard deviation should not exceed 5 percent on at least three 20-minute runs.
7.2.2 Hydrogen sulfide recovery gas generated from a permeation device gravimetrically calibrated and certified at some convenient operation temperature may be used. The permeation rate of the device must be such that at a dilution gas flow rate of 3 liters/min (64 ft 3/hr), an H2S concentration in the range of the stack gas or within 20 percent of the emission standard can be generated.
7.3 Combustion Gas. Gas containing less than 50 ppbv reduced sulfur compounds and less than 10 ppmv total hydrocarbons. The gas may be generated from a clean-air system that purifies ambient air and consists of the following components: diaphragm pump, silica gel drying tube, activated charcoal tube, and flow rate measuring device. Gas from a compressed air cylinder is also acceptable.
8.0 Sample Collection, Preservation, Storage, and Transport8.1 Pretest Procedures. Same as in Method 15, section 8.1.
8.2 Sample Collection. Before any source sampling is performed, conduct a system performance check as detailed in section 8.3.1 to validate the sampling train components and procedures. Although this test is optional, it would significantly reduce the possibility of rejecting tests as a result of failing the post-test performance check. At the completion of the pretest system performance check, insert the sampling probe into the test port making certain that no dilution air enters the stack though the port. Condition the entire system with sample for a minimum of 15 minutes before beginning analysis. If the sample is diluted, determine the dilution factor as in section 10.4 of Method 15.
8.3. Post-Test Procedures
8.3.1 System Performance Check. Same as in Method 16A, section 8.5. A sufficient number of sample injections should be made so that the precision requirements of section 13.2 are satisfied.
8.3.2 Determination of Calibration Drift. Same as in Method 15, section 8.3.2.
9.0 Quality Control| Section | Quality control measure | Effect |
|---|---|---|
| 8.2, 8.3 | System performance check | Ensure validity of sampling train components and analytical procedure. |
| 8.1 | Sampling equipment leak-check and calibration | Ensure accurate measurement of stack gas flow rate, sample volume. |
| 10.0 | Analytical calibration | Ensure precision of analytical results within 5 percent. |
Same as in Method 16, section 10, except SO2 is used instead of H2S.
11.0 Analytical Procedure11.1 Analysis. Inject aliquots of the sample into the GC/FPD analyzer for analysis. Determine the concentration of SO2 directly from the calibration curves or from the equation for the least-squares line.
11.2 Perform analysis of a minimum of three aliquots or one every 15 minutes, whichever is greater, spaced evenly over the test period.
12.0 Data Analysis and Calculations
12.1 Nomenclature. CSO2 = Sulfur dioxide concentration, ppmv. CTRS = Total reduced sulfur concentration as determined by Equation 16B-1, ppmv. d = Dilution factor, dimensionless. N = Number of samples.12.2 SO2 Concentration. Determine the concentration of SO2, CSO2, directly from the calibration curves. Alternatively, the concentration may be calculated using the equation for the least-squares line.
12.3 TRS Concentration.

12.4 Average TRS Concentration
13.0 Method Performance.
13.1 Range and Sensitivity. Coupled with a GC using a 1-ml sample size, the maximum limit of the FPD for SO2 is approximately 10 ppmv. This limit is extended by diluting the sample gas before analysis or by reducing the sample aliquot size. For sources with emission levels between 10 and 100 ppm, the measuring range can be best extended by reducing the sample size.
13.2 GC/FPD Calibration and Precision. A series of three consecutive injections of the sample calibration gas, at any dilution, must produce results which do not vary by more than 5 percent from the mean of the three injections.
13.3 Calibration Drift. The calibration drift determined from the mean of the three injections made at the beginning and end of any run or series of runs within a 24-hour period must not exceed 5 percent.
13.4 System Calibration Accuracy. Losses through the sample transport system must be measured and a correction factor developed to adjust the calibration accuracy to 100 percent.
13.5 Field tests between this method and Method 16A showed an average difference of less than 4.0 percent. This difference was not determined to be significant.
14.0 Pollution Prevention [Reserved]15.0 Waste Management [Reserved]16.0 References1. Same as in Method 16, section 16.0.
2. National Council of the Paper Industry for Air and Stream Improvement, Inc, A Study of TRS Measurement Methods. Technical Bulletin No. 434. New York, NY. May 1984. 12p.
3. Margeson, J.H., J.E. Knoll, and M.R. Midgett. A Manual Method for TRS Determination. Draft available from the authors. Source Branch, Quality Assurance Division, U.S. Environmental Protection Agency, Research Triangle Park, NC 27711.
17.0 Tables, Diagrams, Flowcharts, and Validation Data
Method 16C—Determination of Total Reduced Sulfur Emissions From Stationary Sources
1.0 Scope and Application
What is Method 16C?
Method 16C is a procedure for measuring total reduced sulfur (TRS) in stationary source emissions using a continuous instrumental analyzer. Quality assurance and quality control requirements are included to assure that you, the tester, collect data of known quality. You must document your adherence to these specific requirements for equipment, supplies, sample collection and analysis, calculations, and data analysis. This method does not completely describe all equipment, supplies, and sampling and analytical procedures you will need but refers to other methods for some of the details. Therefore, to obtain reliable results, you should also have a thorough knowledge of these additional test methods which are found in appendix A to this part:
(a) Method 6C—Determination of Sulfur Dioxide Emissions from Stationary Sources (Instrumental Analyzer Procedure)
(b) Method 7E—Determination of Nitrogen Oxides Emissions from Stationary Sources (Instrumental Analyzer Procedure)
(c) Method 16A—Determination of Total Reduced Sulfur Emissions from Stationary Sources (Impinger Technique)
1.1 Analytes. What does Method 16C determine?
| Analyte | CAS No. |
|---|---|
| Total reduced sulfur including: | N/A |
| Dimethyl disulfide (DMDS), [(CH3)2 S2] | 62-49-20 |
| Dimethyl sulfide (DMS), [(CH3)2 S] | 75-18-3 |
| Hydrogen sulfide (H2 S) | 7783-06-4 |
| Methyl mercaptan (MeSH), (CH4 S) | 74-93-1 |
| Reported as: Sulfur dioxide (SO2) | 7449-09-5 |
1.2 Applicability. This method is applicable for determining TRS emissions from recovery furnaces (boilers), lime kilns, and smelt dissolving tanks at kraft pulp mills, and from other sources when specified in an applicable subpart of the regulations.
1.3 Data Quality Objectives. Adherence to the requirements described in Method 16C will enhance the quality of the data obtained.
2.0 Summary of Method2.1 An integrated gas sample is extracted from the stack. The SO2 is removed selectively from the sample using a citrate buffer solution. The TRS compounds are then thermally oxidized to SO2 and determined as SO2 by an instrumental analyzer. This method is a combination of the sampling procedures of Method 16A and the analytical procedures of Method 6C (referenced in Method 7E), with minor modifications to facilitate their use together.
3.0 DefinitionsAnalyzer calibration error, Calibration curve, Calibration gas, Low-level gas, Mid-level gas, High-level gas, Calibration drift, Calibration span, Data recorder, Direct calibration mode, Gas analyzer, Interference check, Measurement system, Response time, Run, System calibration mode, System performance check, and Test are the same as used in Methods 16A and 6C.
4.0 Interferences4.1 Reduced sulfur compounds other than those defined as TRS, if present, may be measured by this method. Compounds like carbonyl sulfide, which is partially oxidized to SO2 and may be present in a lime kiln exit stack, would be a positive interferent. Interferences may vary among instruments, and instrument-specific interferences must be evaluated through the interference check.
4.2 Particulate matter from the lime kiln stack gas (primarily calcium carbonate) can cause a negative bias if it is allowed to enter the citrate scrubber; the particulate matter will cause the pH to rise and H2S to be absorbed before oxidation. Proper use of the particulate filter, described in section 6.1.3 of Method 16A, will eliminate this interference.
5.0 Safety5.1 Disclaimer. This method may involve hazardous materials, operations, and equipment. This test method may not address all of the safety problems associated with its use. It is the responsibility of the user to establish appropriate safety and health practices before performing this test method.
5.2 Hydrogen Sulfide. Hydrogen sulfide is a flammable, poisonous gas with the odor of rotten eggs. Hydrogen sulfide is extremely hazardous and can cause collapse, coma, and death within a few seconds of one or two inhalations at sufficient concentrations. Low concentrations irritate the mucous membranes and may cause nausea, dizziness, and headache after exposure. It is the responsibility of the user of this test method to establish appropriate safety and health practices.
6.0 Equipment and Supplies What do I need for the measurement system?The measurement system is similar to those applicable components in Methods 16A and 6C. Modifications to the apparatus are accepted provided the performance criteria in section 13.0 are met.
6.1 Probe. Teflon tubing, 6.4-mm ( 1/4 in.) diameter, sequentially wrapped with heat-resistant fiber strips, a rubberized heat tape (plug at one end), and heat-resistant adhesive tape. A flexible thermocouple or other suitable temperature measuring device must be placed between the Teflon tubing and the fiber strips so that the temperature can be monitored to prevent softening of the probe. The probe must be sheathed in stainless steel to provide in-stack rigidity. A series of bored-out stainless steel fittings placed at the front of the sheath will prevent moisture and particulate from entering between the probe and sheath. A 6.4-mm ( 1/4 in.) Teflon elbow (bored out) must be attached to the inlet of the probe, and a 2.54 cm (1 in.) piece of Teflon tubing must be attached at the open end of the elbow to permit the opening of the probe to be turned away from the particulate stream; this will reduce the amount of particulate drawn into the sampling train. The probe is depicted in Figure 16A-2 of Method 16A.
6.2 Probe Brush. Nylon bristle brush with handle inserted into a 3.2-mm ( 1/8 in.) Teflon tubing. The Teflon tubing should be long enough to pass the brush through the length of the probe.
6.3 Particulate Filter. 50-mm Teflon filter holder and a 1- to 2-µm porosity, Teflon filter (may be available through Savillex Corporation, 5325 Highway 101, Minnetonka, Minnesota 55343, or other suppliers of filters). The filter holder must be maintained in a hot box at a temperature sufficient to prevent moisture condensation. A temperature of 121 °C (250 °F) was found to be sufficient when testing a lime kiln under sub-freezing ambient conditions.
6.4 SO2 Scrubber. Three 300-ml Teflon segmented impingers connected in series with flexible, thick-walled, Teflon tubing. (Impinger parts and tubing may be available through Savillex or other suppliers.) The first two impingers contain 100 ml of citrate buffer, and the third impinger is initially dry. The tip of the tube inserted into the solution should be constricted to less than 3 mm ( 1/8 in.) ID and should be immersed to a depth of at least 5 cm (2 in.).
6.5 Combustion Tube. Quartz glass tubing with an expanded combustion chamber 2.54 cm (1 in.) in diameter and at least 30.5 cm (12 in.) long. The tube ends should have an outside diameter of 0.6 cm ( 1/4 in.) and be at least 15.3 cm (6 in.) long. This length is necessary to maintain the quartz-glass connector near ambient temperature and thereby avoid leaks. Alternative combustion tubes are acceptable provided they are shown to combust TRS at concentrations encountered during tests.
6.6 Furnace. A furnace of sufficient size to enclose the combustion chamber of the combustion tube with a temperature regulator capable of maintaining the temperature at 800 ±100 °C (1472 ±180 °F). The furnace operating temperature should be checked with a thermocouple to ensure accuracy.
6.7 Sampling Pump. A leak-free pump is required to pull the sample gas through the system at a flow rate sufficient to minimize the response time of the measurement system and must be constructed of material that is non-reactive to the gas it contacts. For dilution-type measurement systems, an eductor pump may be used to create a vacuum that draws the sample through a critical orifice at a constant rate.
6.8 Calibration Gas Manifold. The calibration gas manifold must allow the introduction of calibration gases either directly to the gas analyzer in direct calibration mode or into the measurement system, at the probe, in system calibration mode, or both, depending upon the type of system used. In system calibration mode, the system must be able to flood the sampling probe and vent excess gas. Alternatively, calibration gases may be introduced at the calibration valve following the probe. Maintain a constant pressure in the gas manifold. For in-stack dilution-type systems, a gas dilution subsystem is required to transport large volumes of purified air to the sample probe, and a probe controller is needed to maintain the proper dilution ratio.
6.9 Sample Gas Manifold. The sample gas manifold diverts a portion of the sample to the analyzer, delivering the remainder to the by-pass discharge vent. The manifold should also be able to introduce calibration gases directly to the analyzer. The manifold must be made of material that is non-reactive to SO2 and be configured to safely discharge the bypass gas.
6.10 SO2 Analyzer. You must use an instrument that uses an ultraviolet, non-dispersive infrared, fluorescence, or other detection principle to continuously measure SO2 in the gas stream provided it meets the performance specifications in section 13.0.
6.11 Data Recording. A strip chart recorder, computerized data acquisition system, digital recorder, or data logger for recording measurement data must be used.
7.0 Reagents and StandardsNote:
Unless otherwise indicated, all reagents must conform to the specifications established by the Committee on Analytical Reagents of the American Chemical Society. When such specifications are not available, the best available grade must be used.
7.1 Water. Deionized distilled water must conform to ASTM Specification D 1193-77 or 91 Type 3 (incorporated by reference—see § 60.17). The KMnO4 test for oxidizable organic matter may be omitted when high concentrations of organic matter are not expected to be present.
7.2 Citrate Buffer. Dissolve 300 g of potassium citrate (or 284 g of sodium citrate) and 41 g of anhydrous citric acid in 1 liter of water (200 ml is needed per test). Adjust the pH to between 5.4 and 5.6 with potassium citrate or citric acid, as required.
7.3 Calibration Gas. Refer to section 7.1 of Method 7E (as applicable) for the calibration gas requirements. Example calibration gas mixtures are listed below.
(a) SO2 in nitrogen (N2).
(b) SO2 in air.
(c) SO2 and carbon dioxide (CO2) in N2.
(d) SO2 and oxygen (O2) in N2.
(e) SO2/CO2/O2 gas mixture in N2.
(f) CO2/NOX gas mixture in N2.
(g) CO2/SO2/NOX gas mixture in N2.
For fluorescence-based analyzers, the O2 and CO2 concentrations of the calibration gases as introduced to the analyzer must be within 1.0 percent (absolute) O2 and 1.0 percent (absolute) CO2 of the O2 and CO2 concentrations of the effluent samples as introduced to the analyzer. Alternatively, for fluorescence-based analyzers, use calibration blends of SO2 in air and the nomographs provided by the vendor to determine the quenching correction factor (the effluent O2 and CO2 concentrations must be known). This requirement does not apply to ambient-level fluorescence analyzers that are used in conjunction with sample dilution systems. Alternatively, H2S in O2 or air may be used to calibrate the analyzer through the tube furnace.7.4 System Performance Check Gas. You must use H2S (100 ppmv or less) stored in aluminum cylinders with the concentration certified by the manufacturer. Hydrogen sulfide in nitrogen is more stable than H2S in air, but air may be used as the balance gas.
Note:
Alternatively, H2S recovery gas generated from a permeation device gravimetrically calibrated and certified at some convenient operating temperature may be used. The permeation rate of the device must be such that at the appropriate dilution gas flow rate, an H2S concentration can be generated in the range of the stack gas or within 20 percent of the emission standard.
7.5 Interference Check. Examples of test gases for the interference check are listed in Table 7E-3 of Method 7E.
8.0 Sample Collection, Preservation, Storage, and Transport8.1 Pre-sampling Tests. Before measuring emissions, perform the following procedures:
(a) Calibration gas verification,
(b) Calibration error test,
(c) System performance check,
(d) Verification that the interference check has been satisfied.
8.1.1 Calibration Gas Verification. Obtain a certificate from the gas manufacturer documenting the quality of the gas. Confirm that the manufacturer certification is complete and current. Ensure that your calibration gas certifications have not expired. This documentation should be available on-site for inspection. To the extent practicable, select a high-level gas concentration that will result in the measured emissions being between 20 and 100 percent of the calibration span.
8.1.2 Analyzer Calibration Error Test. After you have assembled, prepared, and calibrated your sampling system and analyzer, you must conduct a 3-point analyzer calibration error test before the first run and again after any failed system performance check or failed drift test to ensure the calibration is acceptable. Introduce the low-, mid-, and high-level calibration gases sequentially to the analyzer in direct calibration mode. For each calibration gas, calculate the analyzer calibration error using Equation 16C-1 in section 12.2. The calibration error for the low-, mid-, and high-level gases must not exceed 5.0 percent or 0.5 ppmv. If the calibration error specification is not met, take corrective action and repeat the test until an acceptable 3-point calibration is achieved.
8.1.3 System Performance Check. A system performance check is done (1) to validate the sampling train components and procedure (prior to testing), and (2) to validate a test run (after a run). You must conduct a performance check in the field prior to testing, and after each 3-hour run or after three 1-hour runs. A performance check consists of sampling and analyzing a known concentration of H2S (system performance check gas) and comparing the analyzed concentration to the known concentration. To conduct the system performance check, mix the system performance check gas (Section 7.4) and ambient air, that has been conditioned to remove moisture and sulfur-containing gases, in a dilution system such as that shown in Figure 16A-3 of Method 16A. Alternatively, ultra-high purity (UHP) grade air may be used. Adjust the gas flow rates to generate an H2S concentration in the range of the stack gas or within 20 percent of the applicable standard and an oxygen concentration greater than 1 percent at a total flow rate of at least 2.5 liters/min (5.3 ft3/hr). Use Equation 16A-3 from Method 16A to calculate the concentration of system performance check gas generated. Calibrate the flow rate from both gas sources with a soap bubble flow meter so that the diluted concentration of H2S can be accurately calculated. Alternatively, mass flow controllers with documented calibrations may be used if UHP grade air is being used. Sample duration should be sufficiently long to ensure a stable response from the analyzer. Analyze in the same manner as the emission samples. Collect the sample through the probe of the sampling train using a manifold or other suitable device that will ensure extraction of a representative sample. The TRS sample concentration measured between system performance checks is corrected by the average of the pre- and post-system performance checks.
8.1.4 Interference Check. Same as in Method 7E, section 8.2.7.
8.2 Measurement System Preparation.
8.2.1 For the SO2 scrubber, measure 100 ml of citrate buffer into the first and second impingers; leave the third impinger empty. Immerse the impingers in an ice bath, and locate them as close as possible to the filter heat box. The connecting tubing should be free of loops. Maintain the probe and filter temperatures sufficiently high to prevent moisture condensation, and monitor with a suitable temperature sensor. Prepare the oxidation furnace and maintain at 800 ±100 °C (1472 ±180 °F).
8.2.2 Citrate Scrubber Conditioning Procedure. Condition the citrate buffer scrubbing solution by pulling stack gas through the Teflon impingers as described in section 8.4.1.
8.3 Pretest Procedures. After the complete measurement system has been set up at the site and deemed to be operational, the following procedures must be completed before sampling is initiated.
8.3.1 Leak-Check. Appropriate leak-check procedures must be employed to verify the integrity of all components, sample lines, and connections. For components upstream of the sample pump, attach the probe end of the sample line to a manometer or vacuum gauge, start the pump and pull a vacuum greater than 50 mm (2 in.) Hg, close off the pump outlet, and then stop the pump and ascertain that there is no leak for 1 minute. For components after the pump, apply a slight positive pressure and check for leaks by applying a liquid (detergent in water, for example) at each joint. Bubbling indicates the presence of a leak.
8.3.2 Initial System Performance Check. A system performance check using the test gas (Section 7.4) is performed prior to testing to validate the sampling train components and procedure.
8.4 Sample Collection and Analysis.
8.4.1 After performing the required pretest procedures described in section 8.1, insert the sampling probe into the test port ensuring that no dilution air enters the stack through the port. Condition the sampling system and citrate buffer solution for a minimum of 15 minutes before beginning analysis. Begin sampling and analysis. A source test consists of three test runs. A test run shall consist of a single sample collected over a 3-hour period or three separate 1-hour samples collected over a period not to exceed six hours.
8.5 Post-Run Evaluations.
8.5.1 System Performance Check. Perform a post-run system performance check before replacing the citrate buffer solution and particulate filter and before the probe is cleaned. The check results must not exceed the 100 ±20 percent limit set forth in section 13.2. If this limit is exceeded, the intervening run is considered invalid. However, if the recovery efficiency is not in the 100 ±20 percent range, but the results do not affect the compliance or noncompliance status of the affected facility, the Administrator may decide to accept the results of the compliance test.
8.5.2 Calibration Drift. After a run or series of runs, not to exceed a 24-hour period after initial calibration, perform a calibration drift test using a calibration gas (preferably the level that best approximates the sample concentration) in direct calibration mode. This drift must not differ from the initial calibration error percent by more than 3.0 percent or 0.5 ppm. If the drift exceeds this limit, the intervening run or runs are considered valid, but a new analyzer calibration error test must be performed and passed before continuing sampling.
9.0 Quality Control| Section | Quality control measure | Effect |
|---|---|---|
| 8.1.2 | Analyzer calibration error test | Establishes initial calibration accuracy within 5.0%. |
| 8.1.3, 8.5.1 | System performance check | Ensures accuracy of sampling/analytical procedure to 100 ±20%. |
| 8.5.2 | Calibration drift test | Ensures calibration drift is within 3.0%. |
| 8.1.4 | Interference check | Checks for analytical interferences. |
| 8.3 | Sampling equipment leak-check | Ensures accurate measurement of sample gas flow rate, sample volume. |
10.1 Calibrate the system using the gases described in section 7.3. Perform the initial 3-point calibration error test as described in section 8.1.2 before you start the test. The specification in section 13 must be met. Conduct an initial system performance test described in section 8.1.3 as well before the test to validate the sampling components and procedures before sampling. After the test commences, a system performance check is required after each run. You must include a copy of the manufacturer's certification of the calibration gases used in the testing as part of the test report. This certification must include the 13 documentation requirements in the EPA Traceability Protocol for Assay and Certification of Gaseous Calibration Standards, September 1997, as amended August 25, 1999.
11.0 Analytical ProcedureBecause sample collection and analysis are performed together (see section 8.0), additional discussion of the analytical procedure is not necessary.
12.0 Calculations and Data Analysis12.1 Nomenclature.
ACE = Analyzer calibration error, percent of calibration span. CD = Calibration drift, percent. CDir = Measured concentration of a calibration gas (low, mid, or high) when introduced in direct calibration mode, ppmv. CH2S = Concentration of the system performance check gas, ppmv H2S. CS = Measured concentration of the system performance gas when introduced in system calibration mode, ppmv H2S. CV = Manufacturer certified concentration of a calibration gas (low, mid, or high), ppmv SO2. CSO2 = Unadjusted sample SO2 concentration, ppmv. CTRS = Total reduced sulfur concentration corrected for system performance, ppmv. CS = Calibration span, ppmv. DF = Dilution system (if used) dilution factor, dimensionless. SP = System performance, percent.12.2 Analyzer Calibration Error. For non-dilution systems, use Equation 16C-1 to calculate the analyzer calibration error for the low-, mid-, and high-level calibration gases.

12.3 System Performance Check. Use Equation 16C-2 to calculate the system performance.

12.4 Calibration Drift. Use Equation 16C-3 to calculate the calibration drift at a single concentration level after a run or series of runs (not to exceed a 24-hr period) from initial calibration. Compare the single-level calibration gas error (ACEn) to the original error obtained for that gas in the initial analyzer calibration error test (ACEi).

12.5 TRS Concentration as SO2. For each sample or test run, calculate the arithmetic average of SO2 concentration values (e.g., 1-minute averages). Then calculate the sample TRS concentration by adjusting the average value of CSO2 for system performance using Equation 16C-4.
13.0 Method Performance
13.1 Analyzer Calibration Error. At each calibration gas level (low, mid, and high), the calibration error must either not exceed 5.0 percent of the calibration span or |CDir−Cv| must be ≤0.5 ppmv.
13.2 System Performance. Each system performance check must not deviate from the system performance gas concentration by more than 20 percent. Alternatively, the results are acceptable if |Cs−CH2S| is ≤0.5 ppmv.
13.3 Calibration Drift. The calibration drift at the end of any run or series of runs within a 24-hour period must not differ by more than 3.0 percent from the original ACE at the test concentration level or |ACEi−ACEn| must not exceed 0.5 ppmv.
13.4 Interference Check. For the analyzer, the total interference response (i.e., the sum of the interference responses of all tested gaseous components) must not be greater than 2.5 percent of the calibration span. Any interference is also acceptable if the sum of the responses does not exceed 0.5 ppmv for a calibration span of 5 to 10 ppmv, or 0.2 ppmv for a calibration span <5 ppmv.
14.0 Pollution Prevention [Reserved] 15.0 Waste Management [Reserved] 16.0 References 1. The references are the same as in section 16.0 of Method 16, section 17.0 of Method 16A, and section 17.0 of Method 6C. 2. National Council of the Paper Industry for Air and Stream Improvement, Inc,. A Study of TRS Measurement Methods. Technical Bulletin No. 434. New York, NY. May 1984. 12p. 3. Margeson, J.H., J.E. Knoll, and M.R. Midgett. A Manual Method for TRS Determination. Draft available from the authors. Source Branch, Quality Assurance Division, U.S. Environmental Protection Agency, Research Triangle Park, NC 27711. 17.0 Tables, Diagrams, Flowcharts, and Validation Data [Reserved] Method 17—Determination of Particulate Matter Emissions From Stationary SourcesNote:
This method does not include all of the specifications (e.g., equipment and supplies) and procedures (e.g., sampling and analytical) essential to its performance. Some material is incorporated by reference from other methods in this part. Therefore, to obtain reliable results, persons using this method should have a thorough knowledge of at least the following additional test methods: Method 1, Method 2, Method 3, Method 5.
1.1 Analyte. Particulate matter (PM). No CAS number assigned.
Note:
Particulate matter is not an absolute quantity. It is a function of temperature and pressure. Therefore, to prevent variability in PM emission regulations and/or associated test methods, the temperature and pressure at which PM is to be measured must be carefully defined. Of the two variables (i.e., temperature and pressure), temperature has the greater effect upon the amount of PM in an effluent gas stream; in most stationary source categories, the effect of pressure appears to be negligible. In Method 5, 120 °C (248 °F) is established as a nominal reference temperature. Thus, where Method 5 is specified in an applicable subpart of the standard, PM is defined with respect to temperature. In order to maintain a collection temperature of 120 °C (248 °F), Method 5 employs a heated glass sample probe and a heated filter holder. This equipment is somewhat cumbersome and requires care in its operation. Therefore, where PM concentrations (over the normal range of temperature associated with a specified source category) are known to be independent of temperature, it is desirable to eliminate the glass probe and the heating systems, and to sample at stack temperature.
1.2 Applicability. This method is applicable for the determination of PM emissions, where PM concentrations are known to be independent of temperature over the normal range of temperatures characteristic of emissions from a specified source category. It is intended to be used only when specified by an applicable subpart of the standards, and only within the applicable temperature limits (if specified), or when otherwise approved by the Administrator. This method is not applicable to stacks that contain liquid droplets or are saturated with water vapor. In addition, this method shall not be used as written if the projected cross-sectional area of the probe extension-filter holder assembly covers more than 5 percent of the stack cross-sectional area (see section 8.1.2).
1.3 Data Quality Objectives. Adherence to the requirements of this method will enhance the quality of the data obtained from air pollutant sampling methods.
2.0 Summary of Method2.1 Particulate matter is withdrawn isokinetically from the source and collected on a glass fiber filter maintained at stack temperature. The PM mass is determined gravimetrically after the removal of uncombined water.
3.0 DefinitionsSame as Method 5, section 3.0.
4.0 Interferences [Reserved]5.0 Safety5.1 Disclaimer. This method may involve hazardous materials, operations, and equipment. This test method may not address all of the safety problems associated with its use. It is the responsibility of the user of this test method to establish appropriate safety and health practices and determine the applicability of regulatory limitations prior to performing this test method.
6.0 Equipment and Supplies6.1 Sampling Train. A schematic of the sampling train used in this method is shown in Figure 17-1. The sampling train components and operation and maintenance are very similar to Method 5, which should be consulted for details.
6.1.1 Probe Nozzle, Differential Pressure Gauge, Metering System, Barometer, Gas Density Determination Equipment. Same as in Method 5, sections 6.1.1, 6.1.4, 6.1.8, 6.1.9, and 6.1.10, respectively.
6.1.2 Filter Holder. The in-stack filter holder shall be constructed of borosilicate or quartz glass, or stainless steel. If a gasket is used, it shall be made of silicone rubber, Teflon, or stainless steel. Other holder and gasket materials may be used, subject to the approval of the Administrator. The filter holder shall be designed to provide a positive seal against leakage from the outside or around the filter.
6.1.3 Probe Extension. Any suitable rigid probe extension may be used after the filter holder.
6.1.4 Pitot Tube. Same as in Method 5, section 6.1.3.
6.1.4.1 It is recommended (1) that the pitot tube have a known baseline coefficient, determined as outlined in section 10 of Method 2; and (2) that this known coefficient be preserved by placing the pitot tube in an interference-free arrangement with respect to the sampling nozzle, filter holder, and temperature sensor (see Figure 17-1). Note that the 1.9 cm ( 3/4-in.) free-space between the nozzle and pitot tube shown in Figure 17-1, is based on a 1.3 cm ( 1/2-in.) ID nozzle. If the sampling train is designed for sampling at higher flow rates than that described in APTD-0581, thus necessitating the use of larger sized nozzles, the free-space shall be 1.9 cm ( 3/4-in.) with the largest sized nozzle in place.
6.1.4.2 Source-sampling assemblies that do not meet the minimum spacing requirements of Figure 17-1 (or the equivalent of these requirements, e.g., Figure 2-4 of Method 2) may be used; however, the pitot tube coefficients of such assemblies shall be determined by calibration, using methods subject to the approval of the Administrator.
6.1.5 Condenser. It is recommended that the impinger system or alternatives described in Method 5 be used to determine the moisture content of the stack gas. Flexible tubing may be used between the probe extension and condenser. Long tubing lengths may affect the moisture determination.
6.2 Sample Recovery. Probe-liner and probe-nozzle brushes, wash bottles, glass sample storage containers, petri dishes, graduated cylinder and/or balance, plastic storage containers, funnel and rubber policeman, funnel. Same as in Method 5, sections 6.2.1 through 6.2.8, respectively.
6.3 Sample Analysis. Glass weighing dishes, desiccator, analytical balance, balance, beakers, hygrometer, temperature sensor. Same as in Method 5, sections 6.3.1 through 6.3.7, respectively.
7.0 Reagents and Standards7.1 Sampling. Filters, silica gel, water, crushed ice, stopcock grease. Same as in Method 5, sections 7.1.1, 7.1.2, 7.1.3, 7.1.4, and 7.1.5, respectively. Thimble glass fiber filters may also be used.
7.2 Sample Recovery. Acetone (reagent grade). Same as in Method 5, section 7.2.
7.3 Sample Analysis. Acetone and Desiccant. Same as in Method 5, sections 7.3.1 and 7.3.2, respectively.
8.0 Sample Collection, Preservation, Storage, and Transport8.1 Sampling.
8.1.1 Pretest Preparation. Same as in Method 5, section 8.1.1.
8.1.2 Preliminary Determinations. Same as in Method 5, section 8.1.2, except as follows: Make a projected-area model of the probe extension-filter holder assembly, with the pitot tube face openings positioned along the centerline of the stack, as shown in Figure 17-2. Calculate the estimated cross-section blockage, as shown in Figure 17-2. If the blockage exceeds 5 percent of the duct cross sectional area, the tester has the following options exist: (1) a suitable out-of-stack filtration method may be used instead of in-stack filtration; or (2) a special in-stack arrangement, in which the sampling and velocity measurement sites are separate, may be used; for details concerning this approach, consult with the Administrator (see also Reference 1 in section 17.0). Select a probe extension length such that all traverse points can be sampled. For large stacks, consider sampling from opposite sides of the stack to reduce the length of probes.
8.1.3 Preparation of Sampling Train. Same as in Method 5, section 8.1.3, except the following: Using a tweezer or clean disposable surgical gloves, place a labeled (identified) and weighed filter in the filter holder. Be sure that the filter is properly centered and the gasket properly placed so as not to allow the sample gas stream to circumvent the filter. Check filter for tears after assembly is completed. Mark the probe extension with heat resistant tape or by some other method to denote the proper distance into the stack or duct for each sampling point. Assemble the train as in Figure 17-1, using a very light coat of silicone grease on all ground glass joints and greasing only the outer portion (see APTD-0576) to avoid possibility of contamination by the silicone grease. Place crushed ice around the impingers.
8.1.4 Leak-Check Procedures. Same as in Method 5, section 8.1.4, except that the filter holder is inserted into the stack during the sampling train leak-check. To do this, plug the inlet to the probe nozzle with a material that will be able to withstand the stack temperature. Insert the filter holder into the stack and wait approximately 5 minutes (or longer, if necessary) to allow the system to come to equilibrium with the temperature of the stack gas stream.
8.1.5 Sampling Train Operation. The operation is the same as in Method 5. Use a data sheet such as the one shown in Figure 5-3 of Method 5, except that the filter holder temperature is not recorded.
8.1.6 Calculation of Percent Isokinetic. Same as in Method 5, section 12.11.
8.2 Sample Recovery.
8.2.1 Proper cleanup procedure begins as soon as the probe extension assembly is removed from the stack at the end of the sampling period. Allow the assembly to cool.
8.2.2 When the assembly can be safely handled, wipe off all external particulate matter near the tip of the probe nozzle and place a cap over it to prevent losing or gaining particulate matter. Do not cap off the probe tip tightly while the sampling train is cooling down as this would create a vacuum in the filter holder, forcing condenser water backward.
8.2.3 Before moving the sample train to the cleanup site, disconnect the filter holder-probe nozzle assembly from the probe extension; cap the open inlet of the probe extension. Be careful not to lose any condensate, if present. Remove the umbilical cord from the condenser outlet and cap the outlet. If a flexible line is used between the first impinger (or condenser) and the probe extension, disconnect the line at the probe extension and let any condensed water or liquid drain into the impingers or condenser. Disconnect the probe extension from the condenser; cap the probe extension outlet. After wiping off the silicone grease, cap off the condenser inlet. Ground glass stoppers, plastic caps, or serum caps (whichever are appropriate) may be used to close these openings.
8.2.4 Transfer both the filter holder-probe nozzle assembly and the condenser to the cleanup area. This area should be clean and protected from the wind so that the chances of contaminating or losing the sample will be minimized.
8.2.5 Save a portion of the acetone used for cleanup as a blank. Take 200 ml of this acetone from the wash bottle being used and place it in a glass sample container labeled “acetone blank.” Inspect the train prior to and during disassembly and not any abnormal conditions. Treat the sample as discussed in Method 5, section 8.2.
9.0 Quality Control [Reserved]10.0 Calibration and StandardizationThe calibrations of the probe nozzle, pitot tube, metering system, temperature sensors, and barometer are the same as in Method 5, sections 10.1 through 10.3, 10.5, and 10.6, respectively.
11.0 Analytical ProcedureSame as in Method 5, section 11.0. Analytical data should be recorded on a form similar to that shown in Figure 5-6 of Method 5.
12.0 Data Analysis and Calculations.Same as in Method 5, section 12.0.
13.0 Method Performance [Reserved]14.0 Pollution Prevention [Reserved]15.0 Waste Management [Reserved]16.0 Alternative ProceduresSame as in Method 5, section 16.0.
17.0 ReferencesSame as in Method 5, section 17.0, with the addition of the following:
1. Vollaro, R.F. Recommended Procedure for Sample Traverses in Ducts Smaller than 12 Inches in Diameter. U.S. Environmental Protection Agency, Emission Measurement Branch. Research Triangle Park, NC. November 1976.
18.0 Tables, Diagrams, Flowcharts, and Validation Data
Method 18—Measurement of Gaseous Organic Compound Emissions By Gas Chromatography
Note:
This method is not inclusive with respect to specifications (e.g., equipment and supplies) and procedures (e.g., sampling and analytical) essential to its performance. Some material is incorporated by reference from other methods in this part. Therefore, to obtain reliable results, persons using this method should have a thorough knowledge of at least the following additional test methods: Method 1, Method 2, Method 3.
Note:
This method should not be attempted by persons unfamiliar with the performance characteristics of gas chromatography, nor by those persons who are unfamiliar with source sampling. Particular care should be exercised in the area of safety concerning choice of equipment and operation in potentially explosive atmospheres.
1.1 Analyte. Total gaseous organic compounds.
1.2 Applicability.
1.2.1 This method is designed to measure gaseous organics emitted from an industrial source. While designed for ppm level sources, some detectors are quite capable of detecting compounds at ambient levels, e.g., ECD, ELCD, and helium ionization detectors. Some other types of detectors are evolving such that the sensitivity and applicability may well be in the ppb range in only a few years.
1.2.2 This method will not determine compounds that (1) are polymeric (high molecular weight), (2) can polymerize before analysis, or (3) have very low vapor pressures at stack or instrument conditions.
1.3 Range. The lower range of this method is determined by the sampling system; adsorbents may be used to concentrate the sample, thus lowering the limit of detection below the 1 part per million (ppm) typically achievable with direct interface or bag sampling. The upper limit is governed by GC detector saturation or column overloading; the upper range can be extended by dilution of sample with an inert gas or by using smaller volume gas sampling loops. The upper limit can also be governed by condensation of higher boiling compounds.
1.4 Sensitivity. The sensitivity limit for a compound is defined as the minimum detectable concentration of that compound, or the concentration that produces a signal-to-noise ratio of three to one. The minimum detectable concentration is determined during the presurvey calibration for each compound.
2.0 Summary of MethodThe major organic components of a gas mixture are separated by gas chromatography (GC) and individually quantified by flame ionization, photoionization, electron capture, or other appropriate detection principles. The retention times of each separated component are compared with those of known compounds under identical conditions. Therefore, the analyst confirms the identity and approximate concentrations of the organic emission components beforehand. With this information, the analyst then prepares or purchases commercially available standard mixtures to calibrate the GC under conditions identical to those of the samples. The analyst also determines the need for sample dilution to avoid detector saturation, gas stream filtration to eliminate particulate matter, and prevention of moisture condensation.
3.0 Definitions [Reserved]4.0 Interferences4.1 Resolution interferences that may occur can be eliminated by appropriate GC column and detector choice or by shifting the retention times through changes in the column flow rate and the use of temperature programming.
4.2 The analytical system is demonstrated to be essentially free from contaminants by periodically analyzing blanks that consist of hydrocarbon-free air or nitrogen.
4.3 Sample cross-contamination that occurs when high-level and low-level samples or standards are analyzed alternately is best dealt with by thorough purging of the GC sample loop between samples.
4.4 To assure consistent detector response, calibration gases are contained in dry air. To adjust gaseous organic concentrations when water vapor is present in the sample, water vapor concentrations are determined for those samples, and a correction factor is applied.
4.5 The gas chromatograph run time must be sufficient to clear all eluting peaks from the column before proceeding to the next run (in order to prevent sample carryover).
5.0 Safety5.1 Disclaimer. This method may involve hazardous materials, operations, and equipment. This test method may not address all of the safety problems associated with its use. It is the responsibility of the user of this test method to establish appropriate safety and health practices and determine the applicability of regulatory limitations prior to performing this test method. The analyzer users manual should be consulted for specific precautions to be taken with regard to the analytical procedure.
6.0 Equipment and Supplies6.1 Equipment needed for the presurvey sampling procedure can be found in section 16.1.1.
6.2 Equipment needed for the integrated bag sampling and analysis procedure can be found in section 8.2.1.1.1.
6.3 Equipment needed for direct interface sampling and analysis can be found in section 8.2.2.1.
6.4 Equipment needed for the dilution interface sampling and analysis can be found in section 8.2.3.1.
6.5 Equipment needed for adsorbent tube sampling and analysis can be found in section 8.2.4.1.
7.0 Reagents and Standards7.1 Reagents needed for the presurvey sampling procedure can be found in section 16.1.2.
8.0 Sample Collection, Preservation, Storage, and Transport8.2 Final Sampling and Analysis Procedure. Considering safety (flame hazards) and the source conditions, select an appropriate sampling and analysis procedure (Section 8.2.1, 8.2.2, 8.2.3 or 8.2.4). In situations where a hydrogen flame is a hazard and no intrinsically safe GC is suitable, use the flexible bag collection technique or an adsorption technique.
8.2.1 Integrated Bag Sampling and Analysis.
8.2.1.1 Evacuated Container Sampling Procedure. In this procedure, the bags are filled by evacuating the rigid air-tight container holding the bags. Use a field sample data sheet as shown in Figure 18-10. Collect triplicate samples from each sample location.
8.2.1.1.1 Apparatus.
8.2.1.1.1.1 Probe. Stainless steel, Pyrex glass, or Teflon tubing probe, according to the duct temperature, with Teflon tubing of sufficient length to connect to the sample bag. Use stainless steel or Teflon unions to connect probe and sample line.
8.2.1.1.1.2 Quick Connects. Male (2) and female (2) of stainless steel construction.
8.2.1.1.1.3 Needle Valve. To control gas flow.
8.2.1.1.1.4 Pump. Leakless Teflon-coated diaphragm-type pump or equivalent. To deliver at least 1 liter/min.
8.2.1.1.1.5 Charcoal Adsorption Tube. Tube filled with activated charcoal, with glass wool plugs at each end, to adsorb organic vapors.
8.2.1.1.1.6 Flowmeter. 0 to 500-ml flow range; with manufacturer's calibration curve.
8.2.1.1.2 Sampling Procedure. To obtain a sample, assemble the sample train as shown in Figure 18-9. Leak-check both the bag and the container. Connect the vacuum line from the needle valve to the Teflon sample line from the probe. Place the end of the probe at the centroid of the stack or at a point no closer to the walls than 1 in., and start the pump. Set the flow rate so that the final volume of the sample is approximately 80 percent of the bag capacity. After allowing sufficient time to purge the line several times, connect the vacuum line to the bag, and evacuate until the rotameter indicates no flow. Then position the sample and vacuum lines for sampling, and begin the actual sampling, keeping the rate proportional to the stack velocity. As a precaution, direct the gas exiting the rotameter away from sampling personnel. At the end of the sample period, shut off the pump, disconnect the sample line from the bag, and disconnect the vacuum line from the bag container. Record the source temperature, barometric pressure, ambient temperature, sampling flow rate, and initial and final sampling time on the data sheet shown in Figure 18-10. Protect the bag and its container from sunlight. Record the time lapsed between sample collection and analysis, and then conduct the recovery procedure in Section 8.4.2.
8.2.1.2 Direct Pump Sampling Procedure. Follow 8.2.1.1, except place the pump and needle valve between the probe and the bag. Use a pump and needle valve constructed of inert material not affected by the stack gas. Leak-check the system, and then purge with stack gas before connecting to the previously evacuated bag.
8.2.1.3 Explosion Risk Area Bag Sampling Procedure. Follow 8.2.1.1 except replace the pump with another evacuated can (see Figure 18-9a). Use this method whenever there is a possibility of an explosion due to pumps, heated probes, or other flame producing equipment.
8.2.1.4 Other Modified Bag Sampling Procedures. In the event that condensation is observed in the bag while collecting the sample and a direct interface system cannot be used, heat the bag during collection and maintain it at a suitably elevated temperature during all subsequent operations. (Note: Take care to leak-check the system prior to the dilutions so as not to create a potentially explosive atmosphere.) As an alternative, collect the sample gas, and simultaneously dilute it in the bag.
8.2.1.4.1 First Alternative Procedure. Heat the box containing the sample bag to 120 °C (±5 °C). Then transport the bag as rapidly as possible to the analytical area while maintaining the heating, or cover the box with an insulating blanket. In the analytical area, keep the box heated to 120 °C (±5 °C) until analysis. Be sure that the method of heating the box and the control for the heating circuit are compatible with the safety restrictions required in each area.
8.2.1.4.2 Second Alternative Procedure. Prefill the bag with a known quantity of inert gas. Meter the inert gas into the bag according to the procedure for the preparation of gas concentration standards of volatile liquid materials (Section 10.1.2.2), but eliminate the midget impinger section. Take the partly filled bag to the source, and meter the source gas into the bag through heated sampling lines and a heated flowmeter, or Teflon positive displacement pump. Verify the dilution factors before sampling each bag through dilution and analysis of gases of known concentration.
8.2.1.5 Analysis of Bag Samples.
8.2.1.5.1 Apparatus. Same as section 8.1. A minimum of three gas standards are required.
8.2.1.5.2 Procedure.
8.2.1.5.2.1 Establish proper GC operating conditions as described in section 10.2, and record all data listed in Figure 18-7. Prepare the GC so that gas can be drawn through the sample valve. Flush the sample loop with calibration gas mixture, and activate the valve (sample pressure at the inlet to the GC introduction valve should be similar during calibration as during actual sample analysis). Obtain at least three chromatograms for the mixture. The results are acceptable when the peak areas for the three injections agree to within 5 percent of their average. If they do not agree, run additional samples or correct the analytical techniques until this requirement is met. Then analyze the other two calibration mixtures in the same manner. Prepare a calibration curve as described in section 10.2.
8.2.1.5.2.2 Analyze the three source gas samples by connecting each bag to the sampling valve with a piece of Teflon tubing identified with that bag. Analyze each bag sample three times. Record the data in Figure 18-11. If certain items do not apply, use the notation “N.A.” If the bag has been maintained at an elevated temperature as described in section 8.2.1.4, determine the stack gas water content by Method 4. After all samples have been analyzed, repeat the analysis of the mid-level calibration gas for each compound. Compare the average response factor of the pre- and post-test analysis for each compound. If they differ by >5percent, analyze the other calibration gas levels for that compound, and prepare a calibration curve using all the pre- and post-test calibration gas mixture values. If the two response factor averages (pre-and post-test) differ by less than 5 percent from their mean value, the tester has the option of using only the pre-test calibration curve to generate the concentration values.
8.2.1.6 Determination of Bag Water Vapor Content. Measure the ambient temperature and barometric pressure near the bag. From a water saturation vapor pressure table, determine and record the water vapor content of the bag as a decimal figure. (Assume the relative humidity to be 100 percent unless a lesser value is known.) If the bag has been maintained at an elevated temperature as described in section 8.2.1.4, determine the stack gas water content by Method 4.
8.2.1.8 Emission Calculations. From the calibration curve described in section 8.2.1.5, select the value of Cs that corresponds to the peak area. Calculate the concentration Cc in ppm, dry basis, of each organic in the sample using Equation 18-5 in section 12.6.
8.2.2 Direct Interface Sampling and Analysis Procedure. The direct interface procedure can be used provided that the moisture content of the gas does not interfere with the analysis procedure, the physical requirements of the equipment can be met at the site, and the source gas concentration falls within the linear range of the detector. Adhere to all safety requirements with this method.
8.2.2.1 Apparatus.
8.2.2.1.1 Probe. Constructed of stainless steel, Pyrex glass, or Teflon tubing as dictated by duct temperature and reactivity of target compounds. A filter or glass wool plug may be needed if particulate is present in the stack gas. If necessary, heat the probe with heating tape or a special heating unit capable of maintaining a temperature greater than 110 °C.
8.2.2.1.2 Sample Lines. 6.4-mm OD (or other diameter as needed) Teflon lines, heat-traced to prevent condensation of material (greater than 110 °C).
8.2.2.1.3 Quick Connects. To connect sample line to gas sampling valve on GC instrument and to pump unit used to withdraw source gas. Use a quick connect or equivalent on the cylinder or bag containing calibration gas to allow connection of the calibration gas to the gas sampling valve.
8.2.2.1.4 Thermocouple Readout Device. Potentiometer or digital thermometer, to measure source temperature and probe temperature.
8.2.2.1.5 Heated Gas Sampling Valve. Of two-position, six-port design, to allow sample loop to be purged with source gas or to direct source gas into the GC instrument.
8.2.2.1.6 Needle Valve. To control gas sampling rate from the source.
8.2.2.1.7 Pump. Leakless Teflon-coated diaphragm-type pump or equivalent, capable of at least 1 liter/minute sampling rate.
8.2.2.1.8 Flowmeter. Of suitable range to measure sampling rate.
8.2.2.1.9 Charcoal Adsorber. To adsorb organic vapor vented from the source to prevent exposure of personnel to source gas.
8.2.2.1.10 Gas Cylinders. Carrier gas, oxygen and fuel as needed to run GC and detector.
8.2.2.1.11 Gas Chromatograph. Capable of being moved into the field, with detector, heated gas sampling valve, column required to complete separation of desired components, and option for temperature programming.
8.2.2.1.12 Recorder/Integrator. To record results.
8.2.2.2 Procedure. Calibrate the GC using the procedures in section 8.2.1.5.2.1. To obtain a stack gas sample, assemble the sampling system as shown in Figure 18-12. Make sure all connections are tight. Turn on the probe and sample line heaters. As the temperature of the probe and heated line approaches the target temperature as indicated on the thermocouple readout device, control the heating to maintain a temperature greater than 110 °C. Conduct a 3-point calibration of the GC by analyzing each gas mixture in triplicate. Generate a calibration curve. Place the inlet of the probe at the centroid of the duct, or at a point no closer to the walls than 1 m, and draw source gas into the probe, heated line, and sample loop. After thorough flushing, analyze the stack gas sample using the same conditions as for the calibration gas mixture. For each run, sample, analyze, and record five consecutive samples. A test consists of three runs (five samples per run times three runs, for a total of fifteen samples). After all samples have been analyzed, repeat the analysis of the mid-level calibration gas for each compound. For each calibration standard, compare the pre- and post-test average response factors (RF) for each compound. If the two calibration RF values (pre- and post-analysis) differ by more than 5 percent from their mean value, then analyze the other calibration gas levels for that compound and determine the stack gas sample concentrations by comparison to both calibration curves (this is done by preparing a calibration curve using all the pre- and post-test calibration gas mixture values.) If the two calibration RF values differ by less than 5 percent from their mean value, the tester has the option of using only the pre-test calibration curve to generate the concentration values. Record this calibration data and the other required data on the data sheet shown in Figure 18-11, deleting the dilution gas information.
Note:
Take care to draw all samples and calibration mixtures through the sample loop at the same pressure.
8.2.2.3 Determination of Stack Gas Moisture Content. Use Method 4 to measure the stack gas moisture content.
8.2.2.5 Emission Calculations. Same as section 8.2.1.8.
8.2.3 Dilution Interface Sampling and Analysis Procedure. Source samples that contain a high concentration of organic materials may require dilution prior to analysis to prevent saturating the GC detector. The apparatus required for this direct interface procedure is basically the same as that described in the section 8.2.2, except a dilution system is added between the heated sample line and the gas sampling valve. The apparatus is arranged so that either a 10:1 or 100:1 dilution of the source gas can be directed to the chromatograph. A pump of larger capacity is also required, and this pump must be heated and placed in the system between the sample line and the dilution apparatus.
8.2.3.1 Apparatus. The equipment required in addition to that specified for the direct interface system is as follows:
8.2.3.1.1 Sample Pump. Leakless Teflon-coated diaphragm-type that can withstand being heated to 120 °C and deliver 1.5 liters/minute.
8.2.3.1.2 Dilution Pumps. Two Model A-150 Komhyr Teflon positive displacement type delivering 150 cc/minute, or equivalent. As an option, calibrated flowmeters can be used in conjunction with Teflon-coated diaphragm pumps.
8.2.3.1.3 Valves. Two Teflon three-way valves, suitable for connecting to Teflon tubing.
8.2.3.1.4 Flowmeters. Two, for measurement of diluent gas.
8.2.3.1.5 Diluent Gas with Cylinders and Regulators. Gas can be nitrogen or clean dry air, depending on the nature of the source gases.
8.2.3.1.6 Heated Box. Suitable for being heated to 120 °C, to contain the three pumps, three-way valves, and associated connections. The box should be equipped with quick connect fittings to facilitate connection of: (1) the heated sample line from the probe, (2) the gas sampling valve, (3) the calibration gas mixtures, and (4) diluent gas lines. A schematic diagram of the components and connections is shown in Figure 18-13. The heated box shown in Figure 18-13 is designed to receive a heated line from the probe. An optional design is to build a probe unit that attaches directly to the heated box. In this way, the heated box contains the controls for the probe heaters, or, if the box is placed against the duct being sampled, it may be possible to eliminate the probe heaters. In either case, a heated Teflon line is used to connect the heated box to the gas sampling valve on the chromatograph.
Note:
Care must be taken to leak-check the system prior to the dilutions so as not to create a potentially explosive atmosphere.
8.2.3.2 Procedure.
8.2.3.2.1 Assemble the apparatus by connecting the heated box, shown in Figure 18-13, between the heated sample line from the probe and the gas sampling valve on the chromatograph. Vent the source gas from the gas sampling valve directly to the charcoal filter, eliminating the pump and rotameter. Heat the sample probe, sample line, and heated box. Insert the probe and source thermocouple at the centroid of the duct, or to a point no closer to the walls than 1 m. Measure the source temperature, and adjust all heating units to a temperature 0 to 3 °C above this temperature. If this temperature is above the safe operating temperature of the Teflon components, adjust the heating to maintain a temperature high enough to prevent condensation of water and organic compounds (greater than 110 °C). Calibrate the GC through the dilution system by following the procedures in section 8.2.1.5.2.1. Determine the concentration of the diluted calibration gas using the dilution factor and the certified concentration of the calibration gas. Record the pertinent data on the data sheet shown in Figure 18-11.
8.2.3.2.2 Once the dilution system and GC operations are satisfactory, proceed with the analysis of source gas, maintaining the same dilution settings as used for the standards.
8.2.3.2.3 Analyze the audit samples using either the dilution system, or directly connect to the gas sampling valve as required. Record all data and report the results to the audit supervisor.
8.2.3.3 Determination of Stack Gas Moisture Content. Same as section 8.2.2.3.
8.2.3.4 Quality Assurance. Same as section 8.2.2.4.
8.2.3.5 Emission Calculations. Same as section 8.2.2.5, with the dilution factor applied.
8.2.4 Adsorption Tube Procedure. Any commercially available adsorbent is allowed for the purposes of this method, as long as the recovery study criteria in section 8.4.3 are met. Help in choosing the adsorbent may be found by calling the distributor, or the tester may refer to National Institute for Occupational Safety and Health (NIOSH) methods for the particular organics to be sampled. For some adsorbents, the principal interferent will be water vapor. If water vapor is thought to be a problem, the tester may place a midget impinger in an ice bath before the adsorbent tubes. If this option is chosen, the water catch in the midget impinger shall be analyzed for the target compounds. Also, the spike for the recovery study (in section 8.4.3) shall be conducted in both the midget impinger and the adsorbent tubes. The combined recovery (add the recovered amount in the impinger and the adsorbent tubes to calculate R) shall then meet the criteria in section 8.4.3.
Note:
Post-test leak-checks are not allowed for this technique since this can result in sample contamination.
8.2.4.1 Additional Apparatus. The following items (or equivalent) are suggested.
8.2.4.1.1 Probe. Borosilicate glass or stainless steel, approximately 6-mm ID, with a heating system if water condensation is a problem, and a filter (either in-stack or out-of-stack, heated to stack temperature) to remove particulate matter. In most instances, a plug of glass wool is a satisfactory filter.
8.2.4.1.2 Flexible Tubing. To connect probe to adsorption tubes. Use a material that exhibits minimal sample adsorption.
8.2.4.1.3 Leakless Sample Pump. Flow controlled, constant rate pump, with a set of limiting (sonic) orifices.
8.2.4.1.4 Bubble-Tube Flowmeter. Volume accuracy within 1 percent, to calibrate pump.
8.2.4.1.5 Stopwatch. To time sampling and pump rate calibration.
8.2.4.1.6 Adsorption Tubes. Precleaned adsorbent, with mass of adsorbent to be determined by calculating breakthrough volume and expected concentration in the stack.
8.2.4.1.7 Barometer. Accurate to 5 mm Hg, to measure atmospheric pressure during sampling and pump calibration.
8.2.4.1.8 Rotameter. O to 100 cc/min, to detect changes in flow rate during sampling.
8.2.4.2 Sampling and Analysis.
8.2.4.2.1 Calibrate the pump and limiting orifice flow rate through adsorption tubes with the bubble tube flowmeter before sampling. The sample system can be operated as a “recirculating loop” for this operation. Record the ambient temperature and barometric pressure. Then, during sampling, use the rotameter to verify that the pump and orifice sampling rate remains constant.
8.2.4.2.2 Use a sample probe, if required, to obtain the sample at the centroid of the duct or at a point no closer to the walls than 1 m. Minimize the length of flexible tubing between the probe and adsorption tubes. Several adsorption tubes can be connected in series, if the extra adsorptive capacity is needed. Adsorption tubes should be maintained vertically during the test in order to prevent channeling. Provide the gas sample to the sample system at a pressure sufficient for the limiting orifice to function as a sonic orifice. Record the total time and sample flow rate (or the number of pump strokes), the barometric pressure, and ambient temperature. Obtain a total sample volume commensurate with the expected concentration(s) of the volatile organic(s) present and recommended sample loading factors (weight sample per weight adsorption media). Laboratory tests prior to actual sampling may be necessary to predetermine this volume. If water vapor is present in the sample at concentrations above 2 to 3 percent, the adsorptive capacity may be severely reduced. Operate the gas chromatograph according to the manufacturer's instructions. After establishing optimum conditions, verify and document these conditions during all operations. Calibrate the instrument and then analyze the emission samples.
8.2.4.3 Standards and Calibration. If using thermal desorption, obtain calibration gases using the procedures in section 10.1. If using solvent extraction, prepare liquid standards in the desorption solvent. Use a minimum of three different standards; select the concentrations to bracket the expected average sample concentration. Perform the calibration before and after each day's sample analyses using the procedures in section 8.2.1.5.2.1.
8.2.4.4 Quality Assurance.
8.2.4.4.1 Determine the recovery efficiency of the pollutants of interest according to section 8.4.3.
8.2.4.4.2 Determination of Sample Collection Efficiency (Optional). If sample breakthrough is thought to be a problem, a routine procedure for determining breakthrough is to analyze the primary and backup portions of the adsorption tubes separately. If the backup portion exceeds 10 percent of the total amount (primary and back-up), it is usually a sign of sample breakthrough. For the purposes of this method, only the recovery efficiency value (Section 8.4.3) is used to determine the appropriateness of the sampling and analytical procedure.
8.2.4.4.3 Volume Flow Rate Checks. Perform this check immediately after sampling with all sampling train components in place. Use the bubble-tube flowmeter to measure the pump volume flow rate with the orifice used in the test sampling, and record the result. If it has changed by more than 5 but less than 20 percent, calculate an average flow rate for the test. If the flow rate has changed by more than 20 percent, recalibrate the pump and repeat the sampling.
8.2.4.4.4 Calculations. Correct all sample volumes to standard conditions. If a sample dilution system has been used, multiply the results by the appropriate dilution ratio. Correct all results according to the applicable procedure in section 8.4.3. Report results as ppm by volume, dry basis.
8.3 Reporting of Results. At the completion of the field analysis portion of the study, ensure that the data sheets shown in Figure 18-11 have been completed. Summarize this data on the data sheets shown in Figure 18-15.
8.4 Recovery Study. After conducting the presurvey and identifying all of the pollutants of interest, conduct the appropriate recovery study during the test based on the sampling system chosen for the compounds of interest.
8.4.1 Recovery Study for Direct Interface or Dilution Interface Sampling. If the procedures in section 8.2.2 or 8.2.3 are to be used to analyze the stack gas, conduct the calibration procedure as stated in section 8.2.2.2 or 8.2.3.2, as appropriate. Upon successful completion of the appropriate calibration procedure, attach the mid-level calibration gas for at least one target compound to the inlet of the probe or as close as possible to the inlet of the probe, but before the filter. Repeat the calibration procedure by sampling and analyzing the mid-level calibration gas through the entire sampling and analytical system in triplicate. The mean of the calibration gas response sampled through the probe shall be within 10 percent of the analyzer response. If the difference in the two means is greater than 10 percent, check for leaks throughout the sampling system and repeat the analysis of the standard through the sampling system until this criterion is met.
8.4.2 Recovery Study for Bag Sampling.
8.4.2.1 Follow the procedures for the bag sampling and analysis in section 8.2.1. After analyzing all three bag samples, choose one of the bag samples and tag this bag as the spiked bag. Spike the chosen bag sample with a known mixture (gaseous or liquid) of all of the target pollutants. The theoretical concentration, in ppm, of each spiked compound in the bag shall be 40 to 60 percent of the average concentration measured in the three bag samples. If a target compound was not detected in the bag samples, the concentration of that compound to be spiked shall be 5 times the limit of detection for that compound. Store the spiked bag for the same period of time as the bag samples collected in the field. After the appropriate storage time has passed, analyze the spiked bag three times. Calculate the average fraction recovered (R) of each spiked target compound with the equation in section 12.7.
8.4.2.2 For the bag sampling technique to be considered valid for a compound, 0.70 ≤R ≤1.30. If the R value does not meet this criterion for a target compound, the sampling technique is not acceptable for that compound, and therefore another sampling technique shall be evaluated for acceptance (by repeating the recovery study with another sampling technique). Report the R value in the test report and correct all field measurements with the calculated R value for that compound by using the equation in section 12.8.
8.4.3 Recovery Study for Adsorption Tube Sampling. If following the adsorption tube procedure in section 8.2.4, conduct a recovery study of the compounds of interest during the actual field test. Set up two identical sampling trains. Collocate the two sampling probes in the stack. The probes shall be placed in the same horizontal plane, where the first probe tip is 2.5 cm from the outside edge of the other. One of the sampling trains shall be designated the spiked train and the other the unspiked train. Spike all of the compounds of interest (in gaseous or liquid form) onto the adsorbent tube(s) in the spiked train before sampling. The mass of each spiked compound shall be 40 to 60 percent of the mass expected to be collected with the unspiked train. Sample the stack gas into the two trains simultaneously. Analyze the adsorbents from the two trains utilizing identical analytical procedures and instrumentation. Determine the fraction of spiked compound recovered (R) using the equations in section 12.9.
8.4.3.1 Repeat the procedure in section 8.4.3 twice more, for a total of three runs. In order for the adsorbent tube sampling and analytical procedure to be acceptable for a compound, 0.70≤R≤1.30 (R in this case is the average of three runs). If the average R value does not meet this criterion for a target compound, the sampling technique is not acceptable for that compound, and therefore another sampling technique shall be evaluated for acceptance (by repeating the recovery study with another sampling technique). Report the R value in the test report and correct all field measurements with the calculated R value for that compound by using the equation in section 12.8.
9.0 Quality Control9.1 Miscellaneous Quality Control Measures
| Section | Quality control measure | Effect |
|---|---|---|
| 8.4.1 | Recovery study for direct interface or dilution interface sampling | Ensure that there are no significant leaks in the sampling system. |
| 8.4.2 | Recovery study for bag sampling | Demonstrate that proper sampling/analysis procedures were selected. |
| 8.4.3 | Recovery study for adsorption tube sampling | Demonstrate that proper sampling/analysis procedures were selected. |
10.1 Calibration Standards. Obtain calibration gas standards for each target compound to be analyzed. Commercial cylinder gases certified by the manufacturer to be accurate to within 1 percent of the certified label value are preferable, although cylinder gases certified by the manufacturer to 2 percent accuracy are allowed. Another option allowed by this method is for the tester to obtain high concentration certified cylinder gases and then use a dilution system meeting the requirements of Test Method 205, 40 CFR Part 51, Appendix M to make multi-level calibration gas standards. Prepare or obtain enough calibration standards so that there are three different concentrations of each organic compound expected to be measured in the source sample. For each organic compound, select those concentrations that bracket the concentrations expected in the source samples. A calibration standard may contain more than one organic compound. If samples are collected in adsorbent tubes and extracted using solvent extraction, prepare or obtain standards in the same solvent used for the sample extraction procedure. Verify the stability of all standards for the time periods they are used.
10.2 Preparation of Calibration Curves.
10.2.1 Establish proper GC conditions, then flush the sampling loop for 30 seconds. Allow the sample loop pressure to equilibrate to atmospheric pressure, and activate the injection valve. Record the standard concentration, attenuator factor, injection time, chart speed, retention time, peak area, sample loop temperature, column temperature, and carrier gas flow rate. Analyze each standard in triplicate.
10.2.2 Repeat this procedure for each standard. Prepare a graphical plot of concentration (Cs) versus the calibration area values. Perform a regression analysis, and draw the least square line.
11.0 Analytical Procedures11.1 Analysis Development
11.1.1 Selection of GC Parameters
11.1.1.1 Column Choice. Based on the initial contact with plant personnel concerning the plant process and the anticipated emissions, choose a column that provides good resolution and rapid analysis time. The choice of an appropriate column can be aided by a literature search, contact with manufacturers of GC columns, and discussion with personnel at the emission source.
Note:
Most column manufacturers keep excellent records on their products. Their technical service departments may be able to recommend appropriate columns and detector type for separating the anticipated compounds, and they may be able to provide information on interferences, optimum operating conditions, and column limitations. Plants with analytical laboratories may be able to provide information on their analytical procedures.
11.1.1.2 Preliminary GC Adjustment. Using the standards and column obtained in section 11.1.1.1, perform initial tests to determine appropriate GC conditions that provide good resolution and minimum analysis time for the compounds of interest.
11.1.1.3 Preparation of Presurvey Samples. If the samples were collected on an adsorbent, extract the sample as recommended by the manufacturer for removal of the compounds with a solvent suitable to the type of GC analysis. Prepare other samples in an appropriate manner.
11.1.1.4 Presurvey Sample Analysis.
11.1.1.4.1 Before analysis, heat the presurvey sample to the duct temperature to vaporize any condensed material. Analyze the samples by the GC procedure, and compare the retention times against those of the calibration samples that contain the components expected to be in the stream. If any compounds cannot be identified with certainty by this procedure, identify them by other means such as GC/mass spectroscopy (GC/MS) or GC/infrared techniques. A GC/MS system is recommended.
11.1.1.4.2 Use the GC conditions determined by the procedure of section 11.1.1.2 for the first injection. Vary the GC parameters during subsequent injections to determine the optimum settings. Once the optimum settings have been determined, perform repeat injections of the sample to determine the retention time of each compound. To inject a sample, draw sample through the loop at a constant rate (100 ml/min for 30 seconds). Be careful not to pressurize the gas in the loop. Turn off the pump and allow the gas in the sample loop to come to ambient pressure. Activate the sample valve, and record injection time, loop temperature, column temperature, carrier flow rate, chart speed, and attenuator setting. Calculate the retention time of each peak using the distance from injection to the peak maximum divided by the chart speed. Retention times should be repeatable within 0.5 seconds.
11.1.1.4.3 If the concentrations are too high for appropriate detector response, a smaller sample loop or dilutions may be used for gas samples, and, for liquid samples, dilution with solvent is appropriate. Use the standard curves (Section 10.2) to obtain an estimate of the concentrations.
11.1.1.4.4 Identify all peaks by comparing the known retention times of compounds expected to be in the retention times of peaks in the sample. Identify any remaining unidentified peaks which have areas larger than 5 percent of the total using a GC/MS, or estimation of possible compounds by their retention times compared to known compounds, with confirmation by further GC analysis.
12.0 Data Analysis and Calculations12.1 Nomenclature.
Bws = Water vapor content of the bag sample or stack gas, proportion by volume. Cs = Concentration of the organic from the calibration curve, ppm. Gv = Gas volume or organic compound injected, ml. Lv = Liquid volume of organic injected, µl. M = Molecular weight of organic, g/g-mole. ms = Total mass of compound measured on adsorbent with spiked train (µg). mu = Total mass of compound measured on adsorbent with unspiked train (µg). mv = Mass per volume of spiked compound measured (µg/L). Pi = Barometric or absolute sample loop pressure at time of sample analysis, mm Hg. Pm = Absolute pressure of dry gas meter, mm Hg. Pr = Reference pressure, the barometric pressure or absolute sample loop pressure recorded during calibration, mm Hg. Ps = Absolute pressure of syringe before injection, mm Hg. qc = Flow rate of the calibration gas to be diluted. qc1 = Flow rate of the calibration gas to be diluted in stage 1. qc2 = Flow rate of the calibration gas to be diluted in stage 2. qd = Diluent gas flow rate. qd1 = Flow rate of diluent gas in stage 1. qd2 = Flow rate of diluent gas in stage 2. s = Theoretical concentration (ppm) of spiked target compound in the bag. S = Theoretical mass of compound spiked onto adsorbent in spiked train (µg). t = Measured average concentration (ppm) of target compound and source sample (analysis results subsequent to bag spiking) Ti = Sample loop temperature at the time of sample analysis, °K. Tm = Absolute temperature of dry gas meter, °K. Ts = Absolute temperature of syringe before injection, °K. u = Source sample average concentration (ppm) of target compound in the bag (analysis results before bag spiking). Vm = Gas volume indicated by dry gas meter, liters. vs = volume of stack gas sampled with spiked train (L). vu = volume of stack gas sampled with unspiked train (L). X = Mole or volume fraction of the organic in the calibration gas to be diluted. Y = Dry gas meter calibration factor, dimensionless. µl = Liquid organic density as determined, g/ml. 24.055 = Ideal gas molar volume at 293 °K and 760 mm Hg, liters/g-mole. 1000 = Conversion factor, ml/liter. 10 6 = Conversion to ppm.12.2 Calculate the concentration, Cs, in ppm using the following equation:

12.3 Calculate the concentration, Cs, in ppm of the organic in the final gas mixture using the following equation:

12.4 Calculate each organic standard concentration, Cs, in ppm using the following equation:

12.5 Calculate each organic standard concentration, Cs, in ppm using the following equation:

12.6 Calculate the concentration, Cc, in ppm, dry basis, of each organic is the sample using the following equation:

12.7 Calculate the average fraction recovered (R) of each spiked target compound using the following equation:

12.8 Correct all field measurements with the calculated R value for that compound using the following equation:

12.9 Determine the mass per volume of spiked compound measured using the following equation:

12.10 Calculate the fraction of spiked compound recovered, R, using the following equation:
13.0 Method Performance
13.1 Since a potential sample may contain a variety of compounds from various sources, a specific precision limit for the analysis of field samples is impractical. Precision in the range of 5 to 10 percent relative standard deviation (RSD) is typical for gas chromatographic techniques, but an experienced GC operator with a reliable instrument can readily achieve 5 percent RSD. For this method, the following combined GC/operator values are required.
(a) Precision. Triplicate analyses of calibration standards fall within 5 percent of their mean value.
(b) Recovery. After developing an appropriate sampling and analytical system for the pollutants of interest, conduct the procedure in section 8.4. Conduct the appropriate recovery study in section 8.4 at each sampling point where the method is being applied. Submit the data and results of the recovery procedure with the reporting of results under section 8.3.
14.0 Pollution Prevention [Reserved]15.0 Waste Management [Reserved]16.0 Alternative Procedures16.1 Optional Presurvey and Presurvey Sampling.
Note:
Presurvey screening is optional. Presurvey sampling should be conducted for sources where the target pollutants are not known from previous tests and/or process knowledge.
Perform a presurvey for each source to be tested. Refer to Figure 18-1. Some of the information can be collected from literature surveys and source personnel. Collect gas samples that can be analyzed to confirm the identities and approximate concentrations of the organic emissions.
16.1.1 Apparatus. This apparatus list also applies to sections 8.2 and 11.
16.1.1.1 Teflon Tubing. (Mention of trade names or specific products does not constitute endorsement by the U.S. Environmental Protection Agency.) Diameter and length determined by connection requirements of cylinder regulators and the GC. Additional tubing is necessary to connect the GC sample loop to the sample.
16.1.1.2 Gas Chromatograph. GC with suitable detector, columns, temperature-controlled sample loop and valve assembly, and temperature programmable oven, if necessary. The GC shall achieve sensitivity requirements for the compounds under study.
16.1.1.3 Pump. Capable of pumping 100 ml/min. For flushing sample loop.
16.1.1.4 Flow Meter. To measure flow rates.
16.1.1.5 Regulators. Used on gas cylinders for GC and for cylinder standards.
16.1.1.6 Recorder. Recorder with linear strip chart is minimum acceptable. Integrator (optional) is recommended.
16.1.1.7 Syringes. 0.5-ml, 1.0- and 10-microliter size, calibrated, maximum accuracy (gas tight) for preparing calibration standards. Other appropriate sizes can be used.
16.1.1.8 Tubing Fittings. To plumb GC and gas cylinders.
16.1.1.9 Septa. For syringe injections.
16.1.1.10 Glass Jars. If necessary, clean, colored glass jars with Teflon-lined lids for condensate sample collection. Size depends on volume of condensate.
16.1.1.11 Soap Film Flowmeter. To determine flow rates.
16.1.1.12 Flexible Bags. Tedlar or equivalent, 10- and 50-liter capacity, for preparation of standards. (Verify through the manufacturer that the Tedlar alternative is suitable for the compound of interest and make this verifying information available for inspection.)
16.1.1.13 Dry Gas Meter with Temperature and Pressure Gauges. Accurate to ±2 percent, for preparation of gas standards.
16.1.1.14 Midget Impinger/Hot Plate Assembly. For preparation of gas standards.
16.1.1.15 Sample Flasks. For presurvey samples, must have gas-tight seals.
16.1.1.16 Adsorption Tubes. If necessary, blank tubes filled with necessary adsorbent (charcoal, Tenax, XAD-2, etc.) for presurvey samples.
16.1.1.17 Personnel Sampling Pump. Calibrated, for collecting adsorbent tube presurvey samples.
16.1.1.18 Dilution System. Calibrated, the dilution system is to be constructed following the specifications of an acceptable method.
16.1.1.19 Sample Probes. Pyrex or stainless steel, of sufficient length to reach centroid of stack, or a point no closer to the walls than 1 m.
16.1.1.20 Barometer. To measure barometric pressure.
16.1.2 Reagents.
16.1.2.1 Water. Deionized distilled.
16.1.2.2 Methylene chloride.
16.1.2.3 Calibration Gases. A series of standards prepared for every compound of interest.
16.1.2.4 Organic Compound Solutions. Pure (99.9 percent), or as pure as can reasonably be obtained, liquid samples of all the organic compounds needed to prepare calibration standards.
16.1.2.5 Extraction Solvents. For extraction of adsorbent tube samples in preparation for analysis.
16.1.2.6 Fuel. As recommended by the manufacturer for operation of the GC.
16.1.2.7 Carrier Gas. Hydrocarbon free, as recommended by the manufacturer for operation of the detector and compatibility with the column.
16.1.2.8 Zero Gas. Hydrocarbon free air or nitrogen, to be used for dilutions, blank preparation, and standard preparation.
16.1.3 Sampling.
16.1.3.1 Collection of Samples with Glass Sampling Flasks. Presurvey samples may be collected in precleaned 250-ml double-ended glass sampling flasks. Teflon stopcocks, without grease, are preferred. Flasks should be cleaned as follows: Remove the stopcocks from both ends of the flasks, and wipe the parts to remove any grease. Clean the stopcocks, barrels, and receivers with methylene chloride (or other non-target pollutant solvent, or heat and humidified air). Clean all glass ports with a soap solution, then rinse with tap and deionized distilled water. Place the flask in a cool glass annealing furnace, and apply heat up to 500 °C. Maintain at this temperature for 1 hour. After this time period, shut off and open the furnace to allow the flask to cool. Return the stopcocks to the flask receivers. Purge the assembly with high-purity nitrogen for 2 to 5 minutes. Close off the stopcocks after purging to maintain a slight positive nitrogen pressure. Secure the stopcocks with tape. Presurvey samples can be obtained either by drawing the gases into the previously evacuated flask or by drawing the gases into and purging the flask with a rubber suction bulb.
16.1.3.1.1 Evacuated Flask Procedure. Use a high-vacuum pump to evacuate the flask to the capacity of the pump; then close off the stopcock leading to the pump. Attach a 6-mm outside diameter (OD) glass tee to the flask inlet with a short piece of Teflon tubing. Select a 6-mm OD borosilicate sampling probe, enlarged at one end to a 12-mm OD and of sufficient length to reach the centroid of the duct to be sampled. Insert a glass wool plug in the enlarged end of the probe to remove particulate matter. Attach the other end of the probe to the tee with a short piece of Teflon tubing. Connect a rubber suction bulb to the third leg of the tee. Place the filter end of the probe at the centroid of the duct, and purge the probe with the rubber suction bulb. After the probe is completely purged and filled with duct gases, open the stopcock to the grab flask until the pressure in the flask reaches duct pressure. Close off the stopcock, and remove the probe from the duct. Remove the tee from the flask and tape the stopcocks to prevent leaks during shipment. Measure and record the duct temperature and pressure.
16.1.3.1.2 Purged Flask Procedure. Attach one end of the sampling flask to a rubber suction bulb. Attach the other end to a 6-mm OD glass probe as described in section 8.3.3.1.1. Place the filter end of the probe at the centroid of the duct, or at a point no closer to the walls than 1 m, and apply suction with the bulb to completely purge the probe and flask. After the flask has been purged, close off the stopcock near the suction bulb, and then close off the stopcock near the probe. Remove the probe from the duct, and disconnect both the probe and suction bulb. Tape the stopcocks to prevent leakage during shipment. Measure and record the duct temperature and pressure.
16.1.3.2 Flexible Bag Procedure. Any leak-free plastic (e.g., Tedlar, Mylar, Teflon) or plastic-coated aluminum (e.g., aluminized Mylar) bag, or equivalent, can be used to obtain the pre-survey sample. Use new bags, and leak-check them before field use. In addition, check the bag before use for contamination by filling it with nitrogen or air and analyzing the gas by GC at high sensitivity. Experience indicates that it is desirable to allow the inert gas to remain in the bag about 24 hours or longer to check for desorption of organics from the bag. Follow the leak-check and sample collection procedures given in Section 8.2.1.
16.1.3.3 Determination of Moisture Content. For combustion or water-controlled processes, obtain the moisture content from plant personnel or by measurement during the presurvey. If the source is below 59 °C, measure the wet bulb and dry bulb temperatures, and calculate the moisture content using a psychrometric chart. At higher temperatures, use Method 4 to determine the moisture content.
16.1.4 Determination of Static Pressure. Obtain the static pressure from the plant personnel or measurement. If a type S pitot tube and an inclined manometer are used, take care to align the pitot tube 90° from the direction of the flow. Disconnect one of the tubes to the manometer, and read the static pressure; note whether the reading is positive or negative.
16.1.5 Collection of Presurvey Samples with Adsorption Tube. Follow section 8.2.4 for presurvey sampling.
17.0 References1. American Society for Testing and Materials. C1 Through C5 Hydrocarbons in the Atmosphere by Gas Chromatography. ASTM D 2820-72, Part 23. Philadelphia, Pa. 23:950-958. 1973.
2. Corazon, V.V. Methodology for Collecting and Analyzing Organic Air Pollutants. U.S. Environmental Protection Agency. Research Triangle Park, N.C. Publication No. EPA-600/2-79-042. February 1979.
3. Dravnieks, A., B.K. Krotoszynski, J. Whitfield, A. O'Donnell, and T. Burgwald. Environmental Science and Technology. 5(12):1200-1222. 1971.
4. Eggertsen, F.T., and F.M. Nelsen. Gas Chromatographic Analysis of Engine Exhaust and Atmosphere. Analytical Chemistry. 30(6): 1040-1043. 1958.
5. Feairheller, W.R., P.J. Marn, D.H. Harris, and D.L. Harris. Technical Manual for Process Sampling Strategies for Organic Materials. U.S. Environmental Protection Agency. Research Triangle Park, N.C. Publication No. EPA 600/2-76-122. April 1976. 172 p.
6. Federal Register, 39 FR 9319-9323. 1974.
7. Federal Register, 39 FR 32857-32860. 1974.
8. Federal Register, 23069-23072 and 23076-23090. 1976.
9. Federal Register, 46569-46571. 1976.
10. Federal Register, 41771-41776. 1977.
11. Fishbein, L. Chromatography of Environmental Hazards, Volume II. Elesevier Scientific Publishing Company. New York, N.Y. 1973.
12. Hamersma, J.W., S.L. Reynolds, and R.F. Maddalone. EPA/IERL-RTP Procedures Manual: Level 1 Environmental Assessment. U.S. Environmental Protection Agency. Research Triangle Park, N.C. Publication No. EPA 600/276-160a. June 1976. 130 p.
13. Harris, J.C., M.J. Hayes, P.L. Levins, and D.B. Lindsay. EPA/IERL-RTP Procedures for Level 2 Sampling and Analysis of Organic Materials. U.S. Environmental Protection Agency. Research Triangle Park, N.C. Publication No. EPA 600/7-79-033. February 1979. 154 p.
14. Harris, W.E., H.W. Habgood. Programmed Temperature Gas Chromatography. John Wiley and Sons, Inc. New York. 1966.
15. Intersociety Committee. Methods of Air Sampling and Analysis. American Health Association. Washington, D.C. 1972.
16. Jones, P.W., R.D. Grammer, P.E. Strup, and T.B. Stanford. Environmental Science and Technology. 10:806-810. 1976.
17. McNair Han Bunelli, E.J. Basic Gas Chromatography. Consolidated Printers. Berkeley. 1969.
18. Nelson, G.O. Controlled Test Atmospheres, Principles and Techniques. Ann Arbor. Ann Arbor Science Publishers. 1971. 247 p.
19. NIOSH Manual of Analytical Methods, Volumes 1, 2, 3, 4, 5, 6, 7. U.S. Department of Health and Human Services, National Institute for Occupational Safety and Health. Center for Disease Control. 4676 Columbia Parkway, Cincinnati, Ohio 45226. April 1977—August 1981. May be available from the Superintendent of Documents, Government Printing Office, Washington, D.C. 20402. Stock Number/Price:
Volume 1—O17-033-00267-3/$13 Volume 2—O17-033-00260-6/$11 Volume 3—O17-033-00261-4/$14 Volume 4—O17-033-00317-3/$7.25 Volume 5—O17-033-00349-1/$10 Volume 6—O17-033-00369-6/$9 Volume 7—O17-033-00396-5/$7 Prices subject to change. Foreign orders add 25 percent.20. Schuetzle, D., T.J. Prater, and S.R. Ruddell. Sampling and Analysis of Emissions from Stationary Sources; I. Odor and Total Hydrocarbons. Journal of the Air Pollution Control Association. 25(9): 925-932. 1975.
21. Snyder, A.D., F.N. Hodgson, M.A. Kemmer and J.R. McKendree. Utility of Solid Sorbents for Sampling Organic Emissions from Stationary Sources. U.S. Environmental Protection Agency. Research Triangle Park, N.C. Publication No. EPA 600/2-76-201. July 1976. 71 p.
22. Tentative Method for Continuous Analysis of Total Hydrocarbons in the Atmosphere. Intersociety Committee, American Public Health Association. Washington, D.C. 1972. p. 184-186.
23. Zwerg, G. CRC Handbook of Chromatography, Volumes I and II. Sherma, Joseph (ed.). CRC Press. Cleveland. 1972.
18.0 Tables, Diagrams, Flowcharts, and Validation Data I. Name of company Date Address Contracts Phone Process to be sampled Duct or vent to be sampled II. Process description Raw material Products Operating cycle Check: Batch ________ Continuous ________ Cyclic ________ Timing of batch or cycle Best time to test III. Sampling site A. Description Site decription Duct shape and size Material Wall thickness ________ inches Upstream distance ________ inches ________ diameter Downstream distance ________ inches ________ diameter Size of port Size of access area Hazards ________ Ambient temp. ________ °F B. Properties of gas stream Temperature ________ °C ________ °F, Data source ________ Velocity ________, Data source ________ Static pressure ________ inches H2O, Data source ________ Moisture content ________%, Data source ________ Particulate content ________, Data source________ Gaseous components N2 ________ % Hydrocarbons ________ ppm O2 ________% ________ CO ________ % ________ ________ CO2 ________ % ________ ________ SO2 ________ % ________ ________ Hydrocarbon components ________ ________ ppm ________ ________ ppm ________ ________ ppm ________ ________ ppm ________ ________ ppm ________ ________ ppm C. Sampling considerations Location to set up GC Special hazards to be considered Power available at duct Power available for GC Plant safety requirements Vehicle traffic rules Plant entry requirements Security agreements Potential problems D. Site diagrams. (Attach additional sheets if required). Figure 18-1. Preliminary Survey Data Sheet Components to be analyzed and Expected concentration Suggested chromatographic column Column flow rate __ ml/min Head pressure ________ mm Hg Column temperature: Isothermal ________ °C, Programmed from ________ °C to ________ °C at ________ °C/min Injection port/sample loop temperature ________ °C Detector temperature ________ °C Detector flow rates: Hydrogen ________ ml/min., head pressure ________ mm Hg, Air/Oxygen ________ ml/min., head pressure ________ mm Hg. Chart speed ________ inches/minute Compound data: Compound and Retention time and Attenuation Figure 18-2. Chromatographic Conditions Data Sheet| Standards | |||
|---|---|---|---|
| Mixture #1 | Mixture #2 | Mixture #3 | |
| Standards Preparation Data: | |||
| Organic: | |||
| Bag number or identification | |||
| Dry gas meter calibration factor | |||
| Final meter reading (liters) | |||
| Initial meter reading (liters) | |||
| Metered volume (liters) | |||
| Average meter temperature (°K) | |||
| Average meter pressure, gauge (mm Hg) | |||
| Average atmospheric perssure (mm Hg) | |||
| Average meter pressure, absolute (mm Hg) | |||
| Syringe temperature (°K) (see section 10.1.2.1) | |||
| Syringe pressure, absolute (mm Hg) (see section 10.1.2.1) | |||
| Volume of gas in syringe (ml) (Section 10.1.2.1) | |||
| Density of liquid organic (g/ml) (Section 10.1.2.1) | |||
| Volume of liquid in syringe (ml) (Section 10.1.2.1) | |||
| GC Operating Conditions: | |||
| Sample loop volume (ml) | |||
| Sample loop temperature ( °C) | |||
| Carrier gas flow rate (ml/min) | |||
| Column temperature: | |||
| Initial ( °C) | |||
| Rate change ( °C/min) | |||
| Final ( °C) | |||
| Organic Peak Identification and Calculated Concentrations: | |||
| Injection time (24 hour clock) | |||
| Distance to peak (cm) | |||
| Chart speed (cm/min) | |||
| Organic retention time (min) | |||
| Attenuation factor | |||
| Peak height (mm) | |||
| Peak area (mm2) | |||
| Peak area * attenuation factor (mm2) | |||
| Calculated concentration (ppm) (Equation 18-3 or 18-4) | |||
| Plot peak area * attenuation factor against calculated concentration to obtain calibration curve. |
| Reading (as marked) | Temp. (°K) | Pressure (absolute) |
|---|---|---|
| Time (min) | Gas volume a | Flow rate b |
|---|---|---|
| a Vol. of gas may be measured in milliliters, liters or cubic feet. | ||
| b Convert to standard conditions (20 °C and 760 mm Hg). Plot flowmeter reading against flow rate (standard conditions), and draw a smooth curve. If the flowmeter being calibrated is a rotameter or other flow device that is viscosity dependent, it may be necessary to generate a “family” of calibration curves that cover the operating pressure and temperature ranges of the flowmeter. While the following technique should be verified before application, it may be possible to calculate flow rate reading for rotameters at standard conditions Qstd as follows: |

| Flow rate (laboratory conditions) | Flow rate (STD conditions) |
|---|---|


| Standards preparation data: | Date: | ||
|---|---|---|---|
| Mixture 1 | Mixture 2 | Mixture 3 | |
| Stage 1: | |||
| Standard gas flowmeter reading | |||
| Diluent gas flowmeter reading | |||
| Laboratory temperature (°K) | |||
| Barometric pressure (mm Hg) | |||
| Flowmeter gage pressure (mm Hg) | |||
| Flow rate cylinder gas at standard conditions (ml/min) | |||
| Flow rate diluent gas at standard conditions (ml/min) | |||
| Calculated concentration (ppm) | |||
| Stage 2 (if used): | |||
| Standard gas flowmeter reading | |||
| Diluent gas flowmeter reading | |||
| Flow rate Stage 1 gas at standard conditions (ml/min) | |||
| Flow rate diluent gas at standard conditions | |||
| Calculated concentration (ppm) | |||
| GC Operating Conditions: | |||
| Sample loop volume (ml) | |||
| Sample loop temperature ( °C) | |||
| Carrier gas flow rate (ml/min) | |||
| Column temperature: | |||
| Initial ( °C) | |||
| Program rate ( °C/min) | |||
| Final ( °C) | |||
| Organic Peak Identification and Calculated Concentrations: | |||
| Injection time (24-hour clock) | |||
| Distance to peak (cm) | |||
| Chart speed (cm/min) | |||
| Retention time (min) | |||
| Attenuation factor | |||
| Peak area (mm2) | |||
| Peak area *attenuation factor | |||
| Plot peak area *attenuation factor against calculated concentration to obtain calibration curve. |



| Sample 1 | Sample 2 | Sample 3 | |
|---|---|---|---|
| Source temperature ( °C) | |||
| Barometric pressure (mm Hg) | |||
| Ambient temperature ( °C) | |||
| Sample flow rate (appr.) | |||
| Bag number | |||
| Start time | |||
| Finish time |
| 1. General information: | |
| Source temperature ( °C) | |
| Probe temperature ( °C) | |
| Ambient temperature ( °C) | |
| Atmospheric pressure (mm) | |
| Source pressure (′Hg) | |
| Absolute source pressure (mm) | |
| Sampling rate (liter/min) | |
| Sample loop volume (ml) | |
| Sample loop temperature ( °C) | |
| Columnar temperature: | |
| Initial ( °C) time (min) | |
| Program rate ( °C/min) | |
| Final ( °C)/time (min) | |
| Carrier gas flow rate (ml/min) | |
| Detector temperature ( °C) | |
| Injection time (24-hour basis) | |
| Chart Speed (mm/min) | |
| Dilution gas flow rate (ml/min) | |
| Dilution gas used (symbol) | |
| Dilution ratio |
| Components | Area | Attenuation | A × A Factor | Conc.__ (ppm) |
|---|---|---|---|---|


| Date | ||
|---|---|---|
| 1. Presurvey data: | ||
| A. Grab sample collected | □ | ______ |
| B. Grab sample analyzed for composition | □ | ______ |
| Method GC | □ | ______ |
| GC/MS | □ | ______ |
| Other | □ | ______ |
| C. GC-FID analysis performed | □ | ______ |
| 2. Laboratory calibration data: | ||
| A. Calibration curves prepared | □ | ______ |
| Number of components | □ | ______ |
| Number of concentrations/component (3 required) | □ | ______ |
| B. Audit samples (optional): | ||
| Analysis completed | □ | ______ |
| Verified for concentration | □ | ______ |
| OK obtained for field work | □ | ______ |
| 3. Sampling procedures: | ||
| A. Method: | ||
| Bag sample | □ | ______ |
| Direct interface | □ | ______ |
| Dilution interface | □ | ______ |
| B. Number of samples collected | □ | ______ |
| 4. Field Analysis: | ||
| A. Total hydrocarbon analysis performed | □ | ______ |
| B. Calibration curve prepared | □ | ______ |
| Number of components | □ | ______ |
| Number of concentrations per component (3 required) | □ | ______ |
| 1. Pre-survey data | Date |
| A. Grab sample collected | ________ |
| B. Grab sample analyzed for composition | ________ |
| Method GC | ________ |
| GC/MS | ________ |
| Other________________________ | ________ |
| C. GC-FID analysis performed | ________ |
| 2. Laboratory calibration curves prepared | ________ |
| A. Number of components | ________ |
| B. Number of concentrations per component (3 required) | ________ |
| C. OK obtained for field work | ________ |
| 3. Sampling procedures | |
| A. Method | |
| Bag sample | ________ |
| Direct interface | ________ |
| Dilution interface | ________ |
| B. Number of samples collected | ________ |
| 4. Field Analysis | |
| A. Total hydrocarbon analysis performed | ________ |
| B. Calibration curve prepared | ________ |
| Number of components | ________ |
| Number of concentrations per component (3 required) | ________ |
[36 FR 24877, Dec. 23, 1971]
Editorial Note:
For Federal Register citations affecting appendix A-6 to part 60, see the List of CFR sections Affected, which appears in the Finding Aids section of the printed volume and at www.govinfo.gov.