Appendix C to Part 63—Determination of the Fraction Biodegraded (Fbio) in a Biological Treatment Unit
I. PurposeThe purpose of this appendix is to define the procedures for an owner or operator to use to calculate the site specific fraction of organic compounds biodegraded (Fbio) in a biological treatment unit. If an acceptable level of organic compounds is destroyed rather than emitted to the air or remaining in the effluent, the biological treatment unit may be used to comply with the applicable treatment requirements without the unit being covered and vented through a closed vent system to an air pollution control device.
The determination of Fbio shall be made on a system as it would exist under the rule. The owner or operator should anticipate changes that would occur to the wastewater flow and concentration of organics, to be treated by the biological treatment unit, as a result of enclosing the collection and treatment system as required by the rule.
Unless otherwise specified, the procedures presented in this appendix are designed to be applied to thoroughly mixed treatment units. A thoroughly mixed treatment unit is a unit that is designed and operated to approach or achieve uniform biomass distribution and organic compound concentration throughout the aeration unit by quickly dispersing the recycled biomass and the wastewater entering the unit. Detailed discussion on how to determine if a biological treatment unit is thoroughly mixed can be found in reference 7. Systems that are not thoroughly mixed treatment units should be subdivided into a series of zones that have uniform characteristics within each zone. The number of zones required to characterize a biological treatment system will depend on the design and operation of the treatment system. Detailed discussion on how to determine the number of zones in a biological treatment unit and examples of determination of f bio can be found in reference 8. Each zone should then be modeled as a separate unit. The amount of air emissions and biodegradation from the modeling of these separate zones can then be added to reflect the entire system.
II. DefinitionsBiological treatment unit = wastewater treatment unit designed and operated to promote the growth of bacteria to destroy organic materials in wastewater.
fbio = The fraction of individual applicable organic compounds in the wastewater biodegraded in a biological treatment unit. Fbio = The fraction of total applicable organic compounds in the wastewater biodegraded in a biological treatment unit. Fe = The fraction of applicable organic compounds emitted from the wastewater to the atmosphere. K1 = First order biodegradation rate constant, L/g MLVSS-hr KL = liquid-phase mass transfer coefficient, m/s M = compound specific mass flow weighted average of organic compounds in the wastewater, Mg/Yr III. Procedures for Determination of fbioThe first step in the analysis to determine if a biological treatment unit may be used without being covered and vented through a closed-vent system to an air pollution control device is to determine the compound-specific fbio. The following procedures may be used to determine fbio:
(1) The EPA Test Method 304A or 304B (appendix A, part 63)—Method for the Determination of Biodegradation Rates of Organic Compounds,
(2) Performance data with and without biodegradation,
(3) Inlet and outlet concentration measurements,
(4) Batch tests,
(5) Multiple zone concentration measurements.
All procedures must be executed so that the resulting fbio is based on the collection system and waste management units being in compliance with the rule. If the collection system and waste management units meet the suppression requirements at the time of the test, any of the procedures may be chosen. If the collection system and waste management units are not in compliance at the time of the performance test, then only Method 304A, B, or the batch test shall be chosen. If Method 304A, B, or the batch test is used, any anticipated changes to the influent of the full-scale biological treatment unit that will occur after the facility has enclosed the collection system must be represented in the influent feed to the benchtop bioreactor unit, or test unit.
Select one or more appropriate procedures from the five listed above based on the availability of site specific data and the type of mixing that occurs in the unit (thoroughly mixed or multiple mixing zone). If the facility does not have site-specific data on the removal efficiency of its biological treatment unit, then Procedure 1 or Procedure 4 may be used. Procedure 1 allows the use of a benchtop bioreactor to determine the first-order biodegradation rate constant. An owner or operator may elect to assume the first order biodegradation rate constant is zero for any regulated compound(s) present in the wastewater. Procedure 4 explains two types of batch tests which may be used to estimate the first order biodegradation rate constant. An owner or operator may elect to assume the first order biodegradation rate constant is zero for any regulated compound(s) present in the wastewater. Procedure 3 would be used if the facility has, or measures to determine, data on the inlet and outlet individual organic compound concentration for the biological treatment unit. Procedure 3 may only be used on a thoroughly mixed treatment unit. Procedure 5 is the concentration measurement test that can be used for units with multiple mixing zones. Procedure 2 is used if a facility has or obtains performance data on a biotreatment unit prior to and after addition of the microbial mass. An example where Procedure 2 could be used is an activated sludge unit where measurements have been taken on inlet and exit concentration of organic compounds in the wastewater prior to seeding with the microbial mass and startup of the unit. The flow chart in figure 1 outlines the steps to use for each of the procedures.
A. Method 304A or 304B (Procedure 1)If the first procedure is selected, follow the instructions in appendix A of part 63 Method 304A “Method for the Determination of Biodegradation Rates of Organic Compounds (Vented Option)” or Method 304B “Method for the Determination of Biodegradation Rates of Organic Compounds (Scrubber Option).” Method 304A or 304B provides instruction on setting up and operating a self-contained benchtop bioreactor system which is operated under conditions representative of the target full-scale system. Method 304A uses a benchtop bioreactor system with a vent, and uses modeling to estimate any air emissions. Method 304B uses a benchtop bioreactor system which is equipped with a scrubber and is not vented.
There are some restrictions on which method a source may use. If the facility is measuring the rate of biodegradation of compounds that may tend to react or hydrolyze in the scrubber of Method 304B, this method shall not be used and Method 304A is the required method. If a Henry's law value is not available to use with Form V, then Method 304A shall not be used and Method 304B is the required method. When using either method, the feed flow to the benchtop bioreactor shall be representative of the flow and concentration of the wastewater that will be treated by the full-scale biological treatment unit after the collection and treatment system has been enclosed as required under the applicable subpart.
The conditions under which the full-scale biological treatment unit is run establish the operating parameters of Method 304A or 304B. If the biological treatment unit is operated under abnormal operating conditions (conditions outside the range of critical parameters examined and confirmed in the laboratory), the EPA believes this will adversely affect the biodegradation rate and is an unacceptable treatment option. The facility would be making multiple runs of the test method to simulate the operating range for its biological treatment unit. For wide ranges of variation in operating parameters, the facility shall demonstrate the biological treatment unit is achieving an acceptable level of control, as required by the regulation, across the ranges and not only at the endpoints.
If Method 304A is used, complete Form V initially. Form V is used to calculate K1 from the Method 304A results. Form V uses the Henry's law constant to estimate the fraction lost from the benchtop reactor vent. The owner or operator shall use the Henry's law values in Table I. Form V also gives direction for calculating an equivalent KL. Note on Form V if the calculated number for line 11 is greater than the calculated value for line 13, this procedure shall not be used to demonstrate the compound is biodegradable. If line 11 is greater than line 13, this is an indication the fraction emitted from the vent is greater than the fraction biodegraded. The equivalent KL determined on Form V is used in Form II (line 6). Estimation of the Fe and fbio must be done following the steps in Form III. Form III uses the previously calculated values of K1 and KL (equivalent KL), and site-specific parameters of the full-scale bioreactor as input to the calculations. Forms II, III, and V must be completed for each organic compound in the wastewater to determine Fe and fbio.
If Method 304B is used, perform the method and use the measurements to determine K1, which is the first-order biodegradation rate constant. Form I lists the sequence of steps in the procedure for calculating K1 from the Method 304B results. Once K1 is determined, KL must be calculated by use of mass transfer equations. Form II outlines the procedure to follow for use of mass transfer equations to determine KL. A computer program which incorporates these mass transfer equations may be used. Water7 is a program that incorporates these mass transfer equations and may be used to determine KL. Refer to Form II-A to determine KL, if Water7 or the most recent update to this model is used. In addition, the Bay Area Sewage Toxics Emission (BASTE) model version 3.0 or equivalent upgrade and the TOXCHEM (Environment Canada's Wastewater Technology Centre and Environmega, Ltd.) model version 1.10 or equivalent upgrade may also be used to determine KL for the biological treatment unit with several stipulations. The programs must be altered to output a KL value which is based on the site-specific parameters of the unit modeled, and the Henry's law values listed in Table I must be substituted for the existing Henry's law values in the programs. Input values used in the model and corresponding output values shall become documentation of the fbio determination. The owner or operator should be aware these programs do not allow modeling of certain units. To model these units, the owner or operator shall use one of the other appropriate procedures as outlined in this appendix. The owner or operator shall not use a default value for KL. The KL value determined by use of these models shall be based on the site-specific parameters of the specific unit. This KL value shall be inserted in Form II (line 6). Estimation of the Fe and fbio must be done following the steps in Form III. Form III uses the previously calculated values of K1 and KL, and site-specific parameters of the full-scale bioreactor as input to the calculations. Forms I, II, and III must be completed for each organic compound in the wastewater to determine Fe and fbio.
B. Performance Data With and Without Biodegradation (Procedure 2)Procedure 2 uses site-specific performance data that represents or characterizes operation of the unit both with and without biodegradation. As previously mentioned, proper determination of fbio must be made on a system as it would exist under the rule. Using Form IV, calculate KL and K1. After KL and K1 are determined, Form III is used to calculate Fe and fbio for each organic compound present in the wastewater.
C. Inlet and Outlet Concentration Measurements (Procedure 3)Procedure 3 uses measured inlet and outlet organic compound concentrations for the unit. This procedure may only be used on a thoroughly mixed treatment unit. Again, proper determination of fbio must be made on a system as it would exist under the rule. The first step in using this procedure is to calculate KL using Form II. A computer model may be used. If the Water7 model or the most recent update to this model is used, then use Form II-A to calculate KL. After KL is determined using field data, complete Form VI to calculate K1. The TOXCHEM or BASTE model may also be used to calculate KL for the biological treatment unit, with the stipulations listed in procedure 304B. After KL and K1 are determined, Form III is used to calculate Fe and fbio for each organic compound.
D. Batch Tests (Procedure 4)Two types of batch tests which may be used to determine kinetic parameters are: (1) The aerated reactor test and (2) the sealed reactor test. The aerated reactor test is also known as the BOX test (batch test with oxygen addition). The sealed reactor test is also known as the serum bottle test. These batch tests should be conducted only by persons familiar with procedures for determining biodegradation kinetics. Detailed discussions of batch procedures for determining biodegradation kinetic parameters can be found in references 1-4.
For both batch test approaches, a biomass sample from the activated sludge unit of interest is collected, aerated, and stored for no more than 4 hours prior to testing. To collect sufficient data when biodegradation is rapid, it may be necessary to dilute the biomass sample. If the sample is to be diluted, the biomass sample shall be diluted using treated effluent from the activated sludge unit of interest to a concentration such that the biodegradation test will last long enough to make at least six concentration measurements. It is recommended that the tests not be terminated until the compound concentration falls below the limit of quantitation (LOQ). Measurements that are below the LOQ should not be used in the data analysis. Biomass concentrations shall be determined using standard methods for measurement of mixed liquor volatile suspended solids (MLVSS) (reference 5).
The change in concentration of a test compound may be monitored by either measuring the concentration in the liquid or in the reactor headspace. The analytical technique chosen for the test should be as sensitive as possible. For the batch test procedures described in this section, equilibrium conditions must exist between the liquid and gas phases of the experiments because the data analysis procedures are based on this premise. To use the headspace sampling approach, the reactor headspace must be in equilibrium with the liquid so that the headspace concentrations can be correlated with the liquid concentrations. Before the biodegradation testing is conducted, the equilibrium assumption must be verified. A discussion of the equilibrium assumption verification is given below in sections D.1 and D.2 since different approaches are required for the two types of batch tests.
To determine biodegradation kinetic parameters in a batch test, it is important to choose an appropriate initial substrate (compound(s) of interest) concentration for the test. The outcome of the batch experiment may be influenced by the initial substrate (SO) to biomass (XO) ratio (see references 3, 4, and 6). This ratio is typically measured in chemical oxygen demand (COD) units. When the SO/XO ratio is low, cell multiplication and growth in the batch test is negligible and the kinetics measured by the test are representative of the kinetics in the activated sludge unit of interest. The SO/XO ratio for a batch test is determined with the following equation:
Where:
SO/XO = initial substrate to biomass ratio on a COD basis
Si = initial substrate concentration in COD units (g COD/L)
X = biomass concentration in the batch test (g MLVSS/L)
1.42 = Conversion factor to convert to COD units
For the batch tests described in this section, the SO/XO ratio (on a COD basis) must be initially less than 0.5.
1. Aerated Reactor Test. An aerated draft tube reactor may be used for the biokinetics testing (as an example see Figure 2 of appendix C). Other aerated reactor configurations may also be used. Air is bubbled through a porous frit at a rate sufficient to aerate and keep the reactor uniformly mixed. Aeration rates typically vary from 50 to 200 ml/min for a 1 liter system. A mass flow rate controller is used to carefully control the air flow rate because it is important to have an accurate measure of this rate. The dissolved oxygen (DO) concentration in the system must not fall below 2 mg/liter so that the biodegradation observed will not be DO-limited. Once the air flow rate is established, the test mixture (or compound) of interest is then injected into the reactor and the concentration of the compound(s) is monitored over time. Concentrations may be monitored in the liquid or in the headspace. A minimum of six samples shall be taken over the period of the test. However, it is necessary to collect samples until the compound concentration falls below the LOQ. If liquid samples are collected, they must be small enough such that the liquid volume in the batch reactor does not change by more than 10%.
Before conducting experiments with biomass, it is necessary to verify the equilibrium assumption. The equilibrium assumption can be verified by conducting a stripping experiment using the effluent (no biomass) from the activated sludge unit of interest. Effluent is filtered with a 0.45 um or smaller filter and placed in the draft tube reactor. Air is sparged into the system and the compound concentration in the liquid or headspace is monitored over time. This test with no biomass may provide an estimate of the Henry's law constant. If the system is at equilibrium, the Henry's law constant may be estimated with the following equation:
Where:
C = cencentration at time, t (min)
CO = concentration at t = 0
G = volumetric gas flow rate (ml/min)
V = liquid volume in the batch reactor (ml)
Keq = Henry's law constant (mg/L-gas)/(mg/L-liquid)
t = time (min)
A plot of—ln(C/Co) as a function of t will have a slope equal to GKeq/V. The equilibrium assumption can be verified by comparing the experimentally determined Keq for the system to literature values of the Henry's Law constant (including those listed in this appendix). If Keq does not match the Henry's law constant, Keq shall be determined from analysis of the headspace and liquid concentration in a batch system.
The concentration of a compound decreases in the bioreactor due to both biodegradation and stripping. Biodegradation processes are typically described with a Monod model. This model and a stripping expression are combined to give a mass balance for the aerated draft tube reactor):
Where:
s = test compound concentration, mg/liter
G = volumetric gas flow rate, liters/hr
Keq = Henry's Law constant measured in the system, (mg/liter gas)/(mg/liter liquid)
V = volume of liquid in the reactor, liters
X = biomass concentration (g MLVSS/liter)
Qm = maximum rate of substrate removal, mg/g MLVSS/hr
KS = Monod biorate constant at half the maximum rate, mg/liter
Equation App. C-3 can be integrated to obtain the following equation:
Where:
A = GKeqKs + QmVX
B = GKeqSo = test compound concentration at t = 0
This equation is used along with the substrate concentration versus time data to determine the best fit parameters (Qm and KS) to describe the biodegradation process in the aerated reactor. If the aerated reactor test is used, the following procedure is used to analyze the data. Evaluate Keq for the compound of interest with Form XI. The concentration in the vented headspace or liquid is measured as a function of time and the data is entered on Form XI. A plot is made from the data and attached to the Form XI. Keq is calculated on Form XI and the results are contrasted with the expected value of Henry's law obtained from Form IX. If the comparison is satisfactory, the stripping constant is calculated from Keq, completing Form XI. The values of Keq may differ because the theoretical value of Keq may not be applicable to the system of interest. If the comparison of the calculated Keq from the form and the expected value of Henry's law is unsatisfactory, Form X can alternatively be used to validate Keq. If the aerated reactor is demonstrated to not be at equilibrium, either modify the reactor design and/or operation, or use another type of batch test.
The compound-specific biorate constants are then measured using Form XII. The stripping constant that was determined from Form XI and a headspace correction factor of 1 are entered on Form XII. The aerated reactor biotest may then be run, measuring concentrations of each compound of interest as a function of time. If headspace concentrations are measured instead of liquid concentrations, then the corresponding liquid concentrations are calculated from the headspace measurements using the Keq determined on Form XI and entered on Form XII.
The concentration data on Form XII may contain scatter that can adversely influence the data interpretation. It is possible to curve fit the concentration data and enter the concentrations on the fitted curve instead of the actual data. If curve fitting is used, the curve-fitting procedure must be based upon the Equation App. C-4. When curve fitting is used, it is necessary to attach a plot of the actual data and the fitted curve to Form XII.
If the stripping rate constant is relatively large when compared to the biorate at low concentrations, it may be difficult to obtain accurate evaluations of the first-order biorate constant. In these cases, either reducing the stripping rate constant by lowering the aeration rate, or increasing the biomass concentrations should be considered.
The final result of the batch testing is the measurement of a biorate that can be used to estimate the fraction biodegraded, fbio. The number transferred to Form III is obtained from Form XII, line 9.
2. Sealed Reactor Test. This test uses a closed system to prevent losses of the test compound by volatilization. This test may be conducted using a serum bottle or a sealed draft tube reactor (for an example see Figure 3 of appendix C). Since no air is supplied, it is necessary to ensure that sufficient oxygen is present in the system. The DO concentration in the system must not fall below 2 mg/liter so that the biodegradation observed will not be DO-limited. As an alternative, oxygen may be supplied by electrolysis as needed to maintain the DO concentration above 2 mg/liter. The reactor contents must be uniformly mixed, by stirring or agitation using a shaker or similar apparatus. The test mixture (or compound) of interest is injected into the reactor and the concentration is monitored over time. A minimum of six samples shall be taken over the period of the test. However, it is necessary to monitor the concentration until it falls below the LOQ.
The equilibrium assumption must be verified for the batch reactor system. In this case, Keq may be determined by simultaneously measuring gas and liquid phase concentrations at different times within a given experiment. A constant ratio of gas/liquid concentrations indicates that equilibrium conditions are present and Keq is not a function of concentration. This ratio is then taken as the Keq for the specific compound in the test. It is not necessary to measure Keq for each experiment. If the ratio is not constant, the equilibrium assumption is not valid and it is necessary to (1) increase mixing energy for the system and retest for the equilibrium assumption, or (2) use a different type of test (for example, a collapsible volume reactor).
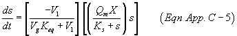
The concentration of a compound decreases in the bioreactor due to biodegradation according to Equation App. C-5:
Where:
s = test compound concentration (mg/liters)
Vl = the average liquid volume in the reactor (liters)
Vg = the average gas volume in the reactor (liters)
Qm = maximum rate of substrate removal (mg/g ML VSS/hr)
Keq = Henry's Law constant determined for the test, (mg/liter gas)/(mg/liter liquid)
Ks = Monod biorate constant at one-half the maximum rate (mg/liter)
t = time (hours)
X = biomass concentration (g ML VSS/liter)
so = test compound concentration at time t = 0
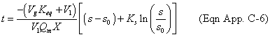
Equation App. C-5 can be solved analytically to give:

This equation is used along with the substrate concentration versus time data to determine the best fit parameters (Qm and Ks) to describe the biodegradation process in the sealed reactor.
If the sealed reactor test is used, Form X is used to determine the headspace correction factor. The disappearance of a compound in the sealed reactor test is slowed because a fraction of the compound is not available for biodegradation because it is present in the headspace. If the compound is almost entirely in the liquid phase, the headspace correction factor is approximately one. If the headspace correction factor is substantially less than one, improved mass transfer or reduced headspace may improve the accuracy of the sealed reactor test. A preliminary sealed reactor test must be conducted to test the equilibrium assumption. As the compound of interest is degraded, simultaneous headspace and liquid samples should be collected and Form X should be used to evaluate Keq. The ratio of headspace to liquid concentrations must be constant in order to confirm that equilibrium conditions exist. If equilibrium conditions are not present, additional mixing or an alternate reactor configuration may be required.
The compound-specific biorate constants are then calculated using Form XII. For the sealed reactor test, a stripping rate constant of zero and the headspace correction factor that was determined from Form X are entered on Form XII. The sealed reactor test may then be run, measuring the concentrations of each compound of interest as a function of time. If headspace concentrations are measured instead of liquid concentrations, then the corresponding liquid concentrations are calculated from the headspace measurements using Keq from Form X and entered on Form XII.
The concentration data on Form XII may contain scatter that can adversely influence the data interpretation. It is possible to curve fit the concentration data and enter the concentrations on the fitted curve instead of the actual data. If curve fitting is used, the curve-fitting procedure must be based upon Equation App. C-6. When curve fitting is used, it is necessary to attach a plot of the actual data and the fitted curve to Form XII.
If a sealed collapsible reactor is used that has no headspace, the headspace correction factor will equal 1, but the stripping rate constant may not equal 0 due to diffusion losses through the reactor wall. The ratio of the rate of loss of compound to the concentration of the compound in the reactor (units of per hour) must be evaluated. This loss ratio has the same units as the stripping rate constant and may be entered as the stripping rate constant on line 1 of Form XII.
If the loss due to diffusion through the walls of the collapsible reactor is relatively large when compared to the biorate at low concentrations, it may be difficult to obtain accurate evaluations of the first-order biorate constant. In these cases, either replacing the materials used to construct the reactor with materials of low permeability or increasing the biomass concentration should be considered.
The final result of the batch testing is the measurement of a biorate that can be used to estimate the fraction biodegraded, fbio. The number transferred to Form III is obtained from Form XII, line 9.
The number on Form XII line 9 will equal the Monod first-order biorate constant if the full-scale system is operated in the first-order range. If the full-scale system is operated at concentrations above that of the Monod first-order range, the value of the number on line 9 will be somewhat lower than the Monod first-order biorate constant. With supporting biorate data, the Monod model used in Form XII may be used to estimate the effective biorate constant K1 for use in Form III.
If a reactor with headspace is used, analysis of the data using equation App. C-6 is valid only if Vl and Vg do not change more than 10% (i.e., they can be approximated as constant for the duration of the test). Since biodegradation is occurring only in the liquid, as the liquid concentration decreases it is necessary for mass to transfer from the gas to the liquid phase. This may require vigorous mixing and/or reducing the volume in the headspace of the reactor.
If there is no headspace (e.g., a collapsible reactor), equation App. C-6 is independent of V1 and there are no restrictions on the liquid volume. If a membrane or bag is used as the collapsible-volume reactor, it may be important to monitor for diffusion losses in the system. To determine if there are losses, the bag should be used without biomass and spiked with the compound(s) of interest. The concentration of the compound(s) in the reactor should be monitored over time. The data are analyzed as described above for the sealed reactor test.
3. Quality Control/Quality Assurance (QA/QC). A QA/QC plan outlining the procedures used to determine the biodegradation rate constants shall be prepared and a copy maintained at the source. The plan should include, but may not be limited to:
1. A description of the apparatus used (e.g., size, volume, method of supplying air or oxygen, mixing, and sampling procedures) including a simplified schematic drawing.
2. A description of how biomass was sampled from the activated sludge unit.
3. A description of how biomass was held prior to testing (age, etc.).
4. A description of what conditions (DO, gas-liquid equilibrium, temperature, etc.) are important, what the target values are, how the factors were controlled, and how well they were controlled.
5. A description of how the experiment was conducted, including preparation of solutions, dilution procedures, sampling procedures, monitoring of conditions, etc.
6. A description of the analytical instrumentation used, how the instruments were calibrated, and a summary of the precision for that equipment.
7. A description of the analytical procedures used. If appropriate, reference to an ASTM, EPA or other procedure may be used. Otherwise, describe how the procedure is done, what is done to measure precision, accuracy, recovery, etc., as appropriate.
8. A description of how data are captured, recorded, and stored.
9. A description of the equations used and their solutions, including a reference to any software used for calculations and/or curve-fitting.
E. Multiple Zone Concentration Measurements (Procedure 5)Procedure 5 is the concentration measurement method that can be used to determine the fbio for units that are not thoroughly mixed and thus have multiple zones of mixing. As with the other procedures, proper determination of fbio must be made on a system as it would exist under the rule. For purposes of this calculation, the biological unit must be divided 1 into zones with uniform characteristics within each zone. The number of zones that is used depends on the complexity of the unit. Reference 8, “Technical Support Document for the Evaluation of Aerobic Biological Treatment Units with Multiple Mixing Zones,” is a source for further information concerning how to determine the number of zones that should be used for evaluating your unit. The following information on the biological unit must be available to use this procedure: basic unit variables such as inlet and recycle wastewater flow rates, type of agitation, and operating conditions; measured representative organic compound concentrations in each zone and the inlet and outlet; and estimated mass transfer coefficients for each zone.
1 This is a mathematical division of the actual unit; not addition of physical barriers.
Reference 8 “Technical Support Document for the Evaluation of Aerobic Biological Treatment Units with Multiple Mixing Zones,” is a source for further information concerning how to interpolate the biorates for multiple zones. In units with well-characterized concentration measurements obtained in an initial evaluation of the unit, it may be possible to demonstrate that there is a good correlation of the component concentrations with the locations in the multiple-zone unit. With this good correlation, it may be possible to accurately predict the concentrations in selected zones without actually testing each selected zone. This correlation method may be used for units that have many zones (greater than 5) or where one of the interior zones is not readily accessible for sampling. To use this correlation method of estimating zone concentrations, it is necessary to measure the concentrations in the inlet unit, the exit unit, and sufficient interior units to obtain a correlation of component concentrations with the locations. You cannot use this correlation method of estimating selected zone concentrations if monitoring of each zone is required, or if the accuracy and precision of the correlation is inferior to actual individual sampling error. The accuracy and precision of the correlation may be improved by increasing the number of locations tested. Because the correlation is based on many samples, it should provide an accurate representation of a stable operating system.
The estimated mass transfer coefficient for each compound in each zone is obtained from Form II using the characteristics of each zone. A computer model may be used. If the Water7 model or the most recent update to this model is used, then use Form II-A to calculate KL. The TOXCHEM or BASTE model may also be used to calculate KL for the biological treatment unit, with the stipulations listed in Procedure 304B. Compound concentration measurements for each zone are used in Form XIII to calculate the fbio. A copy of Form XIII is completed for each of the compounds of concern treated in the biological unit.
IV. Calculation of FbioAt this point, the individual fbios determined by the previously explained procedures must be summed to obtain the total Fbio. To determine the Fbio multiply each compound specific fbio by the compound-specific average mass flow rate of the organic compound in the wastewater stream (see regulation for instruction on calculation of average mass flow rate). Sum these products and divide by the total wastewater stream average mass flow rate of organic compounds.
M = compound specific average mass flow rate of the organic compounds in the wastewater (Mg/Yr)
n = number of organic compounds in the wastewater
The Fbio is then used in the applicable compliance equations in the regulation to determine if biodegradation may be used to comply with the treatment standard without covering and venting to an air pollution control device.
References1. Rajagopalan, S. et al. “Comparison of Methods for Determining Biodegradation Kinetics of Volatile Organic Compounds.” Proceedings of Water Environment Federation. 67th Annual Conference, October 15-19, 1994.
2. Ellis, T.G. et al. “Determination of Toxic Organic Chemical Biodegradation Kinetics Using Novel Respirometric Technique”. Proceedings Water Environment Federation, 67th Annual Conference, October 15-19, 1994.
3. Pitter, P. and J. Chudoba. Biodegradability of Organic Substances in the Aquatic Environment. CRC Press, Boca Raton, FL. 1990.
4. Grady, C.P.L., B. Smets, and D. Barbeau. Variability in kinetic parameter estimates: A review of possible causes and a proposed terminology. Wat. Res. 30 (3), 742-748, 1996.
5. Eaton, A.D., et al. eds., Standard Methods for the Examination of Water and Wastewater, 19th Edition, American Public Health Association, Washington, DC, 1995.
6. Chudoba P., B. Capdeville, and J. Chudoba. Explanation of biological meaning of the So/Xo ratio in batch cultivation. Wat. Sci. Tech. 26 (3/4), 743-751, 1992.
7. Technical Support Document for Evaluation of Thoroughly Mixed Biological Treatment Units. November 1998.
8. Technical Support Document for the Evaluation of Aerobic Biological Treatment Units with Multiple Mixing Zones. July 1999.
| Compound | HL @ 25 °C (atm/mole frac) | HL @ 100 °C (atm/mole frac) |
|---|---|---|
| 1 Acetaldehyde | 4.87e + 00 | 5.64e + 01 |
| 3 Acetonitrile | 1.11e + 00 | 1.78e + 01 |
| 4 Acetophenone | 5.09e−01 | 2.25e + 01 |
| 5 Acrolein | 4.57e + 00 | 6.61e + 01 |
| 8 Acrylonitrile | 5.45e + 00 | 6.67e + 01 |
| 9 Allyl chloride | 5.15e + 02 | 2.26e + 03 |
| 10 Aniline | 9.78e−02 | 1.42e + 00 |
| 12 Benzene | 3.08e + 02 | 1.93e + 03 |
| 14 Benzyl chloride | 1.77e + 01 | 2.88e + 02 |
| 15 Biphenyl | 2.27e + 01 | 1.27e + 03 |
| 17 Bromoform | 2.96e + 01 | 3.98e + 02 |
| 18 1,3-Butadiene | 3.96e + 03 | 1.56e + 04 |
| 20 Carbon disulfide | 1.06e + 03 | 3.60e + 03 |
| 21 Carbon tetrachloride | 1.68e + 03 | 1.69e + 04 |
| 23 2-Chloroacetophenone | 4.84e−02 | 1.43e + 01 |
| 24 Chlorobenzene | 2.09e + 02 | 3.12e + 03 |
| 25 Chloroform | 2.21e + 02 | 1.34e + 03 |
| 26 Chloroprene | 5.16e + 01 | 1.74e + 02 |
| 29 o-Cresol | 9.12e−02 | 2.44e + 01 |
| 31 Cumene | 7.28e + 02 | 7.15e + 03 |
| 32 1,4-Dichlorobenzene(p) | 1.76e + 02 | 1.95e + 03 |
| 33 Dichloroethyl ether | 1.14e + 00 | 3.57e + 01 |
| 34 1,3-Dichloropropene | 1.97e + 02 | 1.44e + 03 |
| 36 N,N-Dimethylaniline | 7.70e−01 | 5.67e + 02 |
| 37 Diethyl sulfate | 3.41e−01 | 4.22e + 01 |
| 38 3,3′-Dimethylbenzidine | 7.51e−05 | 5.09e−01 |
| 40 1,1-Dimethylhydrazine | 9.11e−02 | 1.57e + 01 |
| 42 Dimethyl sulfate | 2.23e−01 | 1.43e + 01 |
| 43 2,4-Dinitrophenol | 2.84e−01 | 1.50e + 02 |
| 44 2,4-Dinitrotoluene | 4.00e−01 | 9.62e + 00 |
| 45 1,4-Dioxane | 3.08e−01 | 9.53e + 00 |
| 47 Epichlorohydrin | 1.86e + 00 | 4.34e + 01 |
| 48 Ethyl acrylate | 1.41e + 01 | 3.01e + 02 |
| 49 Ethylbenzene | 4.38e + 02 | 4.27e + 03 |
| 50 Ethyl chloride (chloroethane) | 6.72e + 02 | 3.10e + 03 |
| 51 Ethylene dibromide | 3.61e + 01 | 5.15e + 02 |
| 52 Ethylene dichloride (1,2-Dichloroethane) | 6.54e + 01 | 5.06e + 02 |
| 54 Ethylene oxide | 1.32e + 01 | 9.09e + 01 |
| 55 Ethylidene dichloride (1,1-Dichloroethane) | 3.12e + 02 | 2.92e + 03 |
| 57 Ethylene glycol dimethyl ether | 1.95e + 00 | 4.12e + 01 |
| 60 Ethylene glycol monoethyl ether acetate | 9.86e−02 | 6.03e + 00 |
| 62 Ethylene glycol monomethyl ether acetate | 1.22e−01 | 6.93e + 00 |
| 64 Diethylene glycol dimethyl ether | 8.38e−02 | 4.69e + 00 |
| 69 Diethylene glycol diethyl ether | 1.19e−01 | 7.71e + 00 |
| 72 Ethylene glycol monobutyl ether acetate | 2.75e−01 | 2.50e + 01 |
| 73 Hexachlorobenzene | 9.45e + 01 | 2.57e + 04 |
| 74 Hexachlorobutadiene | 5.72e + 02 | 6.92e + 03 |
| 75 Hexachloroethane | 4.64e + 02 | 7.49e + 04 |
| 76 Hexane | 4.27e + 04 | 9.44e + 04 |
| 78 Isophorone | 3.68e−01 | 1.68e + 01 |
| 80 Methanol | 2.89e−01 | 7.73e + 00 |
| 81 Methyl bromide (Bromomethane) | 3.81e + 02 | 2.12e + 03 |
| 82 Methyl chloride (Chloromethane) | 4.90e + 02 | 2.84e + 03 |
| 83 Methyl chloroform (1,1,1-Trichloroethane) | 9.67e + 02 | 5.73e + 03 |
| 84 Methyl ethyl ketone (2-Butanone) | 7.22e + 00 | 5.92e + 01 |
| 86 Methyl isobutyl ketone (Hexone) | 2.17e + 01 | 3.72e + 02 |
| 88 Methyl methacrylate | 7.83e + 00 | 9.15e + 01 |
| 89 Methyl tert-butyl ether | 3.08e + 01 | 2.67e + 02 |
| 90 Methylene chloride (Dichloromethane) | 1.64e + 02 | 9.15e + 02 |
| 93 Naphthalene | 2.68e + 01 | 7.10e + 02 |
| 94 Nitrobenzene | 1.33e + 00 | 2.80e + 01 |
| 96 2-Nitropropane | 6.61e + 00 | 8.76e + 01 |
| 99 Phosgene | 7.80e + 02 | 3.51e + 03 |
| 102 Propionaldehyde | 3.32e + 00 | 1.42e + 02 |
| 103 Propylene dichloride | 1.59e + 02 | 1.27e + 03 |
| 104 Propylene oxide | 1.98e + 01 | 1.84e + 02 |
| 106 Styrene | 1.45e + 02 | 1.72e + 03 |
| 107 1,1,2,2-Tetrachloroethane | 1.39e + 01 | 1.99e + 02 |
| 108 Tetrachloroethylene (Perchloroethylene) | 9.83e + 02 | 1.84e + 04 |
| 109 Toluene | 3.57e + 02 | 2.10e + 03 |
| 112 o-Toluidine | 1.34e−01 | 1.15e + 01 |
| 113 1,2,4-Trichlorobenzene | 1.07e + 02 | 1.04e + 03 |
| 114 1,1,2-Trichloroethane | 4.58e + 01 | 5.86e + 02 |
| 115 Trichloroethylene | 5.67e + 02 | 7.66e + 03 |
| 116 2,4,5-Trichlorophenol | 4.84e−01 | 6.27e + 01 |
| 117 Triethylamine | 6.94e + 00 | 2.57e + 02 |
| 118 2,2,4-Trimethylpentane | 1.85e + 05 | 9.74e + 05 |
| 119 Vinyl acetate | 2.82e + 01 | 2.80e + 02 |
| 120 Vinyl chloride | 1.47e + 03 | 6.45e + 03 |
| 121 Vinylidene chloride (1,1-Dichloroethylene) | 1.44e + 03 | 1.40e + 04 |
| 123 m-Xylene | 4.13e + 02 | 3.25e + 03 |
| 124 o-Xylene | 2.71e + 02 | 2.55e + 03 |
| 125 p-Xylene | 4.13e + 02 | 3.20e + 03 |






















[62 FR 2801, Jan. 17, 1997, as amended at 63 FR 67794, Dec. 9, 1998; 66 FR 6935, Jan. 22, 2001]