Appendix A-5 to Part 60—Test Methods 11 through 15A
Method 11—Determination of hydrogen sulfide content of fuel gas streams in petroleum refineries Method 12—Determination of inorganic lead emissions from stationary sources Method 13A—Determination of total fluoride emissions from stationary sources—SPADNS zirconium lake method Method 13B—Determination of total fluoride emissions from stationary sources—Specific ion electrode method Method 14—Determination of fluoride emissions from potroom roof monitors for primary aluminum plants Method 14A—Determination of Total Fluoride Emissions from Selected Sources at Primary Aluminum Production Facilities Method 15—Determination of hydrogen sulfide, carbonyl sulfide, and carbon disulfide emissions from stationary sources Method 15A—Determination of total reduced sulfur emissions from sulfur recovery plants in petroleum refineriesThe test methods in this appendix are referred to in § 60.8 (Performance Tests) and § 60.11 (Compliance With Standards and Maintenance Requirements) of 40 CFR part 60, subpart A (General Provisions). Specific uses of these test methods are described in the standards of performance contained in the subparts, beginning with Subpart D.
Within each standard of performance, a section title “Test Methods and Procedures” is provided to: (1) Identify the test methods to be used as reference methods to the facility subject to the respective standard and (2) identify any special instructions or conditions to be followed when applying a method to the respective facility. Such instructions (for example, establish sampling rates, volumes, or temperatures) are to be used either in addition to, or as a substitute for procedures in a test method. Similarly, for sources subject to emission monitoring requirements, specific instructions pertaining to any use of a test method as a reference method are provided in the subpart or in Appendix B.
Inclusion of methods in this appendix is not intended as an endorsement or denial of their applicability to sources that are not subject to standards of performance. The methods are potentially applicable to other sources; however, applicability should be confirmed by careful and appropriate evaluation of the conditions prevalent at such sources.
The approach followed in the formulation of the test methods involves specifications for equipment, procedures, and performance. In concept, a performance specification approach would be preferable in all methods because this allows the greatest flexibility to the user. In practice, however, this approach is impractical in most cases because performance specifications cannot be established. Most of the methods described herein, therefore, involve specific equipment specifications and procedures, and only a few methods in this appendix rely on performance criteria.
Minor changes in the test methods should not necessarily affect the validity of the results and it is recognized that alternative and equivalent methods exist. section 60.8 provides authority for the Administrator to specify or approve (1) equivalent methods, (2) alternative methods, and (3) minor changes in the methodology of the test methods. It should be clearly understood that unless otherwise identified all such methods and changes must have prior approval of the Administrator. An owner employing such methods or deviations from the test methods without obtaining prior approval does so at the risk of subsequent disapproval and retesting with approved methods.
Within the test methods, certain specific equipment or procedures are recognized as being acceptable or potentially acceptable and are specifically identified in the methods. The items identified as acceptable options may be used without approval but must be identified in the test report. The potentially approvable options are cited as “subject to the approval of the Administrator” or as “or equivalent.” Such potentially approvable techniques or alternatives may be used at the discretion of the owner without prior approval. However, detailed descriptions for applying these potentially approvable techniques or alternatives are not provided in the test methods. Also, the potentially approvable options are not necessarily acceptable in all applications. Therefore, an owner electing to use such potentially approvable techniques or alternatives is responsible for: (1) assuring that the techniques or alternatives are in fact applicable and are properly executed; (2) including a written description of the alternative method in the test report (the written method must be clear and must be capable of being performed without additional instruction, and the degree of detail should be similar to the detail contained in the test methods); and (3) providing any rationale or supporting data necessary to show the validity of the alternative in the particular application. Failure to meet these requirements can result in the Administrator's disapproval of the alternative.
Method 11—Determination of Hydrogen Sulfide Content of Fuel Gas Streams in Petroleum Refineries 1.0 Scope and Application1.1 Analytes.
| Analyte | CAS No. | Sensitivity |
|---|---|---|
| Hydrogen sulfide (H2 S) | 7783-06-4 | 8 mg/m3—740 mg/m3, (6 ppm—520 ppm). |
1.2 Applicability. This method is applicable for the determination of the H2S content of fuel gas streams at petroleum refineries.
1.3 Data Quality Objectives. Adherence to the requirements of this method will enhance the quality of the data obtained from air pollutant sampling methods.
2.0 Summary of Method2.1 A sample is extracted from a source and passed through a series of midget impingers containing a cadmium sulfate (CdSO4) solution; H2S is absorbed, forming cadmium sulfide (CdS). The latter compound is then measured iodometrically.
3.0 Definitions [Reserved]4.0 Interferences4.1 Any compound that reduces iodine (I2) or oxidizes the iodide ion will interfere in this procedure, provided it is collected in the CdSO4 impingers. Sulfur dioxide in concentrations of up to 2,600 mg/m 3 is removed with an impinger containing a hydrogen peroxide (H2O2) solution. Thiols precipitate with H2S. In the absence of H2S, only traces of thiols are collected. When methane-and ethane-thiols at a total level of 300 mg/m 3 are present in addition to H2S, the results vary from 2 percent low at an H2S concentration of 400 mg/m 3 to 14 percent high at an H2S concentration of 100 mg/m 3. Carbonyl sulfide at a concentration of 20 percent does not interfere. Certain carbonyl-containing compounds react with iodine and produce recurring end points. However, acetaldehyde and acetone at concentrations of 1 and 3 percent, respectively, do not interfere.
4.2 Entrained H2O2 produces a negative interference equivalent to 100 percent of that of an equimolar quantity of H2S. Avoid the ejection of H2O2 into the CdSO4 impingers.
5.0 Safety5.1 Disclaimer. This method may involve hazardous materials, operations, and equipment. This test method may not address all of the safety problems associated with its use. It is the responsibility of the user of this test method to establish appropriate safety and health practices and determine the applicability of regulatory limitations prior to performing this test method.
5.2 Corrosive reagents. The following reagents are hazardous. Personal protective equipment and safe procedures are useful in preventing chemical splashes. If contact occurs, immediately flush with copious amounts of water for at least 15 minutes. Remove clothing under shower and decontaminate. Treat residual chemical burns as thermal burns.
5.2.1 Hydrogen Peroxide. Irritating to eyes, skin, nose, and lungs. 30% H2O2 is a strong oxidizing agent. Avoid contact with skin, eyes, and combustible material. Wear gloves when handling.
5.2.2 Hydrochloric Acid. Highly toxic. Vapors are highly irritating to eyes, skin, nose, and lungs, causing severe damage. May cause bronchitis, pneumonia, or edema of lungs. Exposure to concentrations of 0.13 to 0.2 percent can be lethal in minutes. Will react with metals, producing hydrogen.
6.0 Equipment and Supplies6.1 Sample Collection. The following items are needed for sample collection:
6.1.1 Sampling Line. Teflon tubing, 6- to 7- mm ( 1/4-in.) ID, to connect the sampling train to the sampling valve.
6.1.2 Impingers. Five midget impingers, each with 30-ml capacity. The internal diameter of the impinger tip must be 1 mm ±0.05 mm. The impinger tip must be positioned 4 to 6 mm from the bottom of the impinger.
6.1.3 Tubing. Glass or Teflon connecting tubing for the impingers.
6.1.4 Ice Water Bath. To maintain absorbing solution at a low temperature.
6.1.5 Drying Tube. Tube packed with 6- to 16- mesh indicating-type silica gel, or equivalent, to dry the gas sample and protect the meter and pump. If the silica gel has been used previously, dry at 175 °C (350 °F) for 2 hours. New silica gel may be used as received. Alternatively, other types of desiccants (equivalent or better) may be used, subject to approval of the Administrator.
Note:
Do not use more than 30 g of silica gel. Silica gel adsorbs gases such as propane from the fuel gas stream, and use of excessive amounts of silica gel could result in errors in the determination of sample volume.
6.1.6 Sampling Valve. Needle valve, or equivalent, to adjust gas flow rate. Stainless steel or other corrosion-resistant material.
6.1.7 Volume Meter. Dry gas meter (DGM), sufficiently accurate to measure the sample volume within 2 percent, calibrated at the selected flow rate (about 1.0 liter/min) and conditions actually encountered during sampling. The meter shall be equipped with a temperature sensor (dial thermometer or equivalent) capable of measuring temperature to within 3 °C (5.4 °F). The gas meter should have a petcock, or equivalent, on the outlet connector which can be closed during the leak-check. Gas volume for one revolution of the meter must not be more than 10 liters.
6.1.8 Rate Meter. Rotameter, or equivalent, to measure flow rates in the range from 0.5 to 2 liters/min (1 to 4 ft 3/hr).
6.1.9 Graduated Cylinder. 25-ml size.
6.1.10 Barometer. Mercury, aneroid, or other barometer capable of measuring atmospheric pressure to within 2.5 mm Hg (0.1 in. Hg). In many cases, the barometric reading may be obtained from a nearby National Weather Service station, in which case, the station value (which is the absolute barometric pressure) shall be requested and an adjustment for elevation differences between the weather station and the sampling point shall be applied at a rate of minus 2.5 mm Hg (0.1 in Hg) per 30 m (100 ft) elevation increase or vice-versa for elevation decrease.
6.1.11 U-tube Manometer. 0-; to 30-cm water column, for leak-check procedure.
6.1.12 Rubber Squeeze Bulb. To pressurize train for leak-check.
6.1.13 Tee, Pinchclamp, and Connecting Tubing. For leak-check.
6.1.14 Pump. Diaphragm pump, or equivalent. Insert a small surge tank between the pump and rate meter to minimize the pulsation effect of the diaphragm pump on the rate meter. The pump is used for the air purge at the end of the sample run; the pump is not ordinarily used during sampling, because fuel gas streams are usually sufficiently pressurized to force sample gas through the train at the required flow rate. The pump need not be leak-free unless it is used for sampling.
6.1.15 Needle Valve or Critical Orifice. To set air purge flow to 1 liter/min.
6.1.16 Tube Packed with Active Carbon. To filter air during purge.
6.1.17 Volumetric Flask. One 1000-ml.
6.1.18 Volumetric Pipette. One 15-ml.
6.1.19 Pressure-Reduction Regulator. Depending on the sampling stream pressure, a pressure-reduction regulator may be needed to reduce the pressure of the gas stream entering the Teflon sample line to a safe level.
6.1.20 Cold Trap. If condensed water or amine is present in the sample stream, a corrosion-resistant cold trap shall be used immediately after the sample tap. The trap shall not be operated below 0 °C (32 °F) to avoid condensation of C3 or C4 hydrocarbons.
6.2 Sample Recovery. The following items are needed for sample recovery:
6.2.1 Sample Container. Iodine flask, glass-stoppered, 500-ml size.
6.2.2 Volumetric Pipette. One 50-ml.
6.2.3 Graduated Cylinders. One each 25- and 250-ml.
6.2.4 Erlenmeyer Flasks. 125-ml.
6.2.5 Wash Bottle.
6.2.6 Volumetric Flasks. Three 1000-ml.
6.3 Sample Analysis. The following items are needed for sample analysis:
6.3.1 Flask. Glass-stoppered iodine flask, 500-ml.
6.3.2 Burette. 50-ml.
6.3.3 Erlenmeyer Flask. 125-ml.
6.3.4 Volumetric Pipettes. One 25-ml; two each 50- and 100-ml.
6.3.5 Volumetric Flasks. One 1000-ml; two 500-ml.
6.3.6 Graduated Cylinders. One each 10- and 100-ml.
7.0 Reagents and StandardsNote:
Unless otherwise indicated, it is intended that all reagents conform to the specifications established by the Committee on Analytical Reagents of the American Chemical Society, where such specifications are available. Otherwise, use the best available grade.
7.1 Sample Collection. The following reagents are required for sample collection:
7.1.1 CdSO4 Absorbing Solution. Dissolve 41 g of 3CdSO48H2O and 15 ml of 0.1 M sulfuric acid in a 1-liter volumetric flask that contains approximately 3/4 liter of water. Dilute to volume with deionized, distilled water. Mix thoroughly. The pH should be 3 ±0.1. Add 10 drops of Dow-Corning Antifoam B. Shake well before use. This solution is stable for at least one month. If Antifoam B is not used, a more labor-intensive sample recovery procedure is required (see section 11.2).
7.1.2 Hydrogen Peroxide, 3 Percent. Dilute 30 percent H2O2 to 3 percent as needed. Prepare fresh daily.
7.1.3 Water. Deionized distilled to conform to ASTM D 1193-77 or 91, Type 3 (incorporated by reference—see § 60.17). The KMnO4 test for oxidizable organic matter may be omitted when high concentrations of organic matter are not expected to be present.
7.2 Sample Recovery. The following reagents are needed for sample recovery:
7.2.1 Water. Same as section 7.1.3.
7.2.2 Hydrochloric Acid (HCl) Solution, 3 M. Add 240 ml of concentrated HCl (specific gravity 1.19) to 500 ml of water in a 1-liter volumetric flask. Dilute to 1 liter with water. Mix thoroughly.
7.2.3 Iodine (I2) Solution, 0.1 N. Dissolve 24 g of potassium iodide (KI) in 30 ml of water. Add 12.7 g of resublimed iodine (I2) to the KI solution. Shake the mixture until the I2 is completely dissolved. If possible, let the solution stand overnight in the dark. Slowly dilute the solution to 1 liter with water, with swirling. Filter the solution if it is cloudy. Store solution in a brown-glass reagent bottle.
7.2.4 Standard I2 Solution, 0.01 N. Pipette 100.0 ml of the 0.1 N iodine solution into a 1-liter volumetric flask, and dilute to volume with water. Standardize daily as in section 10.2.1. This solution must be protected from light. Reagent bottles and flasks must be kept tightly stoppered.
7.3 Sample Analysis. The following reagents and standards are needed for sample analysis:
7.3.1 Water. Same as in section 7.1.3.
7.3.2 Standard Sodium Thiosulfate Solution, 0.1 N. Dissolve 24.8 g of sodium thiosulfate pentahydrate (Na2S2O3·5H2O) or 15.8 g of anhydrous sodium thiosulfate (Na2S2O3) in 1 liter of water, and add 0.01 g of anhydrous sodium carbonate (Na2CO3) and 0.4 ml of chloroform (CHCl3) to stabilize. Mix thoroughly by shaking or by aerating with nitrogen for approximately 15 minutes, and store in a glass-stoppered, reagent bottle. Standardize as in section 10.2.2.
7.3.3 Standard Sodium Thiosulfate Solution, 0.01 N. Pipette 50.0 ml of the standard 0.1 N Na2S2O3 solution into a volumetric flask, and dilute to 500 ml with water.
Note:
A 0.01 N phenylarsine oxide (C6H5AsO) solution may be prepared instead of 0.01 N Na2S2O3 (see section 7.3.4).
7.3.4 Standard Phenylarsine Oxide Solution, 0.01 N. Dissolve 1.80 g of (C6H5AsO) in 150 ml of 0.3 N sodium hydroxide. After settling, decant 140 ml of this solution into 800 ml of water. Bring the solution to pH 6-7 with 6 N HCl, and dilute to 1 liter with water. Standardize as in section 10.2.3.
7.3.5 Starch Indicator Solution. Suspend 10 g of soluble starch in 100 ml of water, and add 15 g of potassium hydroxide (KOH) pellets. Stir until dissolved, dilute with 900 ml of water, and let stand for 1 hour. Neutralize the alkali with concentrated HCl, using an indicator paper similar to Alkacid test ribbon, then add 2 ml of glacial acetic acid as a preservative.
Note:
Test starch indicator solution for decomposition by titrating with 0.01 N I2 solution, 4 ml of starch solution in 200 ml of water that contains 1 g of KI. If more than 4 drops of the 0.01 N I2 solution are required to obtain the blue color, a fresh solution must be prepared.
8.1 Sampling Train Preparation. Assemble the sampling train as shown in Figure 11-1, connecting the five midget impingers in series. Place 15 ml of 3 percent H2O2 solution in the first impinger. Leave the second impinger empty. Place 15 ml of the CdSO4 solution in the third, fourth, and fifth impingers. Place the impinger assembly in an ice water bath container, and place water and crushed ice around the impingers. Add more ice during the run, if needed.
8.2 Leak-Check Procedure.
8.2.1 Connect the rubber bulb and manometer to the first impinger, as shown in Figure 11-1. Close the petcock on the DGM outlet. Pressurize the train to 25 cm water with the bulb, and close off the tubing connected to the rubber bulb. The train must hold 25 cm water pressure with not more than a 1 cm drop in pressure in a 1-minute interval. Stopcock grease is acceptable for sealing ground glass joints.
8.2.2 If the pump is used for sampling, it is recommended, but not required, that the pump be leak-checked separately, either prior to or after the sampling run. To leak-check the pump, proceed as follows: Disconnect the drying tube from the impinger assembly. Place a vacuum gauge at the inlet to either the drying tube or the pump, pull a vacuum of 250 mm Hg (10 in. Hg), plug or pinch off the outlet of the flow meter, and then turn off the pump. The vacuum should remain stable for at least 30 seconds. If performed prior to the sampling run, the pump leak-check should precede the leak-check of the sampling train described immediately above; if performed after the sampling run, the pump leak-check should follow the sampling train leak-check.
8.3 Purge the connecting line between the sampling valve and the first impinger by disconnecting the line from the first impinger, opening the sampling valve, and allowing process gas to flow through the line for one to two minutes. Then, close the sampling valve, and reconnect the line to the impinger train. Open the petcock on the dry gas meter outlet. Record the initial DGM reading.
8.4 Open the sampling valve, and then adjust the valve to obtain a rate of approximately 1 liter/min (0.035 cfm). Maintain a constant (±10 percent) flow rate during the test. Record the DGM temperature.
8.5 Sample for at least 10 minutes. At the end of the sampling time, close the sampling valve, and record the final volume and temperature readings. Conduct a leak-check as described in Section 8.2. A yellow color in the final cadmium sulfate impinger indicates depletion of the absorbing solution. An additional cadmium sulfate impinger should be added for subsequent samples and the sample with yellow color in the final impinger should be voided.
8.6 Disconnect the impinger train from the sampling line. Connect the charcoal tube and the pump as shown in Figure 11-1. Purge the train [at a rate of 1 liter/min (0.035 ft 3/min)] with clean ambient air for 15 minutes to ensure that all H2S is removed from the H2O2. For sample recovery, cap the open ends, and remove the impinger train to a clean area that is away from sources of heat. The area should be well lighted, but not exposed to direct sunlight.
8.7 Sample Recovery.
8.7.1 Discard the contents of the H2O2 impinger. Carefully rinse with water the contents of the third, fourth, and fifth impingers into a 500-ml iodine flask.
Note:
The impingers normally have only a thin film of CdS remaining after a water rinse. If Antifoam B was not used or if significant quantities of yellow CdS remain in the impingers, the alternative recovery procedure in section 11.2 must be used.
8.7.2 Proceed to section 11 for the analysis.
9.0 Quality Control| Section | Quality control measure | Effect |
|---|---|---|
| 8.2, 10.1 | Sampling equipment leak-check and calibration | Ensure accurate measurement of sample volume. |
| 11.2 | Replicate titrations of blanks | Ensure precision of titration determinations. |
Note:
Maintain a log of all calibrations.
10.1 Calibration. Calibrate the sample collection equipment as follows.
10.1.1 Dry Gas Meter.
10.1.1.1 Initial Calibration. The DGM shall be calibrated before its initial use in the field. Proceed as follows: First, assemble the following components in series: Drying tube, needle valve, pump, rotameter, and DGM. Then, leak-check the metering system as follows: Place a vacuum gauge (at least 760 mm Hg) at the inlet to the drying tube, and pull a vacuum of 250 mm Hg (10 in. Hg); plug or pinch off the outlet of the flow meter, and then turn off the pump. The vacuum shall remain stable for at least 30 seconds. Carefully release the vacuum gauge before releasing the flow meter end. Next, calibrate the DGM (at the sampling flow rate specified by the method) as follows: Connect an appropriately sized wet-test meter (e.g., 1 liter per revolution) to the inlet of the drying tube. Make three independent calibration runs, using at least five revolutions of the DGM per run. Calculate the calibration factor, Y (wet-test meter calibration volume divided by the DGM volume, both volumes adjusted to the same reference temperature and pressure), for each run, and average the results. If any Y value deviates by more than 2 percent from the average, the DGM is unacceptable for use. Otherwise, use the average as the calibration factor for subsequent test runs.
10.1.1.2 Post-Test Calibration Check. After each field test series, conduct a calibration check as in section 10.1.1.1, above, except for the following two variations: (a) three or more revolutions of the DGM may be used and (b) only two independent runs need be made. If the calibration factor does not deviate by more than 5 percent from the initial calibration factor (determined in section 10.1.1.1), then the DGM volumes obtained during the test series are acceptable. If the calibration factor deviates by more than 5 percent, recalibrate the DGM as in section 10.1.1.1, and for the calculations, use the calibration factor (initial or recalibration) that yields the lower gas volume for each test run.
10.1.2 Temperature Sensors. Calibrate against mercury-in-glass thermometers. An alternative mercury-free thermometer may be used if the thermometer is at a minimum equivalent in terms of performance or suitably effective for the specific temperature measurement application.
10.1.3 Rate Meter. The rate meter need not be calibrated, but should be cleaned and maintained according to the manufacturer's instructions.
10.1.4 Barometer. Calibrate against a mercury barometer.
10.2 Standardization.
10.2.1 Iodine Solution Standardization. Standardize the 0.01 N I2 solution daily as follows: Pipette 25 ml of the I2 solution into a 125-ml Erlenmeyer flask. Add 2 ml of 3 M HCl. Titrate rapidly with standard 0.01 N Na2S2O3 solution or with 0.01 N C6H5AsO until the solution is light yellow, using gentle mixing. Add four drops of starch indicator solution, and continue titrating slowly until the blue color just disappears. Record the volume of Na2S2O3 solution used, VSI, or the volume of C6H5AsO solution used, VAI, in ml. Repeat until replicate values agree within 0.05 ml. Average the replicate titration values which agree within 0.05 ml, and calculate the exact normality of the I2 solution using Equation 11-3. Repeat the standardization daily.
10.2.2 Sodium Thiosulfate Solution Standardization. Standardize the 0.1 N Na2S2O3 solution as follows: Oven-dry potassium dichromate (K2Cr2O7) at 180 to 200 °C (360 to 390 °F). To the nearest milligram, weigh 2 g of the dichromate (W). Transfer the dichromate to a 500-ml volumetric flask, dissolve in water, and dilute to exactly 500 ml. In a 500-ml iodine flask, dissolve approximately 3 g of KI in 45 ml of water, then add 10 ml of 3 M HCl solution. Pipette 50 ml of the dichromate solution into this mixture. Gently swirl the contents of the flask once, and allow it to stand in the dark for 5 minutes. Dilute the solution with 100 to 200 ml of water, washing down the sides of the flask with part of the water. Titrate with 0.1 N Na2S2O3 until the solution is light yellow. Add 4 ml of starch indicator and continue titrating slowly to a green end point. Record the volume of Na2S2O3 solution used, VS, in ml. Repeat until replicate values agree within 0.05 ml. Calculate the normality using Equation 11-1. Repeat the standardization each week or after each test series, whichever time is shorter.
10.2.3 Phenylarsine Oxide Solution Standardization. Standardize the 0.01 N C6H5AsO (if applicable) as follows: Oven-dry K2Cr2O7 at 180 to 200 °C (360 to 390 °F). To the nearest milligram, weigh 2 g of the dichromate (W). Transfer the dichromate to a 500-ml volumetric flask, dissolve in water, and dilute to exactly 500 ml. In a 500-ml iodine flask, dissolve approximately 0.3 g of KI in 45 ml of water, then add 10 ml of 3 M HCl. Pipette 5 ml of the dichromate solution into the iodine flask. Gently swirl the contents of the flask once, and allow it to stand in the dark for 5 minutes. Dilute the solution with 100 to 200 ml of water, washing down the sides of the flask with part of the water. Titrate with 0.01 N C6H5AsO until the solution is light yellow. Add 4 ml of starch indicator, and continue titrating slowly to a green end point. Record the volume of C6H5AsO used, VA, in ml. Repeat until replicate analyses agree within 0.05 ml. Calculate the normality using Equation 11-2. Repeat the standardization each week or after each test series, whichever time is shorter.
11.0 Analytical ProcedureConduct the titration analyses in a clean area away from direct sunlight.
11.1 Pipette exactly 50 ml of 0.01 N I2 solution into a 125-ml Erlenmeyer flask. Add 10 ml of 3 M HCl to the solution. Quantitatively rinse the acidified I2 into the iodine flask. Stopper the flask immediately, and shake briefly.
11.2 Use these alternative procedures if Antifoam B was not used or if significant quantities of yellow CdS remain in the impingers. Extract the remaining CdS from the third, fourth, and fifth impingers using the acidified I2 solution. Immediately after pouring the acidified I2 into an impinger, stopper it and shake for a few moments, then transfer the liquid to the iodine flask. Do not transfer any rinse portion from one impinger to another; transfer it directly to the iodine flask. Once the acidified I2 solution has been poured into any glassware containing CdS, the container must be tightly stoppered at all times except when adding more solution, and this must be done as quickly and carefully as possible. After adding any acidified I2 solution to the iodine flask, allow a few minutes for absorption of the H2S before adding any further rinses. Repeat the I2 extraction until all CdS is removed from the impingers. Extract that part of the connecting glassware that contains visible CdS. Quantitatively rinse all the I2 from the impingers, connectors, and the beaker into the iodine flask using water. Stopper the flask and shake briefly.
11.3 Allow the iodine flask to stand about 30 minutes in the dark for absorption of the H2S into the I2, then complete the titration analysis as outlined in sections 11.5 and 11.6.
Note:
Iodine evaporates from acidified I2 solutions. Samples to which acidified I2 has been added may not be stored, but must be analyzed in the time schedule stated above.
11.4 Prepare a blank by adding 45 ml of CdSO4 absorbing solution to an iodine flask. Pipette exactly 50 ml of 0.01 N I2 solution into a 125-ml Erlenmeyer flask. Add 10 ml of 3 M HCl. Stopper the flask, shake briefly, let stand 30 minutes in the dark, and titrate with the samples.
Note:
The blank must be handled by exactly the same procedure as that used for the samples.
11.5 Using 0.01 N Na2S2O3 solution (or 0.01 N C6H5AsO, if applicable), rapidly titrate each sample in an iodine flask using gentle mixing, until solution is light yellow. Add 4 ml of starch indicator solution, and continue titrating slowly until the blue color just disappears. Record the volume of Na2S2O3 solution used, VTT, or the volume of C6H5AsO solution used, VAT, in ml.
11.6 Titrate the blanks in the same manner as the samples. Run blanks each day until replicate values agree within 0.05 ml. Average the replicate titration values which agree within 0.05 ml.
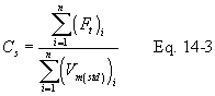
12.0 Data Analysis and CalculationsCarry out calculations, retaining at least one extra significant figure beyond that of the acquired data. Round off figures only after the final calculation.
12.1 Nomenclature.
CH2S = Concentration of H2S at standard conditions, mg/dscm. NA = Normality of standard C6H5AsO solution, g-eq/liter. NI = Normality of standard I2 solution, g-eq/liter. NS = Normality of standard (≃0.1 N) Na2S2O3 solution, g-eq/liter. NT = Normality of standard (≃0.01 N) Na2S2O3 solution, assumed to be 0.1 NS, g-eq/liter. Pbar = Barometric pressure at the sampling site, mm Hg. Pstd = Standard absolute pressure, 760 mm Hg. Tm = Average DGM temperature, °K. Tstd = Standard absolute temperature, 293 °K. VA = Volume of C6H5AsO solution used for standardization, ml. VAI = Volume of standard C6H5AsO solution used for titration analysis, ml. VI = Volume of standard I2 solution used for standardization, ml. VIT = Volume of standard I2 solution used for titration analysis, normally 50 ml. Vm = Volume of gas sample at meter conditions, liters. Vm(std) = Volume of gas sample at standard conditions, liters. VSI = Volume of “0.1 N Na2S2O3 solution used for standardization, ml. VT = Volume of standard (≃0.01 N) Na2S2O3 solution used in standardizing iodine solution (see section 10.2.1), ml. VTT = Volume of standard (∼0.01 N) Na2S2O3 solution used for titration analysis, ml. W = Weight of K2Cr2O7 used to standardize Na2s2O3 or C6H5AsO solutions, as applicable (see sections 10.2.2 and 10.2.3), g. Y = DGM calibration factor.12.2 Normality of the Standard (≃0.1 N) Sodium Thiosulfate Solution.
Where:
2.039 = Conversion factor
= (6 g-eq I2/mole K2Cr2O7) (1,000 ml/liter)/(294.2 g K2Cr2O7/mole) (10 aliquot factor)
12.3 Normality of Standard Phenylarsine Oxide Solution (if applicable).
Where:
0.2039 = Conversion factor.
= (6 g-eq I2/mole K2Cr2O7) (1,000 ml/liter)/(294.2 g K2Cr2O7/mole) (100 aliquot factor)
12.4 Normality of Standard Iodine Solution.

Note:
If C6H5AsO is used instead of Na2S2O3, replace NT and VT in Equation 11-3 with NA and VAS, respectively (see sections 10.2.1 and 10.2.3).
12.5 Dry Gas Volume. Correct the sample volume measured by the DGM to standard conditions (20 °C and 760 mm Hg).

12.6 Concentration of H2S. Calculate the concentration of H2S in the gas stream at standard conditions using Equation 11-5:
Where:
17.04 × 10
3 = Conversion factor
= (34.07 g/mole H2S) (1,000 liters/m
3) (1,000mg/g)/(1,000 ml/liter) (2H2S eq/mole)
Note:
If C6H5AsO is used instead of NaS22O3, replace NA and VAT in Equation 11-5 with NA and VAT, respectively (see sections 11.5 and 10.2.3).
13.1 Precision. Collaborative testing has shown the intra-laboratory precision to be 2.2 percent and the inter-laboratory precision to be 5 percent.
13.2 Bias. The method bias was shown to be −4.8 percent when only H2S was present. In the presence of the interferences cited in section 4.0, the bias was positive at low H2S concentration and negative at higher concentrations. At 230 mg H2S/m 3, the level of the compliance standard, the bias was + 2.7 percent. Thiols had no effect on the precision.
14.0 Pollution Prevention [Reserved]15.0 Waste Management [Reserved]16.0 References1. Determination of Hydrogen Sulfide, Ammoniacal Cadmium Chloride Method. API Method 772-54. In: Manual on Disposal of Refinery Wastes, Vol. V: Sampling and Analysis of Waste Gases and Particulate Matter. American Petroleum Institute, Washington, D.C. 1954.
2. Tentative Method of Determination of Hydrogen Sulfide and Mercaptan Sulfur in Natural Gas. Natural Gas Processors Association, Tulsa, OK. NGPA Publication No. 2265-65. 1965.
3. Knoll, J.D., and M.R. Midgett. Determination of Hydrogen Sulfide in Refinery Fuel Gases. Environmental Monitoring Series, Office of Research and Development, USEPA. Research Triangle Park, NC 27711. EPA 600/4-77-007.
4. Scheil, G.W., and M.C. Sharp. Standardization of Method 11 at a Petroleum Refinery. Midwest Research Institute Draft Report for USEPA. Office of Research and Development. Research Triangle Park, NC 27711. EPA Contract No. 68-02-1098. August 1976. EPA 600/4-77-088a (Volume 1) and EPA 600/4-77-088b (Volume 2).
17.0 Tables, Diagrams, Flowcharts, and Validation Data
Method 12—Determination of Inorganic Lead Emissions From Stationary Sources
Note:
This method does not include all of the specifications (e.g., equipment and supplies) and procedures (e.g., sampling and analytical) essential to its performance. Some material is incorporated by reference from other methods in this part. Therefore, to obtain reliable results, persons using this method should have a thorough knowledge of at least the following additional test methods: Method 1, Method 2, Method 3, and Method 5.
1.1 Analytes.
| Analyte | CAS No. | Sensitivity |
|---|---|---|
| Inorganic Lead Compounds as lead (Pb) | 7439-92-1 | see section 13.3. |
1.2 Applicability. This method is applicable for the determination of inorganic lead emissions from stationary sources, only as specified in an applicable subpart of the regulations.
1.3 Data Quality Objectives. Adherence to the requirements of this method will enhance the quality of the data obtained from air pollutant sampling methods.
2.0 Summary of Method2.1 Particulate and gaseous Pb emissions are withdrawn isokinetically from the source and are collected on a filter and in dilute nitric acid. The collected samples are digested in acid solution and are analyzed by atomic absorption spectrophotometry using an air/acetylene flame.
3.0 Definitions [Reserved]4.0 Interferences4.1 Copper. High concentrations of copper may interfere with the analysis of Pb at 217.0 nm. This interference can be avoided by analyzing the samples at 283.3 nm.
4.2 Matrix Effects. Analysis for Pb by flame atomic absorption spectrophotometry is sensitive to the chemical composition and to the physical properties (e.g., viscosity, pH) of the sample. The analytical procedure requires the use of the Method of Standard Additions to check for these matrix effects, and requires sample analysis using the Method of Standard Additions if significant matrix effects are found to be present.
5.0 Safety5.1 Disclaimer. This method may involve hazardous materials, operations, and equipment. This test method may not address all of the safety problems associated with its use. It is the responsibility of the user of this test method to establish appropriate safety and health practices and to determine the applicability of regulatory limitations prior to performing this test method.
5.2 Corrosive Reagents. The following reagents are hazardous. Personal protective equipment and safe procedures are useful in preventing chemical splashes. If contact occurs, immediately flush with copious amounts of water at least 15 minutes. Remove clothing under shower and decontaminate. Treat residual chemical burn as thermal burn.
5.2.1 Hydrogen Peroxide (H2O2). Irritating to eyes, skin, nose, and lungs.
5.2.2 Nitric Acid (HNO3). Highly corrosive to eyes, skin, nose, and lungs. Vapors cause bronchitis, pneumonia, or edema of lungs. Reaction to inhalation may be delayed as long as 30 hours and still be fatal. Provide ventilation to limit exposure. Strong oxidizer. Hazardous reaction may occur with organic materials such as solvents.
6.0 Equipment and Supplies6.1 Sample Collection. A schematic of the sampling train used in performing this method is shown in Figure 12-1 in section 18.0; it is similar to the Method 5 train. The following items are needed for sample collection:
6.1.1 Probe Nozzle, Probe Liner, Pitot Tube, Differential Pressure Gauge, Filter Holder, Filter Heating System, Temperature Sensor, Metering System, Barometer, and Gas Density Determination Equipment. Same as Method 5, sections 6.1.1.1 through 6.1.1.7, 6.1.1.9, 6.1.2, and 6.1.3, respectively.
6.1.2 Impingers. Four impingers connected in series with leak-free ground glass fittings or any similar leak-free noncontaminating fittings are needed. For the first, third, and fourth impingers, use the Greenburg-Smith design, modified by replacing the tip with a 1.3 cm ( 1/2 in.) ID glass tube extending to about 1.3 cm ( 1/2 in.) from the bottom of the flask. For the second impinger, use the Greenburg-Smith design with the standard tip.
6.1.3 Temperature Sensor. Place a temperature sensor, capable of measuring temperature to within 1 °C (2 °F) at the outlet of the fourth impinger for monitoring purposes.
6.2 Sample Recovery. The following items are needed for sample recovery:
6.2.1 Probe-Liner and Probe-Nozzle Brushes, Petri Dishes, Graduated Cylinder and/or Balance, Plastic Storage Containers, and Funnel and Rubber Policeman. Same as Method 5, sections 6.2.1 and 6.2.4 through 6.2.7, respectively.
6.2.2 Wash Bottles. Glass (2).
6.2.3 Sample Storage Containers. Chemically resistant, borosilicate glass bottles, for 0.1 N nitric acid (HNO3) impinger and probe solutions and washes, 1000-ml. Use screw-cap liners that are either rubber-backed Teflon or leak-free and resistant to chemical attack by 0.1 N HNO3. (Narrow mouth glass bottles have been found to be less prone to leakage.)
6.2.4 Funnel. Glass, to aid in sample recovery.
6.3 Sample Analysis. The following items are needed for sample analysis:
6.3.1 Atomic Absorption Spectrophotometer. With lead hollow cathode lamp and burner for air/acetylene flame.
6.3.2 Hot Plate.
6.3.3 Erlenmeyer Flasks. 125-ml, 24/40 standard taper.
6.3.4 Membrane Filters. Millipore SCWPO 4700, or equivalent.
6.3.5 Filtration Apparatus. Millipore vacuum filtration unit, or equivalent, for use with the above membrane filter.
6.3.6 Volumetric Flasks. 100-ml, 250-ml, and 1000-ml.
7.0 Reagents and StandardsNote:
Unless otherwise indicated, it is intended that all reagents conform to the specifications established by the Committee on Analytical Reagents of the American Chemical Society, where such specifications are available; otherwise, use the best available grade.
7.1 Sample Collection. The following reagents are needed for sample collection:
7.1.1 Filter. Gelman Spectro Grade, Reeve Angel 934 AH, MSA 1106 BH, all with lot assay for Pb, or other high-purity glass fiber filters, without organic binder, exhibiting at least 99.95 percent efficiency (<0.05 percent penetration) on 0.3 micron dioctyl phthalate smoke particles. Conduct the filter efficiency test using ASTM D 2986-71, 78, or 95a (incorporated by reference—see § 60.17) or use test data from the supplier's quality control program.
7.1.2 Silica Gel and Crushed Ice. Same as Method 5, sections 7.1.2 and 7.1.4, respectively.
7.1.3 Water. Deionized distilled, to conform to ASTM D 1193-77 or 91, Type 3 (incorporated by reference—see § 60.17). If high concentrations of organic matter are not expected to be present, the potassium permanganate test for oxidizable organic matter may be omitted.
7.1.4 Nitric Acid, 0.1 N. Dilute 6.5 ml of concentrated HNO3 to 1 liter with water. (It may be desirable to run blanks before field use to eliminate a high blank on test samples.)
7.2 Sample Recovery. 0.1 N HNO3 (Same as in section 7.1.4 above).
7.3 Sample Analysis. The following reagents and standards are needed for sample analysis:
7.3.1 Water. Same as in section 7.1.3.
7.3.2 Nitric Acid, Concentrated.
7.3.3 Nitric Acid, 50 Percent (v/v). Dilute 500 ml of concentrated HNO3 to 1 liter with water.
7.3.4 Stock Lead Standard Solution, 1000 µg Pb/ml. Dissolve 0.1598 g of lead nitrate [Pb(NO3)2] in about 60 ml water, add 2 ml concentrated HNO3, and dilute to 100 ml with water.
7.3.5 Working Lead Standards. Pipet 0.0, 1.0, 2.0, 3.0, 4.0, and 5.0 ml of the stock lead standard solution (Section 7.3.4) into 250-ml volumetric flasks. Add 5 ml of concentrated HNO3 to each flask, and dilute to volume with water. These working standards contain 0.0, 4.0, 8.0, 12.0, 16.0, and 20.0 µg Pb/ml, respectively. Prepare, as needed, additional standards at other concentrations in a similar manner.
7.3.6 Air. Suitable quality for atomic absorption spectrophotometry.
7.3.7 Acetylene. Suitable quality for atomic absorption spectrophotometry.
7.3.8 Hydrogen Peroxide, 3 Percent (v/v). Dilute 10 ml of 30 percent H2O2 to 100 ml with water.
8.0 Sample Collection, Preservation, Storage, and Transport8.1 Pretest Preparation. Follow the same general procedure given in Method 5, section 8.1, except that the filter need not be weighed.
8.2 Preliminary Determinations. Follow the same general procedure given in Method 5, section 8.2.
8.3 Preparation of Sampling Train. Follow the same general procedure given in Method 5, section 8.3, except place 100 ml of 0.1 N HNO3 (instead of water) in each of the first two impingers. As in Method 5, leave the third impinger empty and transfer approximately 200 to 300 g of preweighed silica gel from its container to the fourth impinger. Set up the train as shown in Figure 12-1.
8.4 Leak-Check Procedures. Same as Method 5, section 8.4.
8.5 Sampling Train Operation. Same as Method 5, section 8.5.
8.6 Calculation of Percent Isokinetic. Same as Method 5, section 8.6.
8.7 Sample Recovery. Same as Method 5, sections 8.7.1 through 8.7.6.1, with the addition of the following:
8.7.1 Container No. 2 (Probe).
8.7.1.1 Taking care that dust on the outside of the probe or other exterior surfaces does not get into the sample, quantitatively recover sample matter and any condensate from the probe nozzle, probe fitting, probe liner, and front half of the filter holder by washing these components with 0.1 N HNO3 and placing the wash into a glass sample storage container. Measure and record (to the nearest 2 ml) the total amount of 0.1 N HNO3 used for these rinses. Perform the 0.1 N HNO3 rinses as follows:
8.7.1.2 Carefully remove the probe nozzle, and rinse the inside surfaces with 0.1 N HNO3 from a wash bottle while brushing with a stainless steel, Nylon-bristle brush. Brush until the 0.1 N HNO3 rinse shows no visible particles, then make a final rinse of the inside surface with 0.1 N HNO3.
8.7.1.3 Brush and rinse with 0.1 N HNO3 the inside parts of the Swagelok fitting in a similar way until no visible particles remain.
8.7.1.4 Rinse the probe liner with 0.1 N HNO3. While rotating the probe so that all inside surfaces will be rinsed with 0.1 N HNO3, tilt the probe, and squirt 0.1 N HNO3 into its upper end. Let the 0.1 N HNO3 drain from the lower end into the sample container. A glass funnel may be used to aid in transferring liquid washes to the container. Follow the rinse with a probe brush. Hold the probe in an inclined position, squirt 0.1 N HNO3 into the upper end of the probe as the probe brush is being pushed with a twisting action through the probe; hold the sample container underneath the lower end of the probe, and catch any 0.1 N HNO3 and sample matter that is brushed from the probe. Run the brush through the probe three times or more until no visible sample matter is carried out with the 0.1 N HNO3 and none remains on the probe liner on visual inspection. With stainless steel or other metal probes, run the brush through in the above prescribed manner at least six times, since metal probes have small crevices in which sample matter can be entrapped. Rinse the brush with 0.1 N HNO3, and quantitatively collect these washings in the sample container. After the brushing, make a final rinse of the probe as described above.
8.7.1.5 It is recommended that two people clean the probe to minimize loss of sample. Between sampling runs, keep brushes clean and protected from contamination.
8.7.1.6 Brush and rinse with 0.1 N HNO3 the inside of the front half of the filter holder. Brush and rinse each surface three times or more, if needed, to remove visible sample matter. Make a final rinse of the brush and filter holder. After all 0.1 N HNO3 washings and sample matter are collected in the sample container, tighten the lid on the sample container so that the fluid will not leak out when it is shipped to the laboratory. Mark the height of the fluid level to determine whether leakage occurs during transport. Label the container to identify its contents clearly.
8.7.2 Container No. 3 (Silica Gel). Note the color of the indicating silica gel to determine if it has been completely spent, and make a notation of its condition. Transfer the silica gel from the fourth impinger to the original container, and seal. A funnel may be used to pour the silica gel from the impinger and a rubber policeman may be used to remove the silica gel from the impinger. It is not necessary to remove the small amount of particles that may adhere to the walls and are difficult to remove. Since the gain in weight is to be used for moisture calculations, do not use any water or other liquids to transfer the silica gel. If a balance is available in the field, follow the procedure for Container No. 3 in section 11.4.2.
8.7.3 Container No. 4 (Impingers). Due to the large quantity of liquid involved, the impinger solutions may be placed in several containers. Clean each of the first three impingers and connecting glassware in the following manner:
8.7.3.1 Cap the impinger ball joints.
8.7.3.2 Rotate and agitate each impinger, so that the impinger contents might serve as a rinse solution.
8.7.3.3 Treat the impingers as follows: Make a notation of any color or film in the liquid catch. Measure the liquid that is in the first three impingers by weighing it to within 0.5 g at a minimum by using a balance. Record the weight of liquid present. The liquid weight is needed, along with the silica gel data, to calculate the stack gas moisture content (see Method 5, Figure 5-6).
8.7.3.4 Transfer the contents to Container No. 4.
Note:
In sections 8.7.3.5 and 8.7.3.6, measure and record the total amount of 0.1 N HNO3 used for rinsing.
8.7.3.5 Pour approximately 30 ml of 0.1 N HNO3 into each of the first three impingers and agitate the impingers. Drain the 0.1 N HNO3 through the outlet arm of each impinger into Container No. 4. Repeat this operation a second time; inspect the impingers for any abnormal conditions.
8.7.3.6 Rinse the insides of each piece of connecting glassware for the impingers twice with 0.1 N HNO3; transfer this rinse into Container No. 4. Do not rinse or brush the glass-fritted filter support. Mark the height of the fluid level to determine whether leakage occurs during transport. Label the container to identify its contents clearly.
8.8 Blanks.
8.8.1 Nitric Acid. Save 200 ml of the 0.1 N HNO3 used for sampling and cleanup as a blank. Take the solution directly from the bottle being used and place into a glass sample container labeled “0.1 N HNO3 blank.”
8.8.2 Filter. Save two filters from each lot of filters used in sampling. Place these filters in a container labeled “filter blank.”
9.0 Quality Control9.1 Miscellaneous Quality Control Measures.
| Section | Quality control measure | Effect |
|---|---|---|
| 8.4, 10.1 | Sampling equipment leak-checks and calibration | Ensure accuracy and precision of sampling measurements. |
| 10.2 | Spectrophotometer calibration | Ensure linearity of spectrophotometer response to standards. |
| 11.5 | Check for matrix effects | Eliminate matrix effects. |
9.2 Volume Metering System Checks. Same as Method 5, section 9.2.
10.0 Calibration and StandardizationsNote:
Maintain a laboratory log of all calibrations.
10.1 Sampling Equipment. Same as Method 5, section 10.0.
10.2 Spectrophotometer.
10.2.1 Measure the absorbance of the standard solutions using the instrument settings recommended by the spectrophotometer manufacturer. Repeat until good agreement (±3 percent) is obtained between two consecutive readings. Plot the absorbance (y-axis) versus concentration in µg Pb/ml (x-axis). Draw or compute a straight line through the linear portion of the curve. Do not force the calibration curve through zero, but if the curve does not pass through the origin or at least lie closer to the origin than ±0.003 absorbance units, check for incorrectly prepared standards and for curvature in the calibration curve.
10.2.2 To determine stability of the calibration curve, run a blank and a standard after every five samples, and recalibrate as necessary.
11.0 Analytical Procedures11.1 Sample Loss Check. Prior to analysis, check the liquid level in Containers Number 2 and Number 4. Note on the analytical data sheet whether leakage occurred during transport. If a noticeable amount of leakage occurred, either void the sample or take steps, subject to the approval of the Administrator, to adjust the final results.
11.2 Sample Preparation.
11.2.1 Container No. 1 (Filter). Cut the filter into strips and transfer the strips and all loose particulate matter into a 125-ml Erlenmeyer flask. Rinse the petri dish with 10 ml of 50 percent HNO3 to ensure a quantitative transfer, and add to the flask.
Note:
If the total volume required in section 11.2.3 is expected to exceed 80 ml, use a 250-ml flask in place of the 125-ml flask.
11.2.2 Containers No. 2 and No. 4 (Probe and Impingers). Combine the contents of Containers No. 2 and No. 4, and evaporate to dryness on a hot plate.
11.2.3 Sample Extraction for Lead.
11.2.3.1 Based on the approximate stack gas particulate concentration and the total volume of stack gas sampled, estimate the total weight of particulate sample collected. Next, transfer the residue from Containers No. 2 and No. 4 to the 125-ml Erlenmeyer flask that contains the sampling filter using a rubber policeman and 10 ml of 50 percent HNO3 for every 100 mg of sample collected in the train or a minimum of 30 ml of 50 percent HNO3, whichever is larger.
11.2.3.2 Place the Erlenmeyer flask on a hot plate, and heat with periodic stirring for 30 minutes at a temperature just below boiling. If the sample volume falls below 15 ml, add more 50 percent HNO3. Add 10 ml of 3 percent H2O2, and continue heating for 10 minutes. Add 50 ml of hot (80 °C, 176 °F) water, and heat for 20 minutes. Remove the flask from the hot plate, and allow to cool. Filter the sample through a Millipore membrane filter, or equivalent, and transfer the filtrate to a 250-ml volumetric flask. Dilute to volume with water.
11.2.4 Filter Blank. Cut each filter into strips, and place each filter in a separate 125-ml Erlenmeyer flask. Add 15 ml of 50 percent HNO3, and treat as described in section 11.2.3 using 10 ml of 3 percent H2O2 and 50 ml of hot water. Filter and dilute to a total volume of 100 ml using water.
11.2.5 Nitric Acid Blank, 0.1 N. Take the entire 200 ml of 0.1 N HNO3 to dryness on a steam bath, add 15 ml of 50 percent HNO3, and treat as described in section 11.2.3 using 10 ml of 3 percent H202 and 50 ml of hot water. Dilute to a total volume of 100 ml using water.
11.3 Spectrophotometer Preparation. Turn on the power; set the wavelength, slit width, and lamp current; and adjust the background corrector as instructed by the manufacturer's manual for the particular atomic absorption spectrophotometer. Adjust the burner and flame characteristics as necessary.
11.4 Analysis.
11.4.1 Lead Determination. Calibrate the spectrophotometer as outlined in section 10.2, and determine the absorbance for each source sample, the filter blank, and 0.1 N HNO3 blank. Analyze each sample three times in this manner. Make appropriate dilutions, as needed, to bring all sample Pb concentrations into the linear absorbance range of the spectrophotometer. Because instruments vary between manufacturers, no detailed operating instructions will be given here. Instead, the instructions provided with the particular instrument should be followed. If the Pb concentration of a sample is at the low end of the calibration curve and high accuracy is required, the sample can be taken to dryness on a hot plate and the residue dissolved in the appropriate volume of water to bring it into the optimum range of the calibration curve.
11.4.2 Container No. 3 (Silica Gel). This step may be conducted in the field. Weigh the spent silica gel (or silica gel plus impinger) to the nearest 0.5 g; record this weight.
11.5 Check for Matrix Effects. Use the Method of Standard Additions as follows to check at least one sample from each source for matrix effects on the Pb results:
11.5.1 Add or spike an equal volume of standard solution to an aliquot of the sample solution.
11.5.2 Measure the absorbance of the resulting solution and the absorbance of an aliquot of unspiked sample.
11.5.3 Calculate the Pb concentration Cm in µg/ml of the sample solution using Equation 12-1 in section 12.5.
Volume corrections will not be required if the solutions as analyzed have been made to the same final volume. Therefore, Cm and Ca represent Pb concentration before dilutions.
Method of Standard Additions procedures described on pages 9-4 and 9-5 of the section entitled “General Information” of the Perkin Elmer Corporation Atomic Absorption Spectrophotometry Manual, Number 303-0152 (Reference 1 in section 17.0) may also be used. In any event, if the results of the Method of Standard Additions procedure used on the single source sample do not agree to within ±5 percent of the value obtained by the routine atomic absorption analysis, then reanalyze all samples from the source using the Method of Standard Additions procedure.
12.0 Data Analysis and Calculations12.1 Nomenclature.
Am = Absorbance of the sample solution.
An = Cross-sectional area of nozzle, m 2 (ft 2).
At = Absorbance of the spiked sample solution.
Bws = Water in the gas stream, proportion by volume.
Ca = Lead concentration in standard solution, µg/ml.
Cm = Lead concentration in sample solution analyzed during check for matrix effects, µg/ml.
Cs = Lead concentration in stack gas, dry basis, converted to standard conditions, mg/dscm (gr/dscf).
I = Percent of isokinetic sampling.
L1 = Individual leakage rate observed during the leak-check conducted prior to the first component change, m 3/min (ft 3/min).
La = Maximum acceptable leakage rate for either a pretest leak-check or for a leak-check following a component change; equal to 0.00057 m 3/min (0.020 cfm) or 4 percent of the average sampling rate, whichever is less.
Li = Individual leakage rate observed during the leak-check conducted prior to the “ith” component change (i = 1, 2, 3 * * * n), m 3/min (cfm).
Lp = Leakage rate observed during the post-test leak-check, m 3/min (cfm).
mt = Total weight of lead collected in the sample, µg.
Mw = Molecular weight of water, 18.0 g/g-mole (18.0 lb/lb-mole).
Pbar = Barometric pressure at the sampling site, mm Hg (in. Hg).
Ps = Absolute stack gas pressure, mm Hg (in. Hg).
Pstd = Standard absolute pressure, 760 mm Hg (29.92 in. Hg).
R = Ideal gas constant, 0.06236 [(mm Hg) (m 3)]/[(°K) (g-mole)] {21.85 [(in. Hg) (ft 3)]/[(°R) (lb-mole)]}.
Tm = Absolute average dry gas meter temperature (see Figure 5-3 of Method 5), °K (°R).
Tstd = Standard absolute temperature, 293 °K (528 °R).
vs = Stack gas velocity, m/sec (ft/sec).
Vm = Volume of gas sample as measured by the dry gas meter, dry basis, m 3 (ft 3).
Vm(std) = Volume of gas sample as measured by the dry gas meter, corrected to standard conditions, m 3 (ft 3).
Vw(std) = Volume of water vapor collected in the sampling train, corrected to standard conditions, m 3 (ft 3).
Y = Dry gas meter calibration factor.
ΔH = Average pressure differential across the orifice meter (see Figure 5-3 of Method 5), mm H2O (in. H2O).
θ = Total sampling time, min.
θl = Sampling time interval, from the beginning of a run until the first component change, min.
θi = Sampling time interval, between two successive component changes, beginning with the interval between the first and second changes, min.
θp = Sampling time interval, from the final (nth) component change until the end of the sampling run, min.
12.2 Average Dry Gas Meter Temperatures (Tm) and Average Orifice Pressure Drop (ΔH). See data sheet (Figure 5-3 of Method 5).
12.3 Dry Gas Volume, Volume of Water Vapor Condensed, and Moisture Content. Using data obtained in this test, calculate Vm(std), Vw(std), and Bws according to the procedures outlined in Method 5, sections 12.3 through 12.5.
12.4 Total Lead in Source Sample. For each source sample, correct the average absorbance for the contribution of the filter blank and the 0.1 N HNO3 blank. Use the calibration curve and this corrected absorbance to determine the Pb concentration in the sample aspirated into the spectrophotometer. Calculate the total Pb content mt (in µg) in the original source sample; correct for all the dilutions that were made to bring the Pb concentration of the sample into the linear range of the spectrophotometer.
12.5 Sample Lead Concentration. Calculate the Pb concentration of the sample using the following equation:

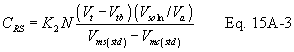
12.6 Lead Concentration. Calculate the stack gas Pb concentration Cs using Equation 12-2:
Where:
K3 = 0.001 mg/µg for metric units.
= 1.54 × 10−5 gr/µg for English units
12.7 Stack Gas Velocity and Volumetric Flow Rate. Calculate the average stack gas velocity and volumetric flow rate using data obtained in this method and the equations in sections 12.2 and 12.3 of Method 2.
12.8 Isokinetic Variation. Same as Method 5, section 12.11.
13.0 Method Performance13.1 Precision. The within-laboratory precision, as measured by the coefficient of variation, ranges from 0.2 to 9.5 percent relative to a run-mean concentration. These values were based on tests conducted at a gray iron foundry, a lead storage battery manufacturing plant, a secondary lead smelter, and a lead recovery furnace of an alkyl lead manufacturing plant. The concentrations encountered during these tests ranged from 0.61 to 123.3 mg Pb/m 3.
13.2 Analytical Range. For a minimum analytical accuracy of ±10 percent, the lower limit of the range is 100 µg. The upper limit can be extended considerably by dilution.
13.3 Analytical Sensitivity. Typical sensitivities for a 1-percent change in absorption (0.0044 absorbance units) are 0.2 and 0.5 µg Pb/ml for the 217.0 and 283.3 nm lines, respectively.
14.0 Pollution Prevention [Reserved]15.0 Waste Management [Reserved]16.0 Alternative Procedures16.1 Simultaneous Determination of Particulate Matter and Lead Emissions. Method 12 may be used to simultaneously determine Pb and particulate matter provided:
(1) A glass fiber filter with a low Pb background is used and this filter is checked, desiccated and weighed per section 8.1 of Method 5,
(2) An acetone rinse, as specified by Method 5, sections 7.2 and 8.7.6.2, is used to remove particulate matter from the probe and inside of the filter holder prior to and kept separate from the 0.1 N HNO3 rinse of the same components,
(3) The recovered filter, the acetone rinse, and an acetone blank (Method 5, section 7.2) are subjected to the gravimetric analysis of Method 5, sections 6.3 and 11.0 prior to the analysis for Pb as described below, and
(4) The entire train contents, including the 0.1 N HNO3 impingers, filter, acetone and 0.1 N HNO3 probe rinses are treated and analyzed for Pb as described in sections 8.0 and 11.0 of this method.
16.2 Filter Location. A filter may be used between the third and fourth impingers provided the filter is included in the analysis for Pb.
16.3 In-Stack Filter. An in-stack filter may be used provided: (1) A glass-lined probe and at least two impingers, each containing 100 ml of 0.1 N HNO3 after the in-stack filter, are used and (2) the probe and impinger contents are recovered and analyzed for Pb. Recover sample from the nozzle with acetone if a particulate analysis is to be made as described in section 16.1 of this method.
16.4 Inductively Coupled Plasma-Atomic Emission Spectrometry (ICP-AES) Analysis. ICP-AES may be used as an alternative to atomic absorption analysis provided the following conditions are met:
16.4.1 Sample collection/recovery, sample loss check, and sample preparation procedures are as defined in sections 8.0, 11.1, and 11.2, respectively, of this method.
16.4.2 Analysis shall be conducted following Method 6010D of SW-846 (incorporated by reference, see § 60.17). The limit of detection for the ICP-AES must be demonstrated according to section 15.0 of Method 301 in appendix A of part 63 of this chapter and must be no greater than one-third of the applicable emission limit. Perform a check for matrix effects according to section 11.5 of this method.
16.5 Inductively Coupled Plasma-Mass Spectrometry (ICP-MS) Analysis. ICP-MS may be used as an alternative to atomic absorption analysis provided the following conditions are met:
16.5.1 Sample collection/recovery, sample loss check, and sample preparation procedures are as defined in sections 8.0, 11.1, and 11.2, respectively of this method.
16.5.2 Analysis shall be conducted following Method 6020B of SW-846 (incorporated by reference, see § 60.17). The limit of detection for the ICP-MS must be demonstrated according to section 15.0 of Method 301 in appendix A to part 63 of this chapter and must be no greater than one-third of the applicable emission limit. Use the multipoint calibration curve option in section 10.4 of Method 6020B and perform a check for matrix effects according to section 11.5 of this method.
17.0 ReferencesSame as Method 5, section 17.0, References 2, 3, 4, 5, and 7, with the addition of the following:
1. Perkin Elmer Corporation. Analytical Methods for Atomic Absorption Spectrophotometry. Norwalk, Connecticut. September 1976.
2. American Society for Testing and Materials. Annual Book of ASTM Standards, Part 31: Water, Atmospheric Analysis. Philadelphia, PA 1974. p. 40-42.
3. Kelin, R., and C. Hach. Standard Additions—Uses and Limitations in Spectrophotometric Analysis. Amer. Lab. 9:21-27. 1977.
4. Mitchell, W.J., and M.R. Midgett. Determining Inorganic and Alkyl Lead Emissions from Stationary Sources. U.S. Environmental Protection Agency. Emission Monitoring and Support Laboratory. Research Triangle Park, NC. (Presented at National APCA Meeting, Houston. June 26, 1978).
18.0 Tables, Diagrams, Flowcharts, and Validation Data
Method 13A—Determination of Total Fluoride Emissions From Stationary Sources (Spadns Zirconium Lake Method)
Note:
This method does not include all of the specifications (e.g., equipment and supplies) and procedures (e.g., sampling and analytical) essential to its performance. Some material is incorporated by reference from other methods in this part. Therefore, to obtain reliable results, persons using this method should have a thorough knowledge of at least the following additional test methods: Method 1, Method 2, Method 3, and Method 5.
1.1 Analytes.
| Analyte | CAS No. | Sensitivity |
|---|---|---|
| Total fluorides as Fluorine | 7782-41-4 | Not determined. |
1.2 Applicability. This method is applicable for the determination of fluoride (F−) emissions from sources as specified in the regulations. It does not measure fluorocarbons, such as Freons.
1.3 Data Quality Objectives. Adherence to the requirements of this method will enhance the quality of the data obtained from air pollutant sampling methods.
2.0 SummaryGaseous and particulate F− are withdrawn isokinetically from the source and collected in water and on a filter. The total F− is then determined by the SPADNS Zirconium Lake Colorimetric method.
3.0 Definitions [Reserved]4.0 Interferences4.1 Chloride. Large quantities of chloride will interfere with the analysis, but this interference can be prevented by adding silver sulfate into the distillation flask (see section 11.3). If chloride ion is present, it may be easier to use the specific ion electrode method of analysis (Method 13B).
4.2 Grease. Grease on sample-exposed surfaces may cause low F− results due to adsorption.
5.0 Safety5.1 Disclaimer. This method may involve hazardous materials, operations, and equipment. This test method may not address all of the safety problems associated with its use. It is the responsibility of the user of this test method to establish appropriate safety and health practices and to determine the applicability of regulatory limitations prior to performing this test method.
5.2 Corrosive Reagents. The following reagents are hazardous. Personal protective equipment and safe procedures are useful in preventing chemical splashes. If contact occurs, immediately flush with copious amounts of water at least 15 minutes. Remove clothing under shower and decontaminate. Treat residual chemical burn as thermal burn.
5.2.1 Hydrochloric Acid (HCl). Highly toxic. Vapors are highly irritating to eyes, skin, nose, and lungs, causing severe damage. May cause bronchitis, pneumonia, or edema of lungs. Exposure to concentrations of 0.13 to 0.2 percent can be lethal in minutes. Will react with metals, producing hydrogen.
5.2.2 Sodium Hydroxide (NaOH). Causes severe damage to eye tissues and to skin. Inhalation causes irritation to nose, throat, and lungs. Reacts exothermically with limited amounts of water.
5.2.3 Sulfuric Acid (H2SO4). Rapidly destructive to body tissue. Will cause third degree burns. Eye damage may result in blindness. Inhalation may be fatal from spasm of the larynx, usually within 30 minutes. May cause lung tissue damage with edema. 1 mg/m 3 for 8 hours will cause lung damage or, in higher concentrations, death. Provide ventilation to limit inhalation. Reacts violently with metals and organics.
6.0 Equipment and Supplies6.1 Sample Collection. A schematic of the sampling train used in performing this method is shown in Figure 13A-1; it is similar to the Method 5 sampling train except that the filter position is interchangeable. The sampling train consists of the following components:
6.1.1 Probe Nozzle, Pitot Tube, Differential Pressure Gauge, Filter Heating System, Temperature Sensor, Metering System, Barometer, and Gas Density Determination Equipment. Same as Method 5, sections 6.1.1.1, 6.1.1.3 through 6.1.1.7, 6.1.1.9, 6.1.2, and 6.1.3, respectively. The filter heating system and temperature sensor are needed only when moisture condensation is a problem.
6.1.2 Probe Liner. Borosilicate glass or 316 stainless steel. When the filter is located immediately after the probe, a probe heating system may be used to prevent filter plugging resulting from moisture condensation, but the temperature in the probe shall not be allowed to exceed 120 ±14 °C (248 ±25 °F).
6.1.3 Filter Holder. With positive seal against leakage from the outside or around the filter. If the filter is located between the probe and first impinger, use borosilicate glass or stainless steel with a 20-mesh stainless steel screen filter support and a silicone rubber gasket; do not use a glass frit or a sintered metal filter support. If the filter is located between the third and fourth impingers, borosilicate glass with a glass frit filter support and a silicone rubber gasket may be used. Other materials of construction may be used, subject to the approval of the Administrator.
6.1.4 Impingers. Four impingers connected as shown in Figure 13A-1 with ground-glass (or equivalent), vacuum-tight fittings. For the first, third, and fourth impingers, use the Greenburg-Smith design, modified by replacing the tip with a 1.3-cm ( 1/2 in.) ID glass tube extending to 1.3 cm ( 1/2 in.) from the bottom of the flask. For the second impinger, use a Greenburg-Smith impinger with the standard tip. Modifications (e.g., flexible connections between the impingers or materials other than glass) may be used, subject to the approval of the Administrator. Place a temperature sensor, capable of measuring temperature to within 1 °C (2 °F), at the outlet of the fourth impinger for monitoring purposes.
6.2 Sample Recovery. The following items are needed for sample recovery:
6.2.1 Probe-liner and Probe-Nozzle Brushes, Wash Bottles, Graduated Cylinder and/or Balance, Plastic Storage Containers, Funnel and Rubber Policeman, and Funnel. Same as Method 5, sections 6.2.1, 6.2.2 and 6.2.5 to 6.2.8, respectively.
6.2.2 Sample Storage Container. Wide-mouth, high-density polyethylene bottles for impinger water samples, 1 liter.
6.3 Sample Preparation and Analysis. The following items are needed for sample preparation and analysis:
6.3.1 Distillation Apparatus. Glass distillation apparatus assembled as shown in Figure 13A-2.
6.3.2 Bunsen Burner.
6.3.3 Electric Muffle Furnace. Capable of heating to 600 °C (1100 °F).
6.3.4 Crucibles. Nickel, 75- to 100-ml.
6.3.5 Beakers. 500-ml and 1500-ml.
6.3.6 Volumetric Flasks. 50-ml.
6.3.7 Erlenmeyer Flasks or Plastic Bottles. 500-ml.
6.3.8 Constant Temperature Bath. Capable of maintaining a constant temperature of ±1.0 °C at room temperature conditions.
6.3.9 Balance. 300-g capacity, to measure to ±0.5 g.
6.3.10 Spectrophotometer. Instrument that measures absorbance at 570 nm and provides at least a 1-cm light path.
6.3.11 Spectrophotometer Cells. 1-cm path length.
7.0 Reagents and StandardsUnless otherwise indicated, all reagents are to conform to the specifications established by the Committee on Analytical Reagents of the American Chemical Society, where such specifications are available. Otherwise, use the best available grade.
7.1 Sample Collection. The following reagents are needed for sample collection:
7.1.1 Filters.
7.1.1.1 If the filter is located between the third and fourth impingers, use a Whatman No. 1 filter, or equivalent, sized to fit the filter holder.
7.1.1.2 If the filter is located between the probe and first impinger, use any suitable medium (e.g., paper, organic membrane) that can withstand prolonged exposure to temperatures up to 135 °C (275 °F), and has at least 95 percent collection efficiency (<5 percent penetration) for 0.3 µm dioctyl phthalate smoke particles. Conduct the filter efficiency test before the test series, using ASTM D 2986-71, 78, or 95a (incorporated by reference—see § 60.17), or use test data from the supplier's quality control program. The filter must also have a low F− blank value (<0.015 mg F−/cm 2 of filter area). Before the test series, determine the average F− blank value of at least three filters (from the lot to be used for sampling) using the applicable procedures described in sections 8.3 and 8.4 of this method. In general, glass fiber filters have high and/or variable F− blank values, and will not be acceptable for use.
7.1.2 Water. Deionized distilled, to conform to ASTM D 1193-77 or 91, Type 3 (incorporated by reference—see § 60.17). If high concentrations of organic matter are not expected to be present, the potassium permanganate test for oxidizable organic matter may be deleted.
7.1.3 Silica Gel, Crushed Ice, and Stopcock Grease. Same as Method 5, sections 7.1.2, 7.1.4, and 7.1.5, respectively.
7.2 Sample Recovery. Water, as described in section 7.1.2, is needed for sample recovery.
7.3 Sample Preparation and Analysis. The following reagents and standards are needed for sample preparation and analysis:
7.3.1 Calcium Oxide (CaO). Certified grade containing 0.005 percent F− or less.
7.3.2 Phenolphthalein Indicator. Dissolve 0.1 g of phenolphthalein in a mixture of 50 ml of 90 percent ethanol and 50 ml of water.
7.3.3 Silver Sulfate (Ag2SO4).
7.3.4 Sodium Hydroxide (NaOH), Pellets.
7.3.5 Sulfuric Acid (H2SO4), Concentrated.
7.3.6 Sulfuric Acid, 25 Percent (v/v). Mix 1 part of concentrated H2SO4 with 3 parts of water.
7.3.7 Filters. Whatman No. 541, or equivalent.
7.3.8 Hydrochloric Acid (HCl), Concentrated.
7.3.9 Water. Same as in section 7.1.2.
7.3.10 Fluoride Standard Solution, 0.01 mg F−/ml. Dry approximately 0.5 g of sodium fluoride (NaF) in an oven at 110 °C (230 °F) for at least 2 hours. Dissolve 0.2210 g of NaF in 1 liter of water. Dilute 100 ml of this solution to 1 liter with water.
7.3.11 SPADNS Solution [4,5 Dihydroxyl-3-(p-Sulfophenylazo)-2,7-Naphthalene-Disulfonic Acid Trisodium Salt]. Dissolve 0.960 ±0.010 g of SPADNS reagent in 500 ml water. If stored in a well-sealed bottle protected from the sunlight, this solution is stable for at least 1 month.
7.3.12 Spectrophotometer Zero Reference Solution. Add 10 ml of SPADNS solution to 100 ml water, and acidify with a solution prepared by diluting 7 ml of concentrated HCl to 10 ml with deionized, distilled water. Prepare daily.
7.3.13 SPADNS Mixed Reagent. Dissolve 0.135 ±0.005 g of zirconyl chloride octahydrate (ZrOCl2 8H2O) in 25 ml of water. Add 350 ml of concentrated HCl, and dilute to 500 ml with deionized, distilled water. Mix equal volumes of this solution and SPADNS solution to form a single reagent. This reagent is stable for at least 2 months.
8.0 Sample Collection, Preservation, Storage, and Transport8.1 Pretest Preparation. Follow the general procedure given in Method 5, section 8.1, except that the filter need not be weighed.
8.2 Preliminary Determinations. Follow the general procedure given in Method 5, section 8.2, except that the nozzle size must be selected such that isokinetic sampling rates below 28 liters/min (1.0 cfm) can be maintained.
8.3 Preparation of Sampling Train. Follow the general procedure given in Method 5, section 8.3, except for the following variation: Assemble the train as shown in Figure 13A-1 with the filter between the third and fourth impingers. Alternatively, if a 20-mesh stainless steel screen is used for the filter support, the filter may be placed between the probe and first impinger. A filter heating system to prevent moisture condensation may be used, but shall not allow the temperature to exceed 120 ±14 °C (248 ±25 °F). Record the filter location on the data sheet (see section 8.5).
8.4 Leak-Check Procedures. Follow the leak-check procedures given in Method 5, section 8.4.
8.5 Sampling Train Operation. Follow the general procedure given in Method 5, section 8.5, keeping the filter and probe temperatures (if applicable) at 120 ±14 °C (248 ±25 °F) and isokinetic sampling rates below 28 liters/min (1.0 cfm). For each run, record the data required on a data sheet such as the one shown in Method 5, Figure 5-3.
8.6 Sample Recovery. Proper cleanup procedure begins as soon as the probe is removed from the stack at the end of the sampling period. Allow the probe to cool.
8.6.1 When the probe can be safely handled, wipe off all external particulate matter near the tip of the probe nozzle, and place a cap over it to keep from losing part of the sample. Do not cap off the probe tip tightly while the sampling train is cooling down as this would create a vacuum in the filter holder, thus drawing water from the impingers into the filter holder.
8.6.2 Before moving the sample train to the cleanup site, remove the probe from the sample train, wipe off any silicone grease, and cap the open outlet of the probe. Be careful not to lose any condensate that might be present. Remove the filter assembly, wipe off any silicone grease from the filter holder inlet, and cap this inlet. Remove the umbilical cord from the last impinger, and cap the impinger. After wiping off any silicone grease, cap off the filter holder outlet and any open impinger inlets and outlets. Ground-glass stoppers, plastic caps, or serum caps may be used to close these openings.
8.6.3 Transfer the probe and filter-impinger assembly to the cleanup area. This area should be clean and protected from the wind so that the chances of contaminating or losing the sample will be minimized.
8.6.4 Inspect the train prior to and during disassembly, and note any abnormal conditions. Treat the samples as follows:
8.6.4.1 Container No. 1 (Probe, Filter, and Impinger Catches).
8.6.4.1.1 Using a graduated cylinder, measure to the nearest ml, and record the volume of the water in the first three impingers; include any condensate in the probe in this determination. Transfer the impinger water from the graduated cylinder into a polyethylene container. Add the filter to this container. (The filter may be handled separately using procedures subject to the Administrator's approval.) Taking care that dust on the outside of the probe or other exterior surfaces does not get into the sample, clean all sample-exposed surfaces (including the probe nozzle, probe fitting, probe liner, first three impingers, impinger connectors, and filter holder) with water. Use less than 500 ml for the entire wash. Add the washings to the sample container. Perform the water rinses as follows:
8.6.4.1.2 Carefully remove the probe nozzle and rinse the inside surface with water from a wash bottle. Brush with a Nylon bristle brush, and rinse until the rinse shows no visible particles, after which make a final rinse of the inside surface. Brush and rinse the inside parts of the Swagelok fitting with water in a similar way.
8.6.4.1.3 Rinse the probe liner with water. While squirting the water into the upper end of the probe, tilt and rotate the probe so that all inside surfaces will be wetted with water. Let the water drain from the lower end into the sample container. A funnel (glass or polyethylene) may be used to aid in transferring the liquid washes to the container. Follow the rinse with a probe brush. Hold the probe in an inclined position, and squirt water into the upper end as the probe brush is being pushed with a twisting action through the probe. Hold the sample container underneath the lower end of the probe, and catch any water and particulate matter that is brushed from the probe. Run the brush through the probe three times or more. With stainless steel or other metal probes, run the brush through in the above prescribed manner at least six times since metal probes have small crevices in which particulate matter can be entrapped. Rinse the brush with water, and quantitatively collect these washings in the sample container. After the brushing, make a final rinse of the probe as described above.
8.6.4.1.4 It is recommended that two people clean the probe to minimize sample losses. Between sampling runs, keep brushes clean and protected from contamination.
8.6.4.1.5 Rinse the inside surface of each of the first three impingers (and connecting glassware) three separate times. Use a small portion of water for each rinse, and brush each sample-exposed surface with a Nylon bristle brush, to ensure recovery of fine particulate matter. Make a final rinse of each surface and of the brush.
8.6.4.1.6 After ensuring that all joints have been wiped clean of the silicone grease, brush and rinse with water the inside of the filter holder (front-half only, if filter is positioned between the third and fourth impingers). Brush and rinse each surface three times or more if needed. Make a final rinse of the brush and filter holder.
8.6.4.1.7 After all water washings and particulate matter have been collected in the sample container, tighten the lid so that water will not leak out when it is shipped to the laboratory. Mark the height of the fluid level to transport. Label the container clearly to identify its contents.
8.6.4.2 Container No. 2 (Sample Blank). Prepare a blank by placing an unused filter in a polyethylene container and adding a volume of water equal to the total volume in Container No. 1. Process the blank in the same manner as for Container No. 1.
8.6.4.3 Container No. 3 (Silica Gel). Note the color of the indicating silica gel to determine whether it has been completely spent, and make a notation of its condition. Transfer the silica gel from the fourth impinger to its original container, and seal. A funnel may be used to pour the silica gel and a rubber policeman to remove the silica gel from the impinger. It is not necessary to remove the small amount of dust particles that may adhere to the impinger wall and are difficult to remove. Since the gain in weight is to be used for moisture calculations, do not use any water or other liquids to transfer the silica gel. If a balance is available in the field, follow the analytical procedure for Container No. 3 in section 11.4.2.
9.0 Quality Control9.1 Miscellaneous Quality Control Measures.
| Section | Quality control measure | Effect |
|---|---|---|
| 8.4, 10.1 | Sampling equipment leak-check and calibration | Ensure accurate measurement of stack gas flow rate and sample volume. |
| 10.2 | Spectrophotometer calibration | Evaluate analytical technique, preparation of standards. |
| 11.3.3 | Interference/recovery efficiency check during distillation | Minimize negative effects of used acid. |
9.2 Volume Metering System Checks. Same as Method 5, section 9.2.
10.0 Calibration and StandardizationNote:
Maintain a laboratory log of all calibrations.
10.1 Sampling Equipment. Calibrate the probe nozzle, pitot tube, metering system, probe heater, temperature sensors, and barometer according to the procedures outlined in Method 5, sections 10.1 through 10.6. Conduct the leak-check of the metering system according to the procedures outlined in Method 5, section 8.4.1.
10.2 Spectrophotometer.
10.2.1 Prepare the blank standard by adding 10 ml of SPADNS mixed reagent to 50 ml of water.
10.2.2 Accurately prepare a series of standards from the 0.01 mg F−/ml standard fluoride solution (Section 7.3.10) by diluting 0, 2, 4, 6, 8, 10, 12, and 14 ml to 100 ml with deionized, distilled water. Pipet 50 ml from each solution, and transfer each to a separate 100-ml beaker. Then add 10 ml of SPADNS mixed reagent (Section 7.3.13) to each. These standards will contain 0, 10, 20, 30, 40, 50, 60, and 70 µg F−(0 to 1.4 µg/ml), respectively.
10.2.3 After mixing, place the blank and calibration standards in a constant temperature bath for 30 minutes before reading the absorbance with the spectrophotometer. Adjust all samples to this same temperature before analyzing.
10.2.4 With the spectrophotometer at 570 nm, use the blank standard to set the absorbance to zero. Determine the absorbance of the standards.
10.2.5 Prepare a calibration curve by plotting µg F−/50 ml versus absorbance on linear graph paper. Prepare the standard curve initially and thereafter whenever the SPADNS mixed reagent is newly made. Also, run a calibration standard with each set of samples and, if it differs from the calibration curve by more than ±2 percent, prepare a new standard curve.
11.0 Analytical Procedures11.1 Sample Loss Check. Note the liquid levels in Containers No. 1 and No. 2, determine whether leakage occurred during transport, and note this finding on the analytical data sheet. If noticeable leakage has occurred, either void the sample or use methods, subject to the approval of the Administrator, to correct the final results.
11.2 Sample Preparation. Treat the contents of each sample container as described below:
11.2.1 Container No. 1 (Probe, Filter, and Impinger Catches). Filter this container's contents, including the sampling filter, through Whatman No. 541 filter paper, or equivalent, into a 1500-ml beaker.
11.2.1.1 If the filtrate volume exceeds 900 ml, make the filtrate basic (red to phenolphthalein) with NaOH, and evaporate to less than 900 ml.
11.2.1.2 Place the filtered material (including sampling filter) in a nickel crucible, add a few ml of water, and macerate the filters with a glass rod.
11.2.1.2.1 Add 100 mg CaO to the crucible, and mix the contents thoroughly to form a slurry. Add two drops of phenolphthalein indicator. Place the crucible in a hood under infrared lamps or on a hot plate at low heat. Evaporate the water completely. During the evaporation of the water, keep the slurry basic (red to phenolphthalein) to avoid loss of F−. If the indicator turns colorless (acidic) during the evaporation, add CaO until the color turns red again.
11.2.1.2.2 After evaporation of the water, place the crucible on a hot plate under a hood, and slowly increase the temperature until the Whatman No. 541 and sampling filters char. It may take several hours to char the filters completely.
11.2.1.2.3 Place the crucible in a cold muffle furnace. Gradually (to prevent smoking) increase the temperature to 600 °C (1100 °F), and maintain this temperature until the contents are reduced to an ash. Remove the crucible from the furnace, and allow to cool.
11.2.1.2.4 Add approximately 4 g of crushed NaOH to the crucible, and mix. Return the crucible to the muffle furnace, and fuse the sample for 10 minutes at 600 °C.
11.2.1.2.5 Remove the sample from the furnace, and cool to ambient temperature. Using several rinsings of warm water, transfer the contents of the crucible to the beaker containing the filtrate. To ensure complete sample removal, rinse finally with two 20-ml portions of 25 percent H2SO4, and carefully add to the beaker. Mix well, and transfer to a 1-liter volumetric flask. Dilute to volume with water, and mix thoroughly. Allow any undissolved solids to settle.
11.2.2 Container No. 2 (Sample Blank). Treat in the same manner as described in section 11.2.1 above.
11.2.3 Adjustment of Acid/Water Ratio in Distillation Flask. Place 400 ml of water in the distillation flask, and add 200 ml of concentrated H2SO4. Add some soft glass beads and several small pieces of broken glass tubing, and assemble the apparatus as shown in Figure 13A-2. Heat the flask until it reaches a temperature of 175 °C (347 °F) to adjust the acid/water ratio for subsequent distillations. Discard the distillate.
Caution: Use a protective shield when carrying out this procedure. Observe standard precautions when mixing H2SO4 with water. Slowly add the acid to the flask with constant swirling.
11.3 Distillation.
11.3.1 Cool the contents of the distillation flask to below 80 °C (180 °F). Pipet an aliquot of sample containing less than 10.0 mg F− directly into the distillation flask, and add water to make a total volume of 220 ml added to the distillation flask. (To estimate the appropriate aliquot size, select an aliquot of the solution, and treat as described in section 11.4.1. This will be an approximation of the F− content because of possible interfering ions.)
Note:
If the sample contains chloride, add 5 mg of Ag2SO4 to the flask for every mg of chloride.
11.3.2 Place a 250-ml volumetric flask at the condenser exit. Heat the flask as rapidly as possible with a Bunsen burner, and collect all the distillate up to 175 °C (347 °F). During heatup, play the burner flame up and down the side of the flask to prevent bumping. Conduct the distillation as rapidly as possible (15 minutes or less). Slow distillations have been found to produce low F− recoveries. Be careful not to exceed 175 °C (347 °F) to avoid causing H2SO4 to distill over. If F− distillation in the mg range is to be followed by a distillation in the fractional mg range, add 220 ml of water and distill it over as in the acid adjustment step to remove residual F− from the distillation system.
11.3.3 The acid in the distillation flask may be used until there is carry-over of interferences or poor F− recovery. Check for interference and for recovery efficiency every tenth distillation using a water blank and a standard solution. Change the acid whenever the F− recovery is less than 90 percent or the blank value exceeds 0.1 µg/ml.
11.4 Sample Analysis.
11.4.1 Containers No. 1 and No. 2.
11.4.1.1 After distilling suitable aliquots from Containers No. 1 and No. 2 according to section 11.3, dilute the distillate in the volumetric flasks to exactly 250 ml with water, and mix thoroughly. Pipet a suitable aliquot of each sample distillate (containing 10 to 40 µg F−/ml) into a beaker, and dilute to 50 ml with water. Use the same aliquot size for the blank. Add 10 ml of SPADNS mixed reagent (Section 7.3.13), and mix thoroughly.
11.4.1.2 After mixing, place the sample in a constant-temperature bath containing the standard solutions for 30 minutes before reading the absorbance on the spectrophotometer.
Note:
After the sample and colorimetric reagent are mixed, the color formed is stable for approximately 2 hours. Also, a 3 °C (5.4 °F) temperature difference between the sample and standard solutions produces an error of approximately 0.005 mg F−/liter. To avoid this error, the absorbencies of the sample and standard solutions must be measured at the same temperature.
11.4.1.3 Set the spectrophotometer to zero absorbance at 570 nm with the zero reference solution (Section 7.3.12), and check the spectrophotometer calibration with the standard solution (Section 7.3.10). Determine the absorbance of the samples, and determine the concentration from the calibration curve. If the concentration does not fall within the range of the calibration curve, repeat the procedure using a different size aliquot.
11.4.2 Container No. 3 (Silica Gel). Weigh the spent silica gel (or silica gel plus impinger) to the nearest 0.5 g using a balance. This step may be conducted in the field.
12.0 Data Analysis and CalculationsCarry out calculations, retaining at least one extra significant figure beyond that of the acquired data. Round off figures after final calculation. Other forms of the equations may be used, provided that they yield equivalent results.
12.1 Nomenclature.
Ad = Aliquot of distillate taken for color development, ml. At = Aliquot of total sample added to still, ml. Bws = Water vapor in the gas stream, portion by volume. Cs = Concentration of F− in stack gas, mg/dscm (gr/dscf). Fc = F− concentration from the calibration curve, µg. Ft = Total F− in sample, mg. Tm = Absolute average dry gas meter (DGM) temperature (see Figure 5-3 of Method 5), °K (°R). Ts = Absolute average stack gas temperature (see Figure 5-3 of Method 5), °K (°R). Vd = Volume of distillate as diluted, ml. Vm(std) = Volume of gas sample as measured by DGM at standard conditions, dscm (dscf). Vt = Total volume of F− sample, after final dilution, ml. Vw(std) = Volume of water vapor in the gas sample at standard conditions, scm (scf)12.2 Average DGM Temperature and Average Orifice Pressure Drop (see Figure 5-3 of Method 5).
12.3 Dry Gas Volume. Calculate Vm(std), and adjust for leakage, if necessary, using Equation 5-1 of Method 5.
12.4 Volume of Water Vapor and Moisture Content. Calculate Vw(std) and Bws from the data obtained in this method. Use Equations 5-2 and 5-3 of Method 5.
12.5 Total Fluoride in Sample. Calculate the amount of F− in the sample using the following equation:
Where:
K = 10−3 mg/µg (metric units)
= 1.54 × 10−5 gr/µg (English units)
12.6 Fluoride Concentration in Stack Gas. Determine the F− concentration in the stack gas using the following equation:

12.7 Isokinetic Variation. Same as Method 5, section 12.11.
13.0 Method PerformanceThe following estimates are based on a collaborative test done at a primary aluminum smelter. In the test, six laboratories each sampled the stack simultaneously using two sampling trains for a total of 12 samples per sampling run. Fluoride concentrations encountered during the test ranged from 0.1 to 1.4 mg F−/m 3.
13.1 Precision. The intra- and inter-laboratory standard deviations, which include sampling and analysis errors, were 0.044 mg F−/m 3 with 60 degrees of freedom and 0.064 mg F−/m 3 with five degrees of freedom, respectively.
13.2 Bias. The collaborative test did not find any bias in the analytical method.
13.3 Range. The range of this method is 0 to 1.4 µg F−/ml.
14.0 Pollution Prevention [Reserved]15.0 Waste Management [Reserved]16.0 Alternative Procedures16.1 Compliance with ASTM D 3270-73T, 80, 91, or 95 (incorporated by reference—see § 60.17) “Analysis of Fluoride Content of the Atmosphere and Plant Tissues (Semiautomated Method) is an acceptable alternative for the requirements specified in sections 11.2, 11.3, and 11.4.1 when applied to suitable aliquots of Containers 1 and 2 samples.
17.0 References1. Bellack, Ervin. Simplified Fluoride Distillation Method. J. of the American Water Works Association. 50:5306. 1958.
2. Mitchell, W.J., J.C. Suggs, and F.J. Bergman. Collaborative Study of EPA Method 13A and Method 13B. Publication No. EPA-300/4-77-050. U.S. Environmental Protection Agency, Research Triangle Park, NC. December 1977.
3. Mitchell, W.J., and M.R. Midgett. Adequacy of Sampling Trains and Analytical Procedures Used for Fluoride. Atm. Environ. 10:865-872. 1976.
18.0 Tables, Diagrams, Flowcharts, and Validation Data
Method 13B—Determination of Total Fluoride Emissions From Stationary Sources (Specific Ion Electrode Method)
Note:
This method does not include all of the specifications (e.g., equipment and supplies) and procedures (e.g., sampling and analytical) essential to its performance. Some material is incorporated by reference from other methods in this part. Therefore, to obtain reliable results, persons using this method should have a thorough knowledge of at least the following additional test methods: Method 1, Method 2, Method 3, Method 5, and Method 13A.
1.1 Analytes.
| Analyte | CAS No. | Sensitivity |
|---|---|---|
| Total fluorides as Fluorine | 7782-41-4 | Not determined. |
1.2 Applicability. This method is applicable for the determination of fluoride (F−) emissions from sources as specified in the regulations. It does not measure fluorocarbons, such as Freons.
1.3 Data Quality Objectives. Adherence to the requirements of this method will enhance the quality of the data obtained from air pollutant sampling methods.
2.0 SummaryGaseous and particulate F− are withdrawn isokinetically from the source and collected in water and on a filter. The total F− is then determined by the specific ion electrode method.
3.0 Definitions [Reserved]4.0 InterferencesGrease on sample-exposed surfaces may cause low F− results because of adsorption.
5.0 Safety5.1 Disclaimer. This method may involve hazardous materials, operations, and equipment. This test method does not purport to address all of the safety problems associated with its use. It is the responsibility of the user of this test method to establish appropriate safety and health practices and to determine the applicability of regulatory limitations prior to performing this test method.
5.2 Corrosive Reagents. The following reagents are hazardous. Personal protective equipment and safe procedures are useful in preventing chemical splashes. If contact occurs, immediately flush with copious amounts of water at least 15 minutes. Remove clothing under shower and decontaminate. Treat residual chemical burn as thermal burn.
5.2.1 Sodium Hydroxide (NaOH). Causes severe damage to eye tissues and to skin. Inhalation causes irritation to nose, throat, and lungs. Reacts exothermically with limited amounts of water.
5.2.2 Sulfuric Acid (H2SO4). Rapidly destructive to body tissue. Will cause third degree burns. Eye damage may result in blindness. Inhalation may be fatal from spasm of the larynx, usually within 30 minutes. May cause lung tissue damage with edema. 1 mg/m 3 for 8 hours will cause lung damage or, in higher concentrations, death. Provide ventilation to limit inhalation. Reacts violently with metals and organics.
6.0 Equipment and Supplies6.1 Sample Collection and Sample Recovery. Same as Method 13A, sections 6.1 and 6.2, respectively.
6.2 Sample Preparation and Analysis. The following items are required for sample preparation and analysis:
6.2.1 Distillation Apparatus, Bunsen Burner, Electric Muffle Furnace, Crucibles, Beakers, Volumetric Flasks, Erlenmeyer Flasks or Plastic Bottles, Constant Temperature Bath, and Balance. Same as Method 13A, sections 6.3.1 to 6.3.9, respectively.
6.2.2 Fluoride Ion Activity Sensing Electrode.
6.2.3 Reference Electrode. Single junction, sleeve type.
6.2.4 Electrometer. A pH meter with millivolt-scale capable of ±0.1-mv resolution, or a specific ion meter made specifically for specific ion electrode use.
6.2.5 Magnetic Stirrer and Tetrafluoroethylene (TFE) Fluorocarbon-Coated Stirring Bars.
6.2.6 Beakers. Polyethylene, 100-ml.
7.0 Reagents and StandardsUnless otherwise indicated, all reagents are to conform to the specifications established by the Committee on Analytical Reagents of the American Chemical Society, where such specifications are available. Otherwise, use the best available grade.
7.1 Sample Collection and Sample Recovery. Same as Method 13A, sections 7.1 and 7.2, respectively.
7.2 Sample Preparation and Analysis. The following reagents and standards are required for sample analysis:
7.2.1 Calcium Oxide (CaO). Certified grade containing 0.005 percent F− or less.
7.2.2 Phenolphthalein Indicator. Dissolve 0.1 g phenolphthalein in a mixture of 50 ml of 90 percent ethanol and 50 ml water.
7.2.3 Sodium Hydroxide (NaOH), Pellets.
7.2.4 Sulfuric Acid (H2SO4), Concentrated.
7.2.5 Filters. Whatman No. 541, or equivalent.
7.2.6 Water. Same as section 7.1.2 of Method 13A.
7.2.7 Sodium Hydroxide, 5 M. Dissolve 20 g of NaOH in 100 ml of water.
7.2.8 Sulfuric Acid, 25 Percent (v/v). Mix 1 part of concentrated H2SO4 with 3 parts of water.
7.2.9 Total Ionic Strength Adjustment Buffer (TISAB). Place approximately 500 ml of water in a 1-liter beaker. Add 57 ml of glacial acetic acid, 58 g of sodium chloride, and 4 g of cyclohexylene dinitrilo tetraacetic acid. Stir to dissolve. Place the beaker in a water bath and cool to 20 °C (68 °F). Slowly add 5 M NaOH to the solution, measuring the pH continuously with a calibrated pH/reference electrode pair, until the pH is 5.3. Pour into a 1-liter volumetric flask, and dilute to volume with deionized, distilled water. Commercially prepared TISAB may be substituted for the above.
7.2.10 Fluoride Standard Solution, 0.1 M. Oven dry approximately 10 g of sodium fluoride (NaF) for a minimum of 2 hours at 110 °C (230 °F), and store in a desiccator. Then add 4.2 g of NaF to a 1-liter volumetric flask, and add enough water to dissolve. Dilute to volume with water.
8.0 Sample Collection, Preservation, Storage, and TransportSame as Method 13A, section 8.0.
9.0 Quality Control9.1 Miscellaneous Quality Control Measures.
| Section | Quality control measure | Effect |
|---|---|---|
| 8.0, 10.1 | Sampling equipment leak-check and calibration | Ensure accurate measurement of stack gas flow rate and sample volume. |
| 10.2 | Fluoride electrode | Evaluate analytical technique, preparation of standards. |
| 11.1 | Interference/recovery efficiency-check during distillation | Minimize negative effects of used acid. |
9.2 Volume Metering System Checks. Same as Method 5, section 9.2.
10.0 Calibration and StandardizationsNote:
Maintain a laboratory log of all calibrations.
10.1 Sampling Equipment. Same as Method 13A, section 10.1.
10.2 Fluoride Electrode. Prepare fluoride standardizing solutions by serial dilution of the 0.1 M fluoride standard solution. Pipet 10 ml of 0.1 M fluoride standard solution into a 100-ml volumetric flask, and make up to the mark with water for a 10−2 M standard solution. Use 10 ml of 10−2 M solution to make a 10−3 M solution in the same manner. Repeat the dilution procedure, and make 10−4 and 10−5 M solutions.
10.2.1 Pipet 50 ml of each standard into a separate beaker. Add 50 ml of TISAB to each beaker. Place the electrode in the most dilute standard solution. When a steady millivolt reading is obtained, plot the value on the linear axis of semilog graph paper versus concentration on the log axis. Plot the nominal value for concentration of the standard on the log axis, (e.g., when 50 ml of 10−2 M standard is diluted with 50 ml of TISAB, the concentration is still designated “10−2 M”).
10.2.2 Between measurements, soak the fluoride sensing electrode in water for 30 seconds, and then remove and blot dry. Analyze the standards going from dilute to concentrated standards. A straight-line calibration curve will be obtained, with nominal concentrations of 10−4, 10−3, 10−2, 10−1 fluoride molarity on the log axis plotted versus electrode potential (in mv) on the linear scale. Some electrodes may be slightly nonlinear between 10−5 and 10−4 M. If this occurs, use additional standards between these two concentrations.
10.2.3 Calibrate the fluoride electrode daily, and check it hourly. Prepare fresh fluoride standardizing solutions daily (10−2 M or less). Store fluoride standardizing solutions in polyethylene or polypropylene containers.
Note:
Certain specific ion meters have been designed specifically for fluoride electrode use and give a direct readout of fluoride ion concentration. These meters may be used in lieu of calibration curves for fluoride measurements over a narrow concentration ranges. Calibrate the meter according to the manufacturer's instructions.
11.1 Sample Loss Check, Sample Preparation, and Distillation. Same as Method 13A, sections 11.1 through 11.3, except that the note following section 11.3.1 is not applicable.
11.2 Analysis.
11.2.1 Containers No. 1 and No. 2. Distill suitable aliquots from Containers No. 1 and No. 2. Dilute the distillate in the volumetric flasks to exactly 250 ml with water, and mix thoroughly. Pipet a 25-ml aliquot from each of the distillate into separate beakers. Add an equal volume of TISAB, and mix. The sample should be at the same temperature as the calibration standards when measurements are made. If ambient laboratory temperature fluctuates more than ±2 °C from the temperature at which the calibration standards were measured, condition samples and standards in a constant-temperature bath before measurement. Stir the sample with a magnetic stirrer during measurement to minimize electrode response time. If the stirrer generates enough heat to change solution temperature, place a piece of temperature insulating material, such as cork, between the stirrer and the beaker. Hold dilute samples (below 10−4 M fluoride ion content) in polyethylene beakers during measurement.
11.2.2 Insert the fluoride and reference electrodes into the solution. When a steady millivolt reading is obtained, record it. This may take several minutes. Determine concentration from the calibration curve. Between electrode measurements, rinse the electrode with water.
11.2.3 Container No. 3 (Silica Gel). Same as in Method 13A, section 11.4.2.
12.0 Data Analysis and CalculationsCarry out calculations, retaining at least one extra significant figure beyond that of the acquired data. Round off figures after final calculation.
12.1 Nomenclature. Same as Method 13A, section 12.1, with the addition of the following:
M = F− concentration from calibration curve, molarity.12.2 Average DGM Temperature and Average Orifice Pressure Drop, Dry Gas Volume, Volume of Water Vapor and Moisture Content, Fluoride Concentration in Stack Gas, and Isokinetic Variation. Same as Method 13A, sections 12.2 to 12.4, 12.6, and 12.7, respectively.
12.3 Total Fluoride in Sample. Calculate the amount of F− in the sample using Equation 13B-1:
Where:
K = 19 [(mg·l)/(mole·ml)] (metric units)
= 0.292 [(gr·l)/(mole·ml)] (English units)
13.0 Method Performance
The following estimates are based on a collaborative test done at a primary aluminum smelter. In the test, six laboratories each sampled the stack simultaneously using two sampling trains for a total of 12 samples per sampling run. Fluoride concentrations encountered during the test ranged from 0.1 to 1.4 mg F−/m 3.
13.1 Precision. The intra-laboratory and inter-laboratory standard deviations, which include sampling and analysis errors, are 0.037 mg F−/m 3 with 60 degrees of freedom and 0.056 mg F−/m 3 with five degrees of freedom, respectively.
13.2 Bias. The collaborative test did not find any bias in the analytical method.
13.3 Range. The range of this method is 0.02 to 2,000 µg F−/ml; however, measurements of less than 0.1 µg F−/ml require extra care.
14.0 Pollution Prevention [Reserved]15.0 Waste Management [Reserved]16.0 Alternative Procedures16.1 Compliance with ASTM D 3270-73T, 91, 95 “Analysis for Fluoride Content of the Atmosphere and Plant Tissues (Semiautomated Method)” is an acceptable alternative for the distillation and analysis requirements specified in sections 11.1 and 11.2 when applied to suitable aliquots of Containers 1 and 2 samples.
17.0 ReferencesSame as Method 13A, section 16.0, References 1 and 2, with the following addition:
1. MacLeod, Kathryn E., and Howard L. Crist. Comparison of the SPADNS-Zirconium Lake and Specific Ion Electrode Methods of Fluoride Determination in Stack Emission Samples. Analytical Chemistry. 45:1272-1273. 1973.
18.0 Tables, Diagrams, Flowcharts, and Validation Data [Reserved]Method 14—Determination of Fluoride Emissions From Potroom Roof Monitors for Primary Aluminum PlantsNote:
This method does not include all of the specifications (e.g., equipment and supplies) and procedures (e.g., sampling and analytical) essential to its performance. Some material is incorporated by reference from other methods in this part. Therefore, to obtain reliable results, persons using this method should have a thorough knowledge of at least the following additional test methods: Method 1, Method 2, Method 3, Method 5, Method 13A, and Method 13B.
1.1 Analytes.
| Analyte | CAS No. | Sensitivity |
|---|---|---|
| Total fluorides as Fluorine | 7782-41-4 | Not determined. |
1.2 Applicability. This method is applicable for the determination of fluoride emissions from roof monitors at primary aluminum reduction plant potroom groups.
1.3 Data Quality Objectives. Adherence to the requirements of this method will enhance the quality of the data obtained from air pollutant sampling methods.
2.0 Summary of Method2.1 Gaseous and particulate fluoride roof monitor emissions are drawn into a permanent sampling manifold through several large nozzles. The sample is transported from the sampling manifold to ground level through a duct. The fluoride content of the gas in the duct is determined using either Method 13A or Method 13B. Effluent velocity and volumetric flow rate are determined using anemometers located in the roof monitor.
3.0 DefinitionsPotroom means a building unit which houses a group of electrolytic cells in which aluminum is produced.
Potroom group means an uncontrolled potroom, a potroom which is controlled individually, or a group of potrooms or potroom segments ducted to a common control system.
Roof monitor means that portion of the roof of a potroom where gases not captured at the cell exit from the potroom.
4.0 InterferencesSame as section 4.0 of either Method 13A or Method 13B, with the addition of the following:
4.1 Magnetic Field Effects. Anemometer readings can be affected by potroom magnetic field effects. section 6.1 provides for minimization of this interference through proper shielding or encasement of anemometer components.
5.0 Safety5.1 Disclaimer. This method may involve hazardous materials, operations, and equipment. This test method may not address all of the safety problems associated with its use. It is the responsibility of the user of this test method to establish appropriate safety and health practices and to determine the applicability of regulatory limitations prior to performing this test method.
5.2 Corrosive Reagents. Same as section 5.2 of either Method 13A or Method 13B.
6.0 Equipment and SuppliesSame as section 6.0 of either Method 13A or Method 13B, as applicable, with the addition of the following:
6.1 Velocity Measurement Apparatus.
6.1.1 Anemometer Specifications. Propeller anemometers, or equivalent. Each anemometer shall meet the following specifications:
6.1.1.1 Its propeller shall be made of polystyrene, or similar material of uniform density. To ensure uniformity of performance among propellers, it is desirable that all propellers be made from the same mold.
6.1.1.2 The propeller shall be properly balanced, to optimize performance.
6.1.1.3 When the anemometer is mounted horizontally, its threshold velocity shall not exceed 15 m/min (50 ft/min).
6.1.1.4 The measurement range of the anemometer shall extend to at least 600 m/min (2,000 ft/min).
6.1.1.5 The anemometer shall be able to withstand prolonged exposure to dusty and corrosive environments; one way of achieving this is to purge the bearings of the anemometer continuously with filtered air during operation.
6.1.1.6 All anemometer components shall be properly shielded or encased, such that the performance of the anemometer is uninfluenced by potroom magnetic field effects.
6.1.1.7 A known relationship shall exist between the electrical output signal from the anemometer generator and the propeller shaft rpm (see section 10.2.1). Anemometers having other types of output signals (e.g., optical) may be used, subject to the approval of the Administrator. If other types of anemometers are used, there must be a known relationship between output signal and shaft rpm (see section 10.2.2).
6.1.1.8 Each anemometer shall be equipped with a suitable readout system (see section 6.1.3).
6.1.2 Anemometer Installation Requirements.
6.1.2.1 Single, Isolated Potroom. If the affected facility consists of a single, isolated potroom (or potroom segment), install at least one anemometer for every 85 m (280 ft) of roof monitor length. If the length of the roof monitor divided by 85 m (280 ft) is not a whole number, round the fraction to the nearest whole number to determine the number of anemometers needed. For monitors that are less than 130 m (430 ft) in length, use at least two anemometers. Divide the monitor cross-section into as many equal areas as anemometers, and locate an anemometer at the centroid of each equal area. See exception in section 6.1.2.3.
6.1.2.2 Two or More Potrooms. If the affected facility consists of two or more potrooms (or potroom segments) ducted to a common control device, install anemometers in each potroom (or segment) that contains a sampling manifold. Install at least one anemometer for every 85 m (280 ft) of roof monitor length of the potroom (or segment). If the potroom (or segment) length divided by 85 m (280 ft) is not a whole number, round the fraction to the nearest whole number to determine the number of anemometers needed. If the potroom (or segment) length is less than 130 m (430 ft), use at least two anemometers. Divide the potroom (or segment) monitor cross-section into as many equal areas as anemometers, and locate an anemometer at the centroid of each equal area. See exception in section 6.1.2.3.
6.1.2.3 Placement of Anemometer at the Center of Manifold. At least one anemometer shall be installed in the immediate vicinity (i.e., within 10 m (33 ft)) of the center of the manifold (see section 6.2.1). For its placement in relation to the width of the monitor, there are two alternatives. The first is to make a velocity traverse of the width of the roof monitor where an anemometer is to be placed and install the anemometer at a point of average velocity along this traverse. The traverse may be made with any suitable low velocity measuring device, and shall be made during normal process operating conditions. The second alternative is to install the anemometer half-way across the width of the roof monitor. In this latter case, the velocity traverse need not be conducted.
6.1.3 Recorders. Recorders that are equipped with suitable auxiliary equipment (e.g., transducers) for converting the output signal from each anemometer to a continuous recording of air flow velocity or to an integrated measure of volumetric flowrate shall be used. A suitable recorder is one that allows the output signal from the propeller anemometer to be read to within 1 percent when the velocity is between 100 and 120 m/min (330 and 390 ft/min). For the purpose of recording velocity, “continuous” shall mean one readout per 15-minute or shorter time interval. A constant amount of time shall elapse between readings. Volumetric flow rate may be determined by an electrical count of anemometer revolutions. The recorders or counters shall permit identification of the velocities or flowrates measured by each individual anemometer.
6.1.4 Pitot Tube. Standard-type pitot tube, as described in section 6.7 of Method 2, and having a coefficient of 0.99 ±0.01.
6.1.5 Pitot Tube (Optional). Isolated, Type S pitot, as described in section 6.1 of Method 2, and having a known coefficient, determined as outlined in section 4.1 of Method 2.
6.1.6 Differential Pressure Gauge. Inclined manometer, or equivalent, as described in section 6.1.2 of Method 2.
6.2 Roof Monitor Air Sampling System.
6.2.1 Manifold System and Ductwork. A minimum of one manifold system shall be installed for each potroom group. The manifold system and ductwork shall meet the following specifications:
6.2.1.1 The manifold system and connecting duct shall be permanently installed to draw an air sample from the roof monitor to ground level. A typical installation of a duct for drawing a sample from a roof monitor to ground level is shown in Figure 14-1 in section 17.0. A plan of a manifold system that is located in a roof monitor is shown in Figure 14-2. These drawings represent a typical installation for a generalized roof monitor. The dimensions on these figures may be altered slightly to make the manifold system fit into a particular roof monitor, but the general configuration shall be followed.
6.2.1.2 There shall be eight nozzles, each having a diameter of 0.40 to 0.50 m.
6.2.1.3 The length of the manifold system from the first nozzle to the eighth shall be 35 m (115 ft) or eight percent of the length of the potroom (or potroom segment) roof monitor, whichever is greater. Deviation from this requirement is subject to the approval of the Administrator.
6.2.1.4 The duct leading from the roof monitor manifold system shall be round with a diameter of 0.30 to 0.40 m (1.0 to 1.3 ft). All connections in the ductwork shall be leak-free.
6.2.1.5 As shown in Figure 14-2, each of the sample legs of the manifold shall have a device, such as a blast gate or valve, to enable adjustment of the flow into each sample nozzle.
6.2.1.6 The manifold system shall be located in the immediate vicinity of one of the propeller anemometers (see section 8.1.1.4) and as close as possible to the midsection of the potroom (or potroom segment). Avoid locating the manifold system near the end of a potroom or in a section where the aluminum reduction pot arrangement is not typical of the rest of the potroom (or potroom segment). The sample nozzles shall be centered in the throat of the roof monitor (see Figure 14-1).
6.2.1.7 All sample-exposed surfaces within the nozzles, manifold, and sample duct shall be constructed with 316 stainless steel. Alternatively, aluminum may be used if a new ductwork is conditioned with fluoride-laden roof monitor air for a period of six weeks before initial testing. Other materials of construction may be used if it is demonstrated through comparative testing, to the satisfaction of the Administrator, that there is no loss of fluorides in the system.
6.2.1.8 Two sample ports shall be located in a vertical section of the duct between the roof monitor and the exhaust fan (see section 6.2.2). The sample ports shall be at least 10 duct diameters downstream and three diameters upstream from any flow disturbance such as a bend or contraction. The two sample ports shall be situated 90° apart. One of the sample ports shall be situated so that the duct can be traversed in the plane of the nearest upstream duct bend.
6.2.2 Exhaust Fan. An industrial fan or blower shall be attached to the sample duct at ground level (see Figure 14-1). This exhaust fan shall have a capacity such that a large enough volume of air can be pulled through the ductwork to maintain an isokinetic sampling rate in all the sample nozzles for all flow rates normally encountered in the roof monitor. The exhaust fan volumetric flow rate shall be adjustable so that the roof monitor gases can be drawn isokinetically into the sample nozzles. This control of flow may be achieved by a damper on the inlet to the exhauster or by any other workable method.
6.3 Temperature Measurement Apparatus. To monitor and record the temperature of the roof monitor effluent gas, and consisting of the following:
6.3.1 Temperature Sensor. A temperature sensor shall be installed in the roof monitor near the sample duct. The temperature sensor shall conform to the specifications outlined in Method 2, section 6.3.
6.3.2 Signal Transducer. Transducer, to change the temperature sensor voltage output to a temperature readout.
6.3.3 Thermocouple Wire. To reach from roof monitor to signal transducer and recorder.
6.3.4 Recorder. Suitable recorder to monitor the output from the thermocouple signal transducer.
7.0 Reagents and StandardsSame as section 7.0 of either Method 13A or Method 13B, as applicable.
8.0 Sample Collection, Preservation, Storage, and Transport8.1 Roof Monitor Velocity Determination.
8.1.1 Velocity Estimate(s) for Setting Isokinetic Flow. To assist in setting isokinetic flow in the manifold sample nozzles, the anticipated average velocity in the section of the roof monitor containing the sampling manifold shall be estimated before each test run. Any convenient means to make this estimate may be used (e.g., the velocity indicated by the anemometer in the section of the roof monitor containing the sampling manifold may be continuously monitored during the 24-hour period before the test run). If there is question as to whether a single estimate of average velocity is adequate for an entire test run (e.g., if velocities are anticipated to be significantly different during different potroom operations), the test run may be divided into two or more “sub-runs,” and a different estimated average velocity may be used for each sub-run (see section 8.4.2).
8.1.2 Velocity Determination During a Test Run. During the actual test run, record the velocity or volumetric flowrate readings of each propeller anemometer in the roof monitor. Readings shall be taken from each anemometer at equal time intervals of 15 minutes or less (or continuously).
8.2 Temperature Recording. Record the temperature of the roof monitor effluent gases at least once every 2 hours during the test run.
8.3 Pretest Ductwork Conditioning. During the 24-hour period immediately preceding the test run, turn on the exhaust fan, and draw roof monitor air through the manifold system and ductwork. Adjust the fan to draw a volumetric flow through the duct such that the velocity of gas entering the manifold nozzles approximates the average velocity of the air exiting the roof monitor in the vicinity of the sampling manifold.
8.4 Manifold Isokinetic Sample Rate Adjustment(s).
8.4.1 Initial Adjustment. Before the test run (or first sub-run, if applicable; see sections 8.1.1 and 8.4.2), adjust the fan such that air enters the manifold sample nozzles at a velocity equal to the appropriate estimated average velocity determined under section 8.1.1. Use Equation 14-1 (Section 12.2.2) to determine the correct stream velocity needed in the duct at the sampling location, in order for sample gas to be drawn isokinetically into the manifold nozzles. Next, verify that the correct stream velocity has been achieved, by performing a pitot tube traverse of the sample duct (using either a standard or Type S pitot tube); use the procedure outlined in Method 2.
8.4.2 Adjustments During Run. If the test run is divided into two or more “sub-runs” (see section 8.1.1), additional isokinetic rate adjustment(s) may become necessary during the run. Any such adjustment shall be made just before the start of a sub-run, using the procedure outlined in section 8.4.1 above.
Note:
Isokinetic rate adjustments are not permissible during a sub-run.
8.5 Pretest Preparation, Preliminary Determinations, Preparation of Sampling Train, Leak-Check Procedures, Sampling Train Operation, and Sample Recovery. Same as Method 13A, sections 8.1 through 8.6, with the exception of the following:
8.5.1 A single train shall be used for the entire sampling run. Alternatively, if two or more sub-runs are performed, a separate train may be used for each sub-run; note, however, that if this option is chosen, the area of the sampling nozzle shall be the same (±2 percent) for each train. If the test run is divided into sub-runs, a complete traverse of the duct shall be performed during each sub-run.
8.5.2 Time Per Run. Each test run shall last 8 hours or more; if more than one run is to be performed, all runs shall be of approximately the same (±10 percent) length. If questions exist as to the representativeness of an 8-hour test, a longer period should be selected. Conduct each run during a period when all normal operations are performed underneath the sampling manifold. For most recently-constructed plants, 24 hours are required for all potroom operations and events to occur in the area beneath the sampling manifold. During the test period, all pots in the potroom group shall be operated such that emissions are representative of normal operating conditions in the potroom group.
9.0 Quality Control9.1 Miscellaneous Quality Control Measures.
| Section | Quality Control Measure | Effect |
|---|---|---|
| 8.0, 10.0 | Sampling equipment leak-check and calibration | Ensure accurate measurement of gas flow rate in duct and of sample volume. |
| 10.3, 10.4 | Initial and periodic performance checks of roof monitor effluent gas characterization apparatus | Ensure accurate and precise measurement of roof monitor effluent gas temperature and flow rate. |
| 11.0 | Interference/recovery efficiency check during distillation | Minimize negative effects of used acid. |
9.2 Volume Metering System Checks. Same as Method 5, section 9.2.
10.0 Calibration and StandardizationSame as section 10.0 of either Method 13A or Method 13B, as applicable, with the addition of the following:
10.1 Manifold Intake Nozzles. The manifold intake nozzles shall be calibrated when the manifold system is installed or, alternatively, the manifold may be preassembled and the nozzles calibrated on the ground prior to installation. The following procedures shall be observed:
10.1.1 Adjust the exhaust fan to draw a volumetric flow rate (refer to Equation 14-1) such that the entrance velocity into each manifold nozzle approximates the average effluent velocity in the roof monitor.
10.1.2 Measure the velocity of the air entering each nozzle by inserting a standard pitot tube into a 2.5 cm or less diameter hole (see Figure 14-2) located in the manifold between each blast gate (or valve) and nozzle. Note that a standard pitot tube is used, rather than a type S, to eliminate possible velocity measurement errors due to cross-section blockage in the small (0.13 m diameter) manifold leg ducts. The pitot tube tip shall be positioned at the center of each manifold leg duct. Take care to ensure that there is no leakage around the pitot tube, which could affect the indicated velocity in the manifold leg.
10.1.3 If the velocity of air being drawn into each nozzle is not the same, open or close each blast gate (or valve) until the velocity in each nozzle is the same. Fasten each blast gate (or valve) so that it will remain in position, and close the pitot port holes.
10.2 Initial Calibration of Propeller Anemometers.
10.2.1 Anemometers that meet the specifications outlined in section 6.1.1 need not be calibrated, provided that a reference performance curve relating anemometer signal output to air velocity (covering the velocity range of interest) is available from the manufacturer. If a reference performance curve is not available from the manufacturer, such a curve shall be generated.
For the purpose of this method, a “reference” performance curve is defined as one that has been derived from primary standard calibration data, with the anemometer mounted vertically. “Primary standard” data are obtainable by: (a) direct calibration of one or more of the anemometers by the National Institute of Standards and Technology (NIST); (b) NIST-traceable calibration; or (c) Calibration by direct measurement of fundamental parameters such as length and time (e.g., by moving the anemometers through still air at measured rates of speed, and recording the output signals).
10.2.2 Anemometers having output signals other than electrical (e.g., optical) may be used, subject to the approval of the Administrator. If other types of anemometers are used, a reference performance curve shall be generated, using procedures subject to the approval of the Administrator.
10.2.3 The reference performance curve shall be derived from at least the following three points: 60 ±15, 900 ±100, and 1800 ±100 rpm.
10.3 Initial Performance Checks. Conduct these checks within 60 days before the first performance test.
10.3.1 Anemometers. A performance-check shall be conducted as outlined in sections 10.3.1.1 through 10.3.1.3. Alternatively, any other suitable method that takes into account the signal output, propeller condition, and threshold velocity of the anemometer may be used, subject to the approval of the Administrator.
10.3.1.1 Check the signal output of the anemometer by using an accurate rpm generator (see Figure 14-3) or synchronous motors to spin the propeller shaft at each of the three rpm settings described in section 10.2.3, and measuring the output signal at each setting. If, at each setting, the output signal is within 5 percent of the manufacturer's value, the anemometer can be used. If the anemometer performance is unsatisfactory, the anemometer shall either be replaced or repaired.
10.3.1.2 Check the propeller condition, by visually inspecting the propeller, making note of any significant damage or warpage; damaged or deformed propellers shall be replaced.
10.3.1.3 Check the anemometer threshold velocity as follows: With the anemometer mounted as shown in Figure 14-4(A), fasten a known weight (a straight-pin will suffice) to the anemometer propeller at a fixed distance from the center of the propeller shaft. This will generate a known torque; for example, a 0.1-g weight, placed 10 cm from the center of the shaft, will generate a torque of 1.0 g-cm. If the known torque causes the propeller to rotate downward, approximately 90° [see Figure 14-4(B)], then the known torque is greater than or equal to the starting torque; if the propeller fails to rotate approximately 90°, the known torque is less than the starting torque. By trying different combinations of weight and distance, the starting torque of a particular anemometer can be satisfactorily estimated. Once an estimate of the starting torque has been obtained, the threshold velocity of the anemometer (for horizontal mounting) can be estimated from a graph such as Figure 14-5 (obtained from the manufacturer). If the horizontal threshold velocity is acceptable [<15 m/min (50 ft/min), when this technique is used], the anemometer can be used. If the threshold velocity of an anemometer is found to be unacceptably high, the anemometer shall either be replaced or repaired.
10.3.2 Recorders and Counters. Check the calibration of each recorder and counter (see section 6.1.2) at a minimum of three points, approximately spanning the expected range of velocities. Use the calibration procedures recommended by the manufacturer, or other suitable procedures (subject to the approval of the Administrator). If a recorder or counter is found to be out of calibration by an average amount greater than 5 percent for the three calibration points, replace or repair the system; otherwise, the system can be used.
10.3.3 Temperature Measurement Apparatus. Check the calibration of the Temperature Measurement Apparatus, using the procedures outlined in section 10.3 of Method 2, at temperatures of 0, 100, and 150 °C (32, 212, and 302 °F). If the calibration is off by more than 5 °C (9 °F) at any of the temperatures, repair or replace the apparatus; otherwise, the apparatus can be used.
10.4 Periodic Performance Checks. Repeat the procedures outlined in section 10.3 no more than 12 months after the initial performance checks. If the above systems pass the performance checks (i.e., if no repair or replacement of any component is necessary), continue with the performance checks on a 12-month interval basis. However, if any of the above systems fail the performance checks, repair or replace the system(s) that failed, and conduct the periodic performance checks on a 3-month interval basis, until sufficient information (to the satisfaction of the Administrator) is obtained to establish a modified performance check schedule and calculation procedure.
Note:
If any of the above systems fails the 12-month periodic performance checks, the data for the past year need not be recalculated.
Same as section 11.0 of either Method 13A or Method 13B.
12.0 Data Analysis and CalculationsSame as section 12.0 of either Method 13A or Method 13B, as applicable, with the following additions and exceptions:
12.1 Nomenclature.
A = Roof monitor open area, m 2 (ft 2). Bws = Water vapor in the gas stream, portion by volume. Cs = Average fluoride concentration in roof monitor air, mg F/dscm (gr/dscf). Dd = Diameter of duct at sampling location, m (ft). Dn = Diameter of a roof monitor manifold nozzle, m (ft). F = Emission Rate multiplication factor, dimensionless. Ft = Total fluoride mass collected during a particular sub-run (from Equation 13A-1 of Method 13A or Equation 13B-1 of Method 13B), mg F− (gr F−). Md = Mole fraction of dry gas, dimensionless. Prm = Pressure in the roof monitor; equal to barometric pressure for this application. Qsd = Average volumetric flow from roof monitor at standard conditions on a dry basis, m 3/min. Trm = Average roof monitor temperature (from section 8.2), °C ( °F). Vd = Desired velocity in duct at sampling location, m/sec. Vm = Anticipated average velocity (from section 8.1.1) in sampling duct, m/sec. Vmt = Arithmetic mean roof monitor effluent gas velocity, m/sec. Vs = Actual average velocity in the sampling duct (from Equation 2-9 of Method 2 and data obtained from Method 13A or 13B), m/sec.12.2 Isokinetic Sampling Check.
12.2.1 Calculate the arithmetic mean of the roof monitor effluent gas velocity readings (vm) as measured by the anemometer in the section of the roof monitor containing the sampling manifold. If two or more sub-runs have been performed, the average velocity for each sub-run may be calculated separately.
12.2.2 Calculate the expected average velocity (vd) in the duct, corresponding to each value of vm obtained under section 12.2.1, using Equation 14-1.
Where:
8 = number of required manifold nozzles.
60 = sec/min.
12.2.3 Calculate the actual average velocity (vs) in the sampling duct for each run or sub-run according to Equation 2-9 of Method 2, using data obtained during sampling (Section 8.0 of Method 13A).
12.2.4 Express each vs value from section 12.2.3 as a percentage of the corresponding vd value from section 12.2.2.
12.2.4.1 If vs is less than or equal to 120 percent of vd, the results are acceptable (note that in cases where the above calculations have been performed for each sub-run, the results are acceptable if the average percentage for all sub-runs is less than or equal to 120 percent).
12.2.4.2 If vs is more than 120 percent of vd, multiply the reported emission rate by the following factor:

12.3 Average Velocity of Roof Monitor Effluent Gas. Calculate the arithmetic mean roof monitor effluent gas velocity (vmt) using all the velocity or volumetric flow readings from section 8.1.2.
12.4 Average Temperature of Roof Monitor Effluent Gas. Calculate the arithmetic mean roof monitor effluent gas temperature (Tm) using all the temperature readings recorded in section 8.2.
12.5 Concentration of Fluorides in Roof Monitor Effluent Gas.
12.5.1 If a single sampling train was used throughout the run, calculate the average fluoride concentration for the roof monitor using Equation 13A-2 of Method 13A.
12.5.2 If two or more sampling trains were used (i.e., one per sub-run), calculate the average fluoride concentration for the run using Equation 14-3:
Where:
n = Total number of sub-runs.
12.6 Mole Fraction of Dry Gas.

12.7 Average Volumetric Flow Rate of Roof Monitor Effluent Gas. Calculate the arithmetic mean volumetric flow rate of the roof monitor effluent gases using Equation 14-5.
Where:
K1 = 0.3858 K/mm Hg for metric units,
= 17.64 °R/in. Hg for English units.
13.0 Method Performance [Reserved]14.0 Pollution Prevention [Reserved]15.0 Waste Management [Reserved]16.0 References
Same as section 16.0 of either Method 13A or Method 13B, as applicable, with the addition of the following:
1. Shigehara, R.T. A Guideline for Evaluating Compliance Test Results (Isokinetic Sampling Rate Criterion). U.S. Environmental Protection Agency, Emission Measurement Branch, Research Triangle Park, NC. August 1977.
17.0 Tables, Diagrams, Flowcharts, and Validation Data



Method 14A—Determination of Total Fluoride Emissions from Selected Sources at Primary Aluminum Production Facilities
Note:
This method does not include all the specifications (e.g., equipment and supplies) and procedures (e.g., sampling) essential to its performance. Some material is incorporated by reference from other methods in this part. Therefore, to obtain reliable results, persons using this method should have a thorough knowledge of at least the following additional test methods: Method 5, Methods 13A and 13B, and Method 14 of this appendix.
1.1 Analytes.
| Analyte | CAS No. | Sensitivity |
|---|---|---|
| Total fluorides | None assigned | Not determined. |
| Includes hydrogen fluoride | 007664-39-3 | Not determined. |
1.2 Applicability. This method is applicable for the determination of total fluorides (TF) emissions from sources specified in the applicable regulation. This method was developed by consensus with the Aluminum Association and the U.S. Environmental Protection Agency (EPA).
2.0 Summary of Method2.1 Total fluorides, in the form of solid and gaseous fluorides, are withdrawn from the ascending air stream inside of an aluminum reduction potroom and, prior to exiting the potroom roof monitor, into a specific cassette arrangement. The cassettes are connected by tubing to flowmeters and a manifold system that allows for the equal distribution of volume pulled through each cassette, and finally to a dry gas meter. The cassettes have a specific internal arrangement of one unaltered cellulose filter and support pad in the first section of the cassette for solid fluoride retention and two cellulose filters with support pads that are impregnated with sodium formate for the chemical absorption of gaseous fluorides in the following two sections of the cassette. A minimum of eight cassettes shall be used for a potline and shall be strategically located at equal intervals across the potroom roof so as to encompass a minimum of 8 percent of the total length of the potroom. A greater number of cassettes may be used should the regulated facility choose to do so. The mass flow rate of pollutants is determined with anemometers and temperature sensing devices located immediately below the opening of the roof monitor and spaced evenly within the cassette group.
3.0 Definitions3.1 Cassette. A segmented, styrene acrylonitrile cassette configuration with three separate segments and a base, for the purpose of this method, to capture and retain fluoride from potroom gases.
3.2 Cassette arrangement. The cassettes, tubing, manifold system, flowmeters, dry gas meter, and any other related equipment associated with the actual extraction of the sample gas stream.
3.3 Cassette group. That section of the potroom roof monitor where a distinct group of cassettes is located.
3.4 Potline. A single, discrete group of electrolytic reduction cells electrically connected in series, in which alumina is reduced to form aluminum.
3.5 Potroom. A building unit that houses a group of electrolytic reduction cells in which aluminum is produced.
3.6 Potroom group. An uncontrolled potroom, a potroom that is controlled individually, or a group of potrooms or potroom segments ducted to a common primary control system.
3.7 Primary control system. The equipment used to capture the gases and particulate matter generated during the reduction process and the emission control device(s) used to remove pollutants prior to discharge of the cleaned gas to the atmosphere.
3.8 Roof monitor. That portion of the roof of a potroom building where gases, not captured at the cell, exit from the potroom.
3.9 Total fluorides (TF). Elemental fluorine and all fluoride compounds as measured by Methods 13A or 13B of this appendix or by an approved alternative method.
4.0 Interferences and Known Limitations4.1 There are two principal categories of limitations that must be addressed when using this method. The first category is sampling bias and the second is analytical bias. Biases in sampling can occur when there is an insufficient number of cassettes located along the roof monitor of a potroom or if the distribution of those cassettes is spatially unequal. Known sampling biases also can occur when there are leaks within the cassette arrangement and if anemometers and temperature devices are not providing accurate data. Applicable instruments must be properly calibrated to avoid sampling bias. Analytical biases can occur when instrumentation is not calibrated or fails calibration and the instrument is used out of proper calibration. Additionally, biases can occur in the laboratory if fusion crucibles retain residual fluorides over lengthy periods of use. This condition could result in falsely elevated fluoride values. Maintaining a clean work environment in the laboratory is crucial to producing accurate values.
4.2 Biases during sampling can be avoided by properly spacing the appropriate number of cassettes along the roof monitor, conducting leak checks of the cassette arrangement, calibrating the dry gas meter every 30 days, verifying the accuracy of individual flowmeters (so that there is no more than 5 percent difference in the volume pulled between any two flowmeters), and calibrating or replacing anemometers and temperature sensing devices as necessary to maintain true data generation.
4.3 Analytical biases can be avoided by calibrating instruments according to the manufacturer's specifications prior to conducting any analyses, by performing internal and external audits of up to 10 percent of all samples analyzed, and by rotating individual crucibles as the “blank” crucible to detect any potential residual fluoride carry-over to samples. Should any contamination be discovered in the blank crucible, the crucible shall be thoroughly cleaned to remove any detected residual fluorides and a “blank” analysis conducted again to evaluate the effectiveness of the cleaning. The crucible shall remain in service as long as no detectable residual fluorides are present.
5.0 Safety5.1 This method may involve the handling of hazardous materials in the analytical phase. This method does not purport to address all of the potential safety hazards associated with its use. It is the responsibility of the user to establish appropriate safety and health practices and determine the applicability of regulatory limitations prior to performing this test method.
5.2 Corrosive reagents. The following reagents are hazardous. Personal protective equipment and safe procedures are useful in preventing chemical splashes. If contact occurs, immediately flush with copious amounts of water for at least 15 minutes. Remove clothing under shower and decontaminate. Treat residual chemical burn as thermal burn.
5.3 Sodium Hydroxide (NaOH). Causes severe damage to eyes and skin. Inhalation causes irritation to nose, throat, and lungs. Reacts exothermically with limited amounts of water.
5.4 Perchloric Acid (HClO4). Corrosive to eyes, skin, nose, and throat. Provide ventilation to limit exposure. Very strong oxidizer. Keep separate from water and oxidizable materials to prevent vigorous evolution of heat, spontaneous combustion, or explosion. Heat solutions containing HClO4 only in hoods specifically designed for HClO4.
6.0 Equipment and Supplies6.1 Sampling.
6.1.1 Cassette arrangement. The cassette itself is a three-piece, styrene acrylonitrile cassette unit (a Gelman Sciences product), 37 millimeter (mm), with plastic connectors. In the first section (the intake section), an untreated Gelman Sciences 37 mm, 0.8 micrometer (µm) DM-800 metricel membrane filter and cellulose support pad, or equivalent, is situated. In the second and third segments of the cassette there is placed one each of Gelman Sciences 37 mm, 5 µm GLA-5000 low-ash PVC filter with a cellulose support pad or equivalent product. Each of these two filters and support pads shall have been immersed in a solution of 10 percent sodium formate (volume/volume in an ethyl alcohol solution). The impregnated pads shall be placed in the cassette segments while still wet and heated at 50 °C (122 °F) until the pad is completely dry. It is important to check for a proper fit of the filter and support pad to the cassette segment to ensure that there are no areas where gases could bypass the filter. Once all of the cassette segments have been prepared, the cassette shall be assembled and a plastic plug shall be inserted into the exhaust hole of the cassette. Prior to placing the cassette into service, the space between each segment shall be taped with an appropriately durable tape to prevent the infiltration of gases through the points of connection, and an aluminum nozzle shall be inserted into the intake hole of the cassette. The aluminum nozzle shall have a short section of tubing placed over the opening of the nozzle, with the tubing plugged to prevent dust from entering the nozzle and to prepare the nozzle for the cassette arrangement leak check. An alternate nozzle type can be used if historical results or scientific demonstration of applicability can be shown.
6.1.2 Anemometers and temperature sensing devices. To calculate the mass flow rate of TF from the roof monitor under standard conditions, anemometers that meet the specifications in section 2.1.1 in Method 14 of this appendix or an equivalent device yielding equivalent information shall be used. A recording mechanism capable of accurately recording the exit gas temperature at least every 2 hours shall be used.
6.1.3 Barometer. To correct the volumetric flow from the potline roof monitor to standard conditions, a mercury (Hg), aneroid, or other barometer capable of measuring atmospheric pressure to within 2.5 mm [0.1 inch (in)] Hg shall be used.
Note:
The barometric reading may be obtained from a nearby National Weather Service Station. In this case, the station value (which is absolute barometric pressure) shall be requested and an adjustment for elevation differences between the weather station and the sampling point shall be made at a rate of minus 2.5 mm (0.1 in) Hg per 30 meters (m) [100 feet (ft)] elevation increase or plus 2.5 mm (0.1 in) Hg per 30 m (100 ft) elevation decrease.
6.2 Sample recovery.
6.2.1 Hot plate.
6.2.2 Muffle furnace.
6.2.3 Nickel crucible.
6.2.4 Stirring rod. Teflon.
6.2.5 Volumetric flask. 50-milliliter (ml).
6.2.6 Plastic vial. 50-ml.
6.3 Analysis.
6.3.1 Primary analytical method. An automated analyzer having the following components or equivalent: a multichannel proportioning pump, multiposition sampler, voltage stabilizer, colorimeter, instrument recording device, microdistillation apparatus, flexible Teflon ® heating bath, vacuum pump, pulse suppressers and an air flow system.
6.3.2 Secondary analytical method. Specific Ion Electrode (SIE).
7.0 Reagents and Standards7.1 Water. Deionized distilled to conform to ASTM Specification D 1193-77, Type 3 (incorporated by reference in § 60.17(a)(22) of this part). The KMnO4 test for oxidizable organic matter may be omitted when high concentrations of organic matter are not expected to be present.
7.2 Calcium oxide.
7.3 Sodium hydroxide (NaOH). Pellets.
7.4 Perchloric acid (HClO4). Mix 1:1 with water. Sulfuric acid (H2SO4) may be used in place of HClO4.
7.5 Audit samples. The audit samples discussed in section 9.1 shall be prepared from reagent grade, water soluble stock reagents, or purchased as an aqueous solution from a commercial supplier. If the audit stock solution is purchased from a commercial supplier, the standard solution must be accompanied by a certificate of analysis or an equivalent proof of fluoride concentration.
8.0 Sample Collection and Analysis8.1 Preparing cassette arrangement for sampling. The cassettes are initially connected to flexible tubing. The tubing is connected to flowmeters and a manifold system. The manifold system is connected to a dry gas meter (Research Appliance Company model 201009 or equivalent). The length of tubing is managed by pneumatically or electrically operated hoists located in the roof monitor, and the travel of the tubing is controlled by encasing the tubing in aluminum conduit. The tubing is lowered for cassette insertion by operating a control box at floor level. Once the cassette has been securely inserted into the tubing and the leak check performed, the tubing and cassette are raised to the roof monitor level using the floor level control box. Arrangements similar to the one described are acceptable if the scientific sample collection principles are followed.
8.2 Test run sampling period. A test run shall comprise a minimum of a 24-hour sampling event encompassing at least eight cassettes per potline (or four cassettes per potroom group). Monthly compliance shall be based on three test runs during the month. Test runs of greater than 24 hours are allowed; however, three such runs shall be conducted during the month.
8.3 Leak-check procedures.
8.3.1 Pretest leak check. A pretest leak-check is recommended; however, it is not required. To perform a pretest leak-check after the cassettes have been inserted into the tubing, isolate the cassette to be leak-checked by turning the valves on the manifold to stop all flows to the other sampling points connected to the manifold and meter. The cassette, with the plugged tubing section securing the intake of the nozzle, is subjected to the highest vacuum expected during the run. If no leaks are detected, the tubing plug can be briefly removed as the dry gas meter is rapidly turned off.
8.3.2 Post-test leak check. A leak check is required at the conclusion of each test run for each cassette. The leak check shall be performed in accordance with the procedure outlined in section 8.3.1 of this method except that it shall be performed at a vacuum greater than the maximum vacuum reached during the test run. If the leakage rate is found to be no greater than 4 percent of the average sampling rate, the results are acceptable. If the leakage rate is greater than 4 percent of the average sampling rate, either record the leakage rate and correct the sampling volume as discussed in section 12.4 of this method or void the test run if the minimum number of cassettes were used. If the number of cassettes used was greater than the minimum required, discard the leaking cassette and use the remaining cassettes for the emission determination.
8.3.3 Anemometers and temperature sensing device placement. Install the recording mechanism to record the exit gas temperature. Anemometers shall be installed as required in section 6.1.2 of Method 14 of this appendix, except replace the word “manifold” with “cassette group” in section 6.1.2.3. These two different instruments shall be located near each other along the roof monitor. See conceptual configurations in Figures 14A-1, 14A-2, and 14A-3 of this method. Fewer temperature devices than anemometers may be used if at least one temperature device is located within the span of the cassette group. Other anemometer location siting scenarios may be acceptable as long as the exit velocity of the roof monitor gases is representative of the entire section of the potline being sampled.
8.4 Sampling. The actual sample run shall begin with the removal of the tubing and plug from the cassette nozzle. Each cassette is then raised to the roof monitor area, the dry gas meter is turned on, and the flowmeters are set to the calibration point, which allows an equal volume of sampled gas to enter each cassette. The dry gas meter shall be set to a range suitable for the specific potroom type being sampled that will yield valid data known from previous experience or a range determined by the use of the calculation in section 12 of this method. Parameters related to the test run that shall be recorded, either during the test run or after the test run if recording devices are used, include: anemometer data, roof monitor exit gas temperature, dry gas meter temperature, dry gas meter volume, and barometric pressure. At the conclusion of the test run, the cassettes shall be lowered, the dry gas meter turned off, and the volume registered on the dry gas meter recorded. The post-test leak check procedures described in section 8.3.2 of this method shall be performed. All data relevant to the test shall be recorded on a field data sheet and maintained on file.
8.5 Sample recovery.
8.5.1 The cassettes shall be brought to the laboratory with the intake nozzle contents protected with the section of plugged tubing previously described. The exterior of cassettes shall carefully be wiped free of any dust or debris, making sure that any falling dust or debris does not present a potential laboratory contamination problem.
8.5.2 Carefully remove all tape from the cassettes and remove the initial filter, support pad, and all loose solids from the first (intake) section of the cassette. Fold the filter and support pad several times and, along with all loose solids removed from the interior of the first section of the cassette, place them into a nickel crucible. Using water, wash the interior of the nozzle into the same nickel crucible. Add 0.1 gram (g) [±0.1 milligram (mg)] of calcium oxide and a sufficient amount of water to make a loose slurry. Mix the contents of the crucible thoroughly with a Teflon” stirring rod. After rinsing any adhering residue from the stirring rod back into the crucible, place the crucible on a hot plate or in a muffle furnace until all liquid is evaporated and allow the mixture to gradually char for 1 hour.
8.5.3 Transfer the crucible to a cold muffle furnace and ash at 600 °C (1,112 °F). Remove the crucible after the ashing phase and, after the crucible cools, add 3.0 g (±0.1 g) of NaOH pellets. Place this mixture in a muffle furnace at 600 °C (1,112 °F) for 3 minutes. Remove the crucible and roll the melt so as to reach all of the ash with the molten NaOH. Let the melt cool to room temperature. Add 10 to 15 ml of water to the crucible and place it on a hot plate at a low temperature setting until the melt is soft or suspended. Transfer the contents of the crucible to a 50-ml volumetric flask. Rinse the crucible with 20 ml of 1:1 perchloric acid or 20 ml of 1:1 sulfuric acid in two (2) 10 ml portions. Pour the acid rinse slowly into the volumetric flask and swirl the flask after each addition. Cool to room temperature. The product of this procedure is particulate fluorides.
8.5.4 Gaseous fluorides can be isolated for analysis by folding the gaseous fluoride filters and support pads to approximately 1/4 of their original size and placing them in a 50-ml plastic vial. To the vial add exactly 10 ml of water and leach the sample for a minimum of 1 hour. The leachate from this process yields the gaseous fluorides for analysis.
9.0 Quality Control9.1 Laboratory auditing. Laboratory audits of specific and known concentrations of fluoride shall be submitted to the laboratory with each group of samples submitted for analysis. An auditor shall prepare and present the audit samples as a “blind” evaluation of laboratory performance with each group of samples submitted to the laboratory. The audits shall be prepared to represent concentrations of fluoride that could be expected to be in the low, medium and high range of actual results. Average recoveries of all three audits must equal 90 to 110 percent for acceptable results; otherwise, the laboratory must investigate procedures and instruments for potential problems.
Note:
The analytical procedure allows for the analysis of individual or combined filters and pads from the cassettes provided that equal volumes (±10 percent) are sampled through each cassette.
10.1 Equipment evaluations. To ensure the integrity of this method, periodic calibrations and equipment replacements are necessary.
10.1.1 Metering system. At 30-day intervals the metering system shall be calibrated. Connect the metering system inlet to the outlet of a wet test meter that is accurate to 1 percent. Refer to Figure 5-4 of Method 5 of this appendix. The wet-test meter shall have a capacity of 30 liters/revolution [1 cubic foot (ft 3)/revolution]. A spirometer of 400 liters (14 ft 3) or more capacity, or equivalent, may be used for calibration; however, a wet-test meter is usually more practical. The wet-test meter shall be periodically tested with a spirometer or a liquid displacement meter to ensure the accuracy. Spirometers or wet-test meters of other sizes may be used, provided that the specified accuracies of the procedure are maintained. Run the metering system pump for about 15 min. with the orifice manometer indicating a median reading as expected in field use to allow the pump to warm up and to thoroughly wet the interior of the wet-test meter. Then, at each of a minimum of three orifice manometer settings, pass an exact quantity of gas through the wet-test meter and record the volume indicated by the dry gas meter. Also record the barometric pressure, the temperatures of the wet test meter, the inlet temperatures of the dry gas meter, and the temperatures of the outlet of the dry gas meter. Record all calibration data on a form similar to the one shown in Figure 5-5 of Method 5 of this appendix and calculate Y, the dry gas meter calibration factor, and ΔH@, the orifice calibration factor at each orifice setting. Allowable tolerances for Y and ΔH@ are given in Figure 5-6 of Method 5 of this appendix. Allowable tolerances for Y and ΔH@ are given in Figure 5-5 of Method 5 of this appendix.
10.1.2 Estimating volumes for initial test runs. For a facility's initial test runs, the regulated facility must have a target or desired volume of gases to be sampled and a target range of volumes to use during the calibration of the dry gas meter. Use Equations 14A-1 and 14A-2 in section 12 of this method to derive the target dry gas meter volume (Fv) for these purposes.
10.1.3 Calibration of anemometers and temperature sensing devices. If the standard anemometers in Method 14 of this appendix are used, the calibration and integrity evaluations in sections 10.3.1.1 through 10.3.1.3 of Method 14 of this appendix shall be used as well as the recording device described in section 2.1.3 of Method 14. The calibrations or complete change-outs of anemometers shall take place at a minimum of once per year. The temperature sensing and recording devices shall be calibrated according to the manufacturer's specifications.
10.1.4 Calibration of flowmeters. The calibration of flowmeters is necessary to ensure that an equal volume of sampled gas is entering each of the individual cassettes and that no large differences, which could possibly bias the sample, exist between the cassettes.
10.1.4.1 Variable area, 65 mm flowmeters or equivalent shall be used. These flowmeters can be mounted on a common base for convenience. These flowmeters shall be calibrated by attaching a prepared cassette, complete with filters and pads, to the flowmeter and then to the system manifold. This manifold is an aluminum cylinder with valved inlets for connections to the flowmeters/cassettes and one outlet to a dry gas meter. The connection is then made to the wet-test meter and finally to a dry gas meter. All connections are made with tubing.
10.1.4.2 Turn the dry gas meter on for 15 min. in preparation for the calibration. Turn the dry gas meter off and plug the intake hole of the cassette. Turn the dry gas meter back on to evaluate the entire system for leaks. If the dry gas meter shows a leakage rate of less than 0.02 ft 3/min at 10 in. of Hg vacuum as noted on the dry gas meter, the system is acceptable to further calibration.
10.1.4.3 With the dry gas meter turned on and the flow indicator ball at a selected flow rate, record the exact amount of gas pulled through the flowmeter by taking measurements from the wet test meter after exactly 10 min. Record the room temperature and barometric pressure. Conduct this test for all flowmeters in the system with all flowmeters set at the same indicator ball reading. When all flowmeters have gone through the procedure above, correct the volume pulled through each flowmeter to standard conditions. The acceptable difference between the highest and lowest flowmeter rate is 5 percent. Should one or more flowmeters be outside of the acceptable limit of 5 percent, repeat the calibration procedure at a lower or higher indicator ball reading until all flowmeters show no more than 5 percent difference among them.
10.1.4.4 This flowmeter calibration shall be conducted at least once per year.
10.1.5 Miscellaneous equipment calibrations. Miscellaneous equipment used such as an automatic recorder/ printer used to measure dry gas meter temperatures shall be calibrated according to the manufacturer's specifications in order to maintain the accuracy of the equipment.
11.0 Analytical Procedure11.1 The preferred primary analytical determination of the individual isolated samples or the combined particulate and gaseous samples shall be performed by an automated methodology. The analytical method for this technology shall be based on the manufacturer's instructions for equipment operation and shall also include the analysis of five standards with concentrations in the expected range of the actual samples. The results of the analysis of the five standards shall have a coefficient of correlation of at least 0.99. A check standard shall be analyzed as the last sample of the group to determine if instrument drift has occurred. The acceptable result for the check standard is 95 to 105 percent of the standard's true value.
11.2 The secondary analytical method shall be by specific ion electrode if the samples are distilled or if a TISAB IV buffer is used to eliminate aluminum interferences. Five standards with concentrations in the expected range of the actual samples shall be analyzed, and a coefficient of correlation of at least 0.99 is the minimum acceptable limit for linearity. An exception for this limit for linearity is a condition when low-level standards in the range of 0.01 to 0.48 µg fluoride/ml are analyzed. In this situation, a minimum coefficient of correlation of 0.97 is required. TISAB II shall be used for low-level analyses.
12.0 Data Analysis and Calculations12.1 Carry out calculations, retaining at least one extra decimal point beyond that of the acquired data. Round off values after the final calculation. Other forms of calculations may be used as long as they give equivalent results.
12.2 Estimating volumes for initial test runs.
Where
Fv = Desired volume of dry gas to be sampled, ft
3.
Fd = Desired or analytically optimum mass of TF per cassette, micrograms of TF per cassette (µg/cassette).
X = Number of cassettes used.
Fe = Typical concentration of TF in emissions to be sampled, µg/ft
3, calculated from Equation 14A-2.
Where
Re = Typical emission rate from the facility, pounds of TF per ton (lb/ton) of aluminum.
Rp = Typical production rate of the facility, tons of aluminum per minute (ton/min).
Vr = Typical exit velocity of the roof monitor gases, feet per minute (ft/min).
Ar = Open area of the roof monitor, square feet (ft
2).
12.2.1 Example calculation. Assume that the typical emission rate (Re) is 1.0 lb TF/ton of aluminum, the typical roof vent gas exit velocity (Vr) is 250 ft/min, the typical production rate (Rp) is 0.10 ton/min, the known open area for the roof monitor (Ar) is 8,700 ft 2, and the desired (analytically optimum) mass of TF per cassette is 1,500 µg. First calculate the concentration of TF per cassette (Fe) in µg/ft 3 using Equation 14A-2. Then calculate the desired volume of gas to be sampled (Fv) using Equation 14A-1.


This is a total of 575.40 ft 3 for eight cassettes or 71.925 ft 3/cassette.
12.3 Calculations of TF emissions from field and laboratory data that would yield a production related emission rate can be calculated as follows:
12.3.1 Obtain a standard cubic feet (scf) value for the volume pulled through the dry gas meter for all cassettes by using the field and calibration data and Equation 5-1 of Method 5 of this appendix.
12.3.2 Derive the average quantity of TF per cassette (in µg TF/cassette) by adding all laboratory data for all cassettes and dividing this value by the total number of cassettes used. Divide this average TF value by the corrected dry gas meter volume for each cassette; this value then becomes TFstd (µg/ft 3).
12.3.3 Calculate the production-based emission rate (Re) in lb/ton using Equation 14A-5.

12.3.4 As an example calculation, assume eight cassettes located in a potline were used to sample for 72 hours during the run. The analysis of all eight cassettes yielded a total of 3,000 µg of TF. The dry gas meter volume was corrected to yield a total of 75 scf per cassette, which yields a value for TFstd of 3,000/75 = 5 µg/ft 3. The open area of the roof monitor for the potline (Ar) is 17,400 ft 2. The exit velocity of the roof monitor gases (Vr) is 250 ft/min. The production rate of aluminum over the previous 720 hours was 5,000 tons, which is 6.94 tons/hr or 0.116 ton/min (Rp). Substituting these values into Equation 14A-5 yields:

12.4 Corrections to volumes due to leakage. Should the post-test leak check leakage rate exceed 4 percent as described in section 8.3.2 of this method, correct the volume as detailed in Case I in section 6.3 of Method 5 of this appendix.


Method 15—Determination of Hydrogen Sulfide, Carbonyl Sulfide, and Carbon Disulfide Emissions From Stationary Sources
Note:
This method is not inclusive with respect to specifications (e.g., equipment and supplies) and procedures (e.g., sampling and analytical) essential to its performance. Some material is incorporated by reference from other methods in this part. Therefore, to obtain reliable results, persons using this method should have a thorough knowledge of gas chromatography techniques.
1.1 Analytes.
| Analyte | CAS No. | Sensitivity (See Sec 13.2) |
|---|---|---|
| Carbon disulfide [CS2] | 75-15-0 | 0.5 ppmv |
| Carbonyl sulfide [COS] | 463-58-1 | 0.5 ppmv |
| Hydrogen sulfide [H2 S] | 7783-06-4 | 0.5 ppmv |
1.2 Applicability.
1.2.1 This method applies to the determination of emissions of reduced sulfur compounds from tail gas control units of sulfur recovery plants, H2S in fuel gas for fuel gas combustion devices, and where specified in other applicable subparts of the regulations.
1.2.2 The method described below uses the principle of gas chromatographic (GC) separation and flame photometric detection (FPD). Since there are many systems or sets of operating conditions that represent useable methods for determining sulfur emissions, all systems which employ this principle, but differ only in details of equipment and operation, may be used as alternative methods, provided that the calibration precision and sample-line loss criteria are met.
1.3 Data Quality Objectives. Adherence to the requirements of this method will enhance the quality of the data obtained from air pollutant sampling methods.
2.0 Summary of Method2.1 A gas sample is extracted from the emission source and diluted with clean dry air (if necessary). An aliquot of the diluted sample is then analyzed for CS2, COS, and H2S by GC/FPD.
3.0 Definitions [Reserved]4.0 Interferences4.1 Moisture Condensation. Moisture condensation in the sample delivery system, the analytical column, or the FPD burner block can cause losses or interferences. This potential is eliminated by heating the probe, filter box, and connections, and by maintaining the SO2 scrubber in an ice water bath. Moisture is removed in the SO2 scrubber and heating the sample beyond this point is not necessary provided the ambient temperature is above 0 °C (32 °F). Alternatively, moisture may be eliminated by heating the sample line, and by conditioning the sample with dry dilution air to lower its dew point below the operating temperature of the GC/FPD analytical system prior to analysis.
4.2 Carbon Monoxide (CO) and Carbon Dioxide (CO2). CO and CO2 have substantial desensitizing effects on the FPD even after 9:1 dilution. (Acceptable systems must demonstrate that they have eliminated this interference by some procedure such as eluting CO and CO2 before any of the sulfur compounds to be measured.) Compliance with this requirement can be demonstrated by submitting chromatograms of calibration gases with and without CO2 in the diluent gas. The CO2 level should be approximately 10 percent for the case with CO2 present. The two chromatograms should show agreement within the precision limits of section 13.3.
4.3 Elemental Sulfur. The condensation of sulfur vapor in the sampling system can lead to blockage of the particulate filter. This problem can be minimized by observing the filter for buildup and changing as needed.
4.4 Sulfur Dioxide (SO2). SO2 is not a specific interferent but may be present in such large amounts that it cannot be effectively separated from the other compounds of interest. The SO2 scrubber described in section 6.1.3 will effectively remove SO2 from the sample.
4.5 Alkali Mist. Alkali mist in the emissions of some control devices may cause a rapid increase in the SO2 scrubber pH, resulting in low sample recoveries. Replacing the SO2 scrubber contents after each run will minimize the chances of interference in these cases.
5.0 Safety5.1 Disclaimer. This method may involve hazardous materials, operations, and equipment. This test method may not address all of the safety problems associated with its use. It is the responsibility of the user of this test to establish appropriate safety and health practices and determine the applicability of regulatory limitations to performing this test.
6.0 Equipment and Supplies6.1 Sample Collection. See Figure 15-1. The sampling train component parts are discussed in the following sections:
6.1.1 Probe. The probe shall be made of Teflon or Teflon-lined stainless steel and heated to prevent moisture condensation. It shall be designed to allow calibration gas to enter the probe at or near the sample point entry. Any portion of the probe that contacts the stack gas must be heated to prevent moisture condensation. The probe described in section 6.1.1 of Method 16A having a nozzle directed away from the gas stream is recommended for sources having particulate or mist emissions. Where very high stack temperatures prohibit the use of Teflon probe components, glass or quartz-lined probes may serve as substitutes.
6.1.2 Particulate Filter. 50-mm Teflon filter holder and a 1- to 2-micron porosity Teflon filter (available through Savillex Corporation, 5325 Highway 101, Minnetonka, Minnesota 55343). The filter holder must be maintained in a hot box at a temperature of at least 120 °C (248 °F).
6.1.3 SO2 Scrubber. Three 300-ml Teflon segment impingers connected in series with flexible, thick-walled, Teflon tubing. (Impinger parts and tubing available through Savillex.) The first two impingers contain 100 ml of citrate buffer, and the third impinger is initially dry. The tip of the tube inserted into the solution should be constricted to less than 3-mm ( 1/8-in.) ID and should be immersed to a depth of at least 50 cm (2 in.). Immerse the impingers in an ice water bath and maintain near 0 °C. The scrubber solution will normally last for a 3-hour run before needing replacement. This will depend upon the effects of moisture and particulate matter on the solution strength and pH. Connections between the probe, particulate filter, and SO2 scrubber shall be made of Teflon and as short in length as possible. All portions of the probe, particulate filter, and connections prior to the SO2 scrubber (or alternative point of moisture removal) shall be maintained at a temperature of at least 120 °C (248 °F).
6.1.4 Sample Line. Teflon, no greater than 13-mm ( 1/2-in.) ID. Alternative materials, such as virgin Nylon, may be used provided the line-loss test is acceptable.
6.1.5 Sample Pump. The sample pump shall be a leakless Teflon-coated diaphragm type or equivalent.
6.2 Analysis. The following items are needed for sample analysis:
6.2.1 Dilution System. The dilution system must be constructed such that all sample contacts are made of Teflon, glass, or stainless steel. It must be capable of approximately a 9:1 dilution of the sample.
6.2.2 Gas Chromatograph (see Figure 15-2). The gas chromatograph must have at least the following components:
6.2.2.1 Oven. Capable of maintaining the separation column at the proper operating temperature ±1 °C.
6.2.2.2 Temperature Gauge. To monitor column oven, detector, and exhaust temperature ±1 °C.
6.2.2.3 Flow System. Gas metering system to measure sample, fuel, combustion gas, and carrier gas flows.
6.2.2.4 Flame Photometric Detector.
6.2.2.4.1 Electrometer. Capable of full scale amplification of linear ranges of 10−9 to 10−4 amperes full scale.
6.2.2.4.2 Power Supply. Capable of delivering up to 750 volts.
6.2.2.5 Recorder. Compatible with the output voltage range of the electrometer.
6.2.2.6 Rotary Gas Valves. Multiport Teflon-lined valves equipped with sample loop. Sample loop volumes shall be chosen to provide the needed analytical range. Teflon tubing and fittings shall be used throughout to present an inert surface for sample gas. The GC shall be calibrated with the sample loop used for sample analysis.
6.2.2.7 GC Columns. The column system must be demonstrated to be capable of resolving three major reduced sulfur compounds: H2S, COS, and CS2. To demonstrate that adequate resolution has been achieved, a chromatogram of a calibration gas containing all three reduced sulfur compounds in the concentration range of the applicable standard must be submitted. Adequate resolution will be defined as base line separation of adjacent peaks when the amplifier attenuation is set so that the smaller peak is at least 50 percent of full scale. Base line separation is defined as a return to zero (±5 percent) in the interval between peaks. Systems not meeting this criteria may be considered alternate methods subject to the approval of the Administrator.
6.3 Calibration System (See Figure 15-3). The calibration system must contain the following components:
6.3.1 Flow System. To measure air flow over permeation tubes within 2 percent. Each flowmeter shall be calibrated after each complete test series with a wet-test meter. If the flow measuring device differs from the wet-test meter by more than 5 percent, the completed test shall be discarded. Alternatively, use the flow data that will yield the lowest flow measurement. Calibration with a wet-test meter before a test is optional. Flow over the permeation device may also be determined using a soap bubble flowmeter.
6.3.2 Constant Temperature Bath. Device capable of maintaining the permeation tubes at the calibration temperature within 0.1 °C.
6.3.3 Temperature Sensor. Thermometer or equivalent to monitor bath temperature within 0.1 °C.
7.0 Reagents and Standards7.1 Fuel. Hydrogen gas (H2). Prepurified grade or better.
7.2 Combustion Gas. Oxygen (O2) or air, research purity or better.
7.3 Carrier Gas. Prepurified grade or better.
7.4 Diluent. Air containing less than 0.5 ppmv total sulfur compounds and less than 10 ppmv each of moisture and total hydrocarbons.
7.5 Calibration Gases.
7.5.1 Permeation Devices. One each of H2S, COS, and CS2, gravimetrically calibrated and certified at some convenient operating temperature. These tubes consist of hermetically sealed FEP Teflon tubing in which a liquified gaseous substance is enclosed. The enclosed gas permeates through the tubing wall at a constant rate. When the temperature is constant, calibration gases covering a wide range of known concentrations can be generated by varying and accurately measuring the flow rate of diluent gas passing over the tubes. These calibration gases are used to calibrate the GC/FPD system and the dilution system.
7.5.2 Cylinder Gases. Cylinder gases may be used as alternatives to permeation devices. The gases must be traceable to a primary standard (such as permeation tubes) and not used beyond the certification expiration date.
7.6 Citrate Buffer. Dissolve 300 g of potassium citrate and 41 g of anhydrous citric acid in 1 liter of water. Alternatively, 284 g of sodium citrate may be substituted for the potassium citrate. Adjust the pH to between 5.4 and 5.6 with potassium citrate or citric acid, as required.
8.0 Sample Collection, Preservation, Transport, and Storage
8.1 Pretest Procedures. After the complete measurement system has been set up at the site and deemed to be operational, the following procedures should be completed before sampling is initiated. These procedures are not required, but would be helpful in preventing any problem which might occur later to invalidate the entire test.
8.1.1 Leak-Check. Appropriate leak-check procedures should be employed to verify the integrity of all components, sample lines, and connections. The following procedure is suggested: For components upstream of the sample pump, attach the probe end of the sample line to a manometer or vacuum gauge, start the pump and pull a vacuum greater than 50 mm (2 in.) Hg, close off the pump outlet, and then stop the pump and ascertain that there is no leak for 1 minute. For components after the pump, apply a slight positive pressure and check for leaks by applying a liquid (detergent in water, for example) at each joint. Bubbling indicates the presence of a leak. As an alternative to the initial leak-test, the sample line loss test described in section 8.3.1 may be performed to verify the integrity of components.
8.1.2 System Performance. Since the complete system is calibrated at the beginning and end of each day of testing, the precise calibration of each component is not critical. However, these components should be verified to operate properly. This verification can be performed by observing the response of flowmeters or of the GC output to changes in flow rates or calibration gas concentrations, respectively, and ascertaining the response to be within predicted limits. If any component or the complete system fails to respond in a normal and predictable manner, the source of the discrepancy should be identified and corrected before proceeding.
8.2 Sample Collection and Analysis
8.2.1 After performing the calibration procedures outlined in section 10.0, insert the sampling probe into the test port ensuring that no dilution air enters the stack through the port. Begin sampling and dilute the sample approximately 9:1 using the dilution system. Note that the precise dilution factor is the one determined in section 10.4. Condition the entire system with sample for a minimum of 15 minutes before beginning the analysis. Inject aliquots of the sample into the GC/FPD analyzer for analysis. Determine the concentration of each reduced sulfur compound directly from the calibration curves or from the equation for the least-squares line.
8.2.2 If reductions in sample concentrations are observed during a sample run that cannot be explained by process conditions, the sampling must be interrupted to determine if the probe or filter is clogged with particulate matter. If either is found to be clogged, the test must be stopped and the results up to that point discarded. Testing may resume after cleaning or replacing the probe and filter. After each run, the probe and filter shall be inspected and, if necessary, replaced.
8.2.3 A sample run is composed of 16 individual analyses (injects) performed over a period of not less than 3 hours or more than 6 hours.
8.3 Post-Test Procedures.
8.3.1 Sample Line Loss. A known concentration of H2S at the level of the applicable standard, ±20 percent, must be introduced into the sampling system at the opening of the probe in sufficient quantities to ensure that there is an excess of sample which must be vented to the atmosphere. The sample must be transported through the entire sampling system to the measurement system in the same manner as the emission samples. The resulting measured concentration is compared to the known value to determine the sampling system loss. For sampling losses greater than 20 percent, the previous sample run is not valid. Sampling losses of 0-20 percent must be corrected by dividing the resulting sample concentration by the fraction of recovery. The known gas sample may be calibration gas as described in section 7.5. Alternatively, cylinder gas containing H2S mixed in nitrogen and verified according to section 7.1.4 of Method 16A may be used. The optional pretest procedures provide a good guideline for determining if there are leaks in the sampling system.
8.3.2 Determination of Calibration Drift. After each run, or after a series of runs made within a 24-hour period, perform a partial recalibration using the procedures in section 10.0. Only H2S (or other permeant) need be used to recalibrate the GC/FPD analysis system and the dilution system. Partial recalibration may be performed at the midlevel calibration gas concentration or at a concentration measured in the samples but not less than the lowest calibration standard used in the initial calibration. Compare the calibration curves obtained after the runs to the calibration curves obtained under section 10.3. The calibration drift should not exceed the limits set forth in section 13.4. If the drift exceeds this limit, the intervening run or runs should be considered invalid. As an option, the calibration data set that gives the highest sample values may be chosen by the tester.
9.0 Quality Control| Section | Quality control measure | Effect |
|---|---|---|
| 8.3.1 | Sample line loss check | Ensures that uncorrected negative bias introduced by sample loss is no greater than 20 percent, and provides for correction of bias of 20 percent or less. |
| 8.3.2 | Calibration drift test | Ensures that bias introduced by drift in the measurement system output during the run is no greater than 5 percent. |
| 10.0 | Analytical calibration | Ensures precision of analytical results within 5 percent. |
Prior to any sampling run, calibrate the system using the following procedures. (If more than one run is performed during any 24-hour period, a calibration need not be performed prior to the second and any subsequent runs. However, the calibration drift must be determined as prescribed in section 8.3.2 after the last run is made within the 24-hour period.)
Note:
This section outlines steps to be followed for use of the GC/FPD and the dilution system. The calibration procedure does not include detailed instructions because the operation of these systems is complex, and it requires an understanding of the individual system being used. Each system should include a written operating manual describing in detail the operating procedures associated with each component in the measurement system. In addition, the operator should be familiar with the operating principles of the components, particularly the GC/FPD. The references in section 16.0 are recommended for review for this purpose.
10.1 Calibration Gas Permeation Tube Preparation.
10.1.1 Insert the permeation tubes into the tube chamber. Check the bath temperature to assure agreement with the calibration temperature of the tubes within 0.1 °C. Allow 24 hours for the tubes to equilibrate. Alternatively, equilibration may be verified by injecting samples of calibration gas at 1-hour intervals. The permeation tubes can be assumed to have reached equilibrium when consecutive hourly samples agree within 5 percent of their mean.
10.1.2 Vary the amount of air flowing over the tubes to produce the desired concentrations for calibrating the analytical and dilution systems. The air flow across the tubes must at all times exceed the flow requirement of the analytical systems. The concentration in ppmv generated by a tube containing a specific permeant can be calculated using Equation 15-1 in section 12.2.
10.2 Calibration of Analytical System. Generate a series of three or more known concentrations spanning the linear range of the FPD (approximately 0.5 to 10 ppmv for a 1-ml sample) for each of the three major sulfur compounds. Bypassing the dilution system, inject these standards into the GC/FPD and monitor the responses until three consecutive injections for each concentration agree within 5 percent of their mean. Failure to attain this precision indicates a problem in the calibration or analytical system. Any such problem must be identified and corrected before proceeding.
10.3 Calibration Curves. Plot the GC/FPD response in current (amperes) versus their causative concentrations in ppmv on log-log coordinate graph paper for each sulfur compound. Alternatively, a least-squares equation may be generated from the calibration data using concentrations versus the appropriate instrument response units.
10.4 Calibration of Dilution System. Generate a known concentration of H2S using the permeation tube system. Adjust the flow rate of diluent air for the first dilution stage so that the desired level of dilution is approximated. Inject the diluted calibration gas into the GC/FPD system until the results of three consecutive injections for each dilution agree within 5 percent of their mean. Failure to attain this precision in this step is an indication of a problem in the dilution system. Any such problem must be identified and corrected before proceeding. Using the calibration data for H2S (developed under section 10.3), determine the diluted calibration gas concentration in ppmv. Then calculate the dilution factor as the ratio of the calibration gas concentration before dilution to the diluted calibration gas concentration determined under this section. Repeat this procedure for each stage of dilution required. Alternatively, the GC/FPD system may be calibrated by generating a series of three or more concentrations of each sulfur compound and diluting these samples before injecting them into the GC/FPD system. These data will then serve as the calibration data for the unknown samples and a separate determination of the dilution factor will not be necessary. However, the precision requirements are still applicable.
11.0 Analytical ProcedureSample collection and analysis are concurrent for this method (see section 8.0).
12.0 Data Analysis and Calculations12.1 Nomenclature.
C = Concentration of permeant produced, ppmv. COS = Carbonyl sulfide concentration, ppmv. CS2 = Carbon disulfide concentration, ppmv. d = Dilution factor, dimensionless. H2S = Hydrogen sulfide concentration, ppmv. K = 24.04 L/g mole. (Gas constant at 20 °C and 760 mm Hg) L = Flow rate, L/min, of air over permeant 20 °C, 760 mm Hg. M = Molecular weight of the permeant, g/g-mole. N = Number of analyses performed. Pr = Permeation rate of the tube, µg/min.12.2 Permeant Concentration. Calculate the concentration generated by a tube containing a specific permeant (see section 10.1) using the following equation:

12.3 Calculation of SO2 Equivalent. SO2 equivalent will be determined for each analysis made by summing the concentrations of each reduced sulfur compound resolved during the given analysis. The SO2 equivalent is expressed as SO2 in ppmv.

12.4 Average SO2 Equivalent. This is determined using the following equation. Systems that do not remove moisture from the sample but condition the gas to prevent condensation must correct the average SO2 equivalent for the fraction of water vapor present. This is not done under applications where the emission standard is not specified on a dry basis.
Where:
Avg SO2 equivalent = Average SO2 equivalent in ppmv, dry basis.
Average SO2 equivalent i = SO2 in ppmv as determined by Equation 15-2.
13.0 Method Performance
13.1 Range. Coupled with a GC system using a 1-ml sample size, the maximum limit of the FPD for each sulfur compound is approximately 10 ppmv. It may be necessary to dilute samples from sulfur recovery plants a hundredfold (99:1), resulting in an upper limit of about 1000 ppmv for each compound.
13.2 Sensitivity. The minimum detectable concentration of the FPD is also dependent on sample size and would be about 0.5 ppmv for a 1-ml sample.
13.3 Calibration Precision. A series of three consecutive injections of the same calibration gas, at any dilution, shall produce results which do not vary by more than 5 percent from the mean of the three injections.
13.4 Calibration Drift. The calibration drift determined from the mean of three injections made at the beginning and end of any run or series of runs within a 24-hour period shall not exceed 5 percent.
14.0 Pollution Prevention [Reserved]15.0 Waste Management [Reserved]16.0 References.1. O'Keeffe, A.E., and G.C. Ortman. “Primary Standards for Trace Gas Analysis.” Anal. Chem. 38,760. 1966.
2. Stevens, R.K., A.E. O'Keeffe, and G.C. Ortman. “Absolute Calibration of a Flame Photometric Detector to Volatile Sulfur Compounds at Sub-Part-Per-Million Levels.” Environmental Science and Technology 3:7. July 1969.
3. Mulik, J.D., R.K. Stevens, and R. Baumgardner. “An Analytical System Designed to Measure Multiple Malodorous Compounds Related to Kraft Mill Activities.” Presented at the 12th Conference on Methods in Air Pollution and Industrial Hygiene Studies, University of Southern California, Los Angeles, CA, April 6-8, 1971.
4. Devonald, R.H., R.S. Serenius, and A.D. McIntyre. “Evaluation of the Flame Photometric Detector for Analysis of Sulfur Compounds.” Pulp and Paper Magazine of Canada, 73,3. March 1972.
5. Grimley, K.W., W.S. Smith, and R.M. Martin. “The Use of a Dynamic Dilution System in the Conditioning of Stack Gases for Automated Analysis by a Mobile Sampling Van.” Presented at the 63rd Annual APCA Meeting in St. Louis, MO. June 14-19, 1970.
6. General Reference. Standard Methods of Chemical Analysis Volume III-A and III-B: Instrumental Analysis. Sixth Edition. Van Nostrand Reinhold Co.
17.0 Tables, Diagrams, Flowcharts, and Validation Data

Method 15A—Determination of Total Reduced Sulfur Emissions From Sulfur Recovery Plants in Petroleum Refineries
Note:
This method does not include all of the specifications (e.g., equipment and supplies) and procedures (e.g., sampling and analytical) essential to its performance. Some material is incorporated by reference from other methods in this part. Therefore, to obtain reliable results, persons using this method should have a thorough knowledge of at least the following additional test methods: Method 1, Method 6, Method 15, and Method 16A.
1.1 Analytes.
| Analyte | CAS No. | Sensitivity |
|---|---|---|
| Reduced sulfur compounds | None assigned | Not determined. |
1.2 Applicability. This method is applicable for the determination of emissions of reduced sulfur compounds from sulfur recovery plants where the emissions are in a reducing atmosphere, such as in Stretford units.
1.3 Data Quality Objectives. Adherence to the requirements of this method will enhance the quality of the data obtained from air pollutant sampling methods.
2.0 Summary of Method2.1 An integrated gas sample is extracted from the stack, and combustion air is added to the oxygen (O2)-deficient gas at a known rate. The reduced sulfur compounds [including carbon disulfide (CS2), carbonyl sulfide (COS), and hydrogen sulfide (H2S)] are thermally oxidized to sulfur dioxide (SO2), which is then collected in hydrogen peroxide as sulfate ion and analyzed according to the Method 6 barium-thorin titration procedure.
3.0 Definitions [Reserved]4.0 Interferences4.1 Reduced sulfur compounds, other than CS2, COS, and H2S, that are present in the emissions will also be oxidized to SO2, causing a positive bias relative to emission standards that limit only the three compounds listed above. For example, thiophene has been identified in emissions from a Stretford unit and produced a positive bias of 30 percent in the Method 15A result. However, these biases may not affect the outcome of the test at units where emissions are low relative to the standard.
4.2 Calcium and aluminum have been shown to interfere in the Method 6 titration procedure. Since these metals have been identified in particulate matter emissions from Stretford units, a Teflon filter is required to minimize this interference.
4.3 Dilution of the hydrogen peroxide (H2O2) absorbing solution can potentially reduce collection efficiency, causing a negative bias. When used to sample emissions containing 7 percent moisture or less, the midget impingers have sufficient volume to contain the condensate collected during sampling. Dilution of the H2O2 does not affect the collection of SO2. At higher moisture contents, the potassium citrate-citric acid buffer system used with Method 16A should be used to collect the condensate.
5.0 Safety5.1 Disclaimer. This method may involve hazardous materials, operations, and equipment. This test method may not address all of the safety problems associated with its use. It is the responsibility of the user of this test method to establish appropriate safety and health practices and determine the applicability of regulatory limitations prior to performing this test method.
5.2 Corrosive reagents. The following reagents are hazardous. Personal protective equipment and safe procedures are useful in preventing chemical splashes. If contact occurs, immediately flush with copious amounts of water for at least 15 minutes. Remove clothing under shower and decontaminate. Treat residual chemical burns as thermal burns.
5.2.1 Hydrogen Peroxide (H2O2). Irritating to eyes, skin, nose, and lungs.
5.2.2 Sodium Hydroxide (NaOH). Causes severe damage to eyes and skin. Inhalation causes irritation to nose, throat, and lungs. Reacts exothermically with limited amounts of water.
5.2.3 Sulfuric Acid (H2SO4). Rapidly destructive to body tissue. Will cause third degree burns. Eye damage may result in blindness. Inhalation may be fatal from spasm of the larynx, usually within 30 minutes. May cause lung tissue damage with edema. 3 mg/m 3 will cause lung damage in uninitiated. 1 mg/m 3 for 8 hours will cause lung damage or, in higher concentrations, death. Provide ventilation to limit inhalation. Reacts violently with metals and organics.
6.0 Equipment and Supplies6.1 Sample Collection. The sampling train used in performing this method is shown in Figure 15A-1, and component parts are discussed below. Modifications to this sampling train are acceptable provided that the system performance check is met.
6.1.1 Probe. 6.4-mm ( 1/4-in.) OD Teflon tubing sequentially wrapped with heat-resistant fiber strips, a rubberized heating tape (with a plug at one end), and heat-resistant adhesive tape. A flexible thermocouple or some other suitable temperature-measuring device shall be placed between the Teflon tubing and the fiber strips so that the temperature can be monitored. The probe should be sheathed in stainless steel to provide in-stack rigidity. A series of bored-out stainless steel fittings placed at the front of the sheath will prevent flue gas from entering between the probe and sheath. The sampling probe is depicted in Figure 15A-2.
6.1.2 Particulate Filter. A 50-mm Teflon filter holder and a 1- to 2-mm porosity Teflon filter (available through Savillex Corporation, 5325 Highway 101, Minnetonka, Minnesota 55345). The filter holder must be maintained in a hot box at a temperature high enough to prevent condensation.
6.1.3 Combustion Air Delivery System. As shown in the schematic diagram in Figure 15A-3. The rate meter should be selected to measure an air flow rate of 0.5 liter/min (0.02 ft 3/min).
6.1.4 Combustion Tube. Quartz glass tubing with an expanded combustion chamber 2.54 cm (1 in.) in diameter and at least 30.5 cm (12 in.) long. The tube ends should have an outside diameter of 0.6 cm ( 1/4 in.) and be at least 15.3 cm (6 in.) long. This length is necessary to maintain the quartz-glass connector near ambient temperature and thereby avoid leaks. Alternatively, the outlet may be constructed with a 90 degree glass elbow and socket that would fit directly onto the inlet of the first peroxide impinger.
6.1.5 Furnace. Of sufficient size to enclose the combustion tube. The furnace must have a temperature regulator capable of maintaining the temperature at 1100 ±50 °C (2,012 ±90 °F). The furnace operating temperature must be checked with a thermocouple to ensure accuracy. Lindberg furnaces have been found to be satisfactory.
6.1.6 Peroxide Impingers, Stopcock Grease, Temperature Sensor, Drying Tube, Valve, Pump, and Barometer. Same as in Method 6, sections 6.1.1.2, 6.1.1.4, 6.1.1.5, 6.1.1.6, 6.1.1.7, 6.1.1.8, and 6.1.2, respectively, except that the midget bubbler of Method 6, section 6.1.1.2 is not required.
6.1.7 Vacuum Gauge and Rate Meter. At least 760 mm Hg (30 in. Hg) gauge and rotameter, or equivalent, capable of measuring flow rate to ±5 percent of the selected flow rate and calibrated as in section 10.2.
6.1.8 Volume Meter. Dry gas meter capable of measuring the sample volume under the particular sampling conditions with an accuracy of 2 percent.
6.1.9 U-tube manometer. To measure the pressure at the exit of the combustion gas dry gas meter.
6.2 Sample Recovery and Analysis. Same as Method 6, sections 6.2 and 6.3, except a 10-ml buret with 0.05-ml graduations is required for titrant volumes of less than 10.0 ml, and the spectrophotometer is not needed.
7.0 Reagents and StandardsNote:
Unless otherwise indicated, all reagents must conform to the specifications established by the Committee on Analytical Reagents of the American Chemical Society. When such specifications are not available, the best available grade shall be used.
7.1 Sample Collection. The following reagents and standards are required for sample analysis:
7.1.1 Water. Same as Method 6, section 7.1.1.
7.1.2 Hydrogen Peroxide (H2O2), 3 Percent by Volume. Same as Method 6, section 7.1.3 (40 ml is needed per sample).
7.1.3 Recovery Check Gas. Carbonyl sulfide in nitrogen [100 parts per million by volume (ppmv) or greater, if necessary] in an aluminum cylinder. Concentration certified by the manufacturer with an accuracy of ±2 percent or better, or verified by gas chromatography where the instrument is calibrated with a COS permeation tube.
7.1.4 Combustion Gas. Air, contained in a gas cylinder equipped with a two-stage regulator. The gas shall contain less than 50 ppb of reduced sulfur compounds and less than 10 ppm total hydrocarbons.
7.2 Sample Recovery and Analysis. Same as Method 6, sections 7.2 and 7.3.
8.0 Sample Collection, Preservation, Storage, and Transport8.1 Preparation of Sampling Train. For the Method 6 part of the train, measure 20 ml of 3 percent H2O2 into the first and second midget impingers. Leave the third midget impinger empty and add silica gel to the fourth impinger. Alternatively, a silica gel drying tube may be used in place of the fourth impinger. Place crushed ice and water around all impingers. Maintain the oxidation furnace at 1100 ±50 °C (2,012 ±90 °F) to ensure 100 percent oxidation of COS. Maintain the probe and filter temperatures at a high enough level (no visible condensation) to prevent moisture condensation and monitor the temperatures with a thermocouple.
8.2 Leak-Check Procedure. Assemble the sampling train and leak-check as described in Method 6, section 8.2. Include the combustion air delivery system from the needle valve forward in the leak-check.
8.3 Sample Collection. Adjust the pressure on the second stage of the regulator on the combustion air cylinder to 10 psig. Adjust the combustion air flow rate to 0.5 ±0.05 L/min (1.1 ±0.1 ft 3/hr) before injecting combustion air into the sampling train. Then inject combustion air into the sampling train, start the sample pump, and open the stack sample gas valve. Carry out these three operations within 15 to 30 seconds to avoid pressurizing the sampling train. Adjust the total sample flow rate to 2.0 ±0.2 L/min (4.2 ±0.4 ft 3/hr). These flow rates produce an O2 concentration of 5.0 percent in the stack gas, which must be maintained constantly to allow oxidation of reduced sulfur compounds to SO2. Adjust these flow rates during sampling as necessary. Monitor and record the combustion air manometer reading at regular intervals during the sampling period. Sample for 1 or 3 hours. At the end of sampling, turn off the sample pump and combustion air simultaneously (within 30 seconds of each other). All other procedures are the same as in Method 6, section 8.3, except that the sampling train should not be purged. After collecting the sample, remove the probe from the stack and conduct a leak-check according to the procedures outlined in section 8.2 of Method 6 (mandatory). After each 3-hour test run (or after three 1-hour samples), conduct one system performance check (see section 8.5). After this system performance check and before the next test run, it is recommended that the probe be rinsed and brushed and the filter replaced.
Note:
In Method 15, a test run is composed of 16 individual analyses (injects) performed over a period of not less than 3 hours or more than 6 hours. For Method 15A to be consistent with Method 15, the following may be used to obtain a test run: (1) Collect three 60-minute samples or (2) collect one 3-hour sample. (Three test runs constitute a test.)
8.4 Sample Recovery. Recover the hydrogen peroxide-containing impingers as detailed in Method 6, section 8.4.
8.5 System Performance Check.
8.5.1 A system performance check is done (1) to validate the sampling train components and procedure (before testing, optional) and (2) to validate a test run (after a run, mandatory). Perform a check in the field before testing consisting of at least two samples (optional), and perform an additional check after each 3-hour run or after three 1-hour samples (mandatory).
8.5.2 The checks involve sampling a known concentration of COS and comparing the analyzed concentration with the known concentration. Mix the recovery gas with N2 as shown in Figure 15A-4 if dilution is required. Adjust the flow rates to generate a COS concentration in the range of the stack gas or within 20 percent of the applicable standard at a total flow rate of at least 2.5 L/min (5.3 ft 3/hr). Use Equation 15A-4 (see section 12.5) to calculate the concentration of recovery gas generated. Calibrate the flow rate from both sources with a soap bubble flow tube so that the diluted concentration of COS can be accurately calculated. Collect 30-minute samples, and analyze in the same manner as the emission samples. Collect the samples through the probe of the sampling train using a manifold or some other suitable device that will ensure extraction of a representative sample.
8.5.3 The recovery check must be performed in the field before replacing the particulate filter and before cleaning the probe. A sample recovery of 100 ±20 percent must be obtained for the data to be valid and should be reported with the emission data, but should not be used to correct the data. However, if the performance check results do not affect the compliance or noncompliance status of the affected facility, the Administrator may decide to accept the results of the compliance test. Use Equation 15A-5 (see section 12.6) to calculate the recovery efficiency.
9.0 Quality Control| Section | Quality control measure | Effect |
|---|---|---|
| 8.5 | System performance check | Ensures validity of sampling train components and analytical procedure. |
| 8.2, 10.0 | Sampling equipment leak-check and calibration | Ensures accurate measurement of stack gas flow rate, sample volume. |
| 10.0 | Barium standard solution standardization | Ensures precision of normality determination. |
| 11.1 | Replicate titrations | Ensures precision of titration determinations. |
10.1 Metering System, Temperature Sensors, Barometer, and Barium Perchlorate Solution. Same as Method 6, sections 10.1, 10.2, 10.4, and 10.5, respectively.
10.2 Rate Meter. Calibrate with a bubble flow tube.
11.0 Analytical Procedure11.1 Sample Loss Check and Sample Analysis. Same as Method 6, sections 11.1 and 11.2.
12.0 Data Analysis and CalculationsIn the calculations, retain at least one extra decimal figure beyond that of the acquired data. Round off figures after final calculations.
12.1 Nomenclature.
CCOS = Concentration of COS recovery gas, ppm. CRG(act) = Actual concentration of recovery check gas (after dilution), ppm. CRG(m) = Measured concentration of recovery check gas generated, ppm. CRS = Concentration of reduced sulfur compounds as SO2, dry basis, corrected to standard conditions, ppm. N = Normality of barium perchlorate titrant, milliequivalents/ml. Pbar = Barometric pressure at exit orifice of the dry gas meter, mm Hg. Pstd = Standard absolute pressure, 760 mm Hg. QCOS = Flow rate of COS recovery gas, liters/min. QN = Flow rate of diluent N2, liters/min. R = Recovery efficiency for the system performance check, percent. Tm = Average dry gas meter absolute temperature, °K. Tstd = Standard absolute temperature, 293 °K. Va = Volume of sample aliquot titrated, ml. Vms = Dry gas volume as measured by the sample train dry gas meter, liters. Vmc = Dry gas volume as measured by the combustion air dry gas meter, liters. Vms(std) = Dry gas volume measured by the sample train dry gas meter, corrected to standard conditions, liters. Vmc(std) = Dry gas volume measured by the combustion air dry gas meter, corrected to standard conditions, liters. Vsoln = Total volume of solution in which the sulfur dioxide sample is contained, 100 ml. Vt = Volume of barium perchlorate titrant used for the sample (average of replicate titrations), ml. Vtb = Volume of barium perchlorate titrant used for the blank, ml. Y = Calibration factor for sampling train dry gas meter. Yc = Calibration factor for combustion air dry gas meter. 32.03 = Equivalent weight of sulfur dioxide, mg/meq.
12.2 Dry Sample Gas Volume, Corrected to Standard Conditions.
Where:
K1 = 0.3855 °K/mm Hg for metric units,
= 17.65 °R/in. Hg for English units.
12.3 Combustion Air Gas Volume, corrected to Standard Conditions.

Note:
Correct Pbar for the average pressure of the manometer during the sampling period.
12.4 Concentration of reduced sulfur compounds as ppm SO2.
Where:

12.5 Concentration of Generated Recovery Gas.

12.6 Recovery Efficiency for the System Performance Check.
13.0 Method Performance
13.1 Analytical Range. The lower detectable limit is 0.1 ppmv when sampling at 2 lpm for 3 hours or 0.3 ppmv when sampling at 2 lpm for 1 hour. The upper concentration limit of the method exceeds concentrations of reduced sulfur compounds generally encountered in sulfur recovery plants.
13.2 Precision. Relative standard deviations of 2.8 and 6.9 percent have been obtained when sampling a stream with a reduced sulfur compound concentration of 41 ppmv as SO2 for 1 and 3 hours, respectively.
13.3 Bias. No analytical bias has been identified. However, results obtained with this method are likely to contain a positive bias relative to emission regulations due to the presence of nonregulated sulfur compounds (that are present in petroleum) in the emissions. The magnitude of this bias varies accordingly, and has not been quantified.
14.0 Pollution Prevention [Reserved]15.0 Waste Management [Reserved]16.0 References1. American Society for Testing and Materials Annual Book of ASTM Standards. Part 31: Water, Atmospheric Analysis. Philadelphia, Pennsylvania. 1974. pp. 40-42.
2. Blosser, R.O., H.S. Oglesby, and A.K. Jain. A Study of Alternate SO2 Scrubber Designs Used for TRS Monitoring. National Council of the Paper Industry for Air and Stream Improvement, Inc., New York, New York. Special Report 77-05. July 1977.
3. Curtis, F., and G.D. McAlister. Development and Evaluation of an Oxidation/Method 6 TRS Emission Sampling Procedure. Emission Measurement Branch, Emission Standards and Engineering Division, U.S. Environmental Protection Agency, Research Triangle Park, North Carolina. February 1980.
4. Gellman, I. A Laboratory and Field Study of Reduced Sulfur Sampling and Monitoring Systems. National Council of the Paper Industry for Air and Stream Improvement, Inc., New York, New York. Atmospheric Quality Improvement Technical Bulletin No. 81. October 1975.
5. Margeson, J.H., et al. A Manual Method for TRS Determination. Journal of Air Pollution Control Association. 35:1280-1286. December 1985.
17.0 Tables, Diagrams, Flowcharts, and Validation Data



[36 FR 24877, Dec. 23, 1971]
Editorial Note:
For Federal Register citations affecting appendix A-5 to part 60, see the List of CFR sections Affected, which appears in the Finding Aids section of the printed volume and at www.govinfo.gov.