Appendix A-3 to Part 60—Test Methods 4 through 5I
Method 4—Determination of moisture content in stack gases Method 5—Determination of particulate matter emissions from stationary sources Method 5A—Determination of particulate matter emissions from the asphalt processing and asphalt roofing industry Method 5B—Determination of nonsulfuric acid particulate matter emissions from stationary sources Method 5C [Reserved] Method 5D—Determination of particulate matter emissions from positive pressure fabric filters Method 5E—Determination of particulate matter emissions from the wool fiberglass insulation manufacturing industry Method 5F—Determination of nonsulfate particulate matter emissions from stationary sources Method 5G—Determination of particulate matter emissions from wood heaters (dilution tunnel sampling location) Method 5H—Determination of particulate emissions from wood heaters from a stack location Method 5I—Determination of Low Level Particulate Matter Emissions From Stationary SourcesThe test methods in this appendix are referred to in § 60.8 (Performance Tests) and § 60.11 (Compliance With Standards and Maintenance Requirements) of 40 CFR part 60, subpart A (General Provisions). Specific uses of these test methods are described in the standards of performance contained in the subparts, beginning with Subpart D.
Within each standard of performance, a section title “Test Methods and Procedures” is provided to: (1) Identify the test methods to be used as reference methods to the facility subject to the respective standard and (2) identify any special instructions or conditions to be followed when applying a method to the respective facility. Such instructions (for example, establish sampling rates, volumes, or temperatures) are to be used either in addition to, or as a substitute for procedures in a test method. Similarly, for sources subject to emission monitoring requirements, specific instructions pertaining to any use of a test method as a reference method are provided in the subpart or in Appendix B.
Inclusion of methods in this appendix is not intended as an endorsement or denial of their applicability to sources that are not subject to standards of performance. The methods are potentially applicable to other sources; however, applicability should be confirmed by careful and appropriate evaluation of the conditions prevalent at such sources.
The approach followed in the formulation of the test methods involves specifications for equipment, procedures, and performance. In concept, a performance specification approach would be preferable in all methods because this allows the greatest flexibility to the user. In practice, however, this approach is impractical in most cases because performance specifications cannot be established. Most of the methods described herein, therefore, involve specific equipment specifications and procedures, and only a few methods in this appendix rely on performance criteria.
Minor changes in the test methods should not necessarily affect the validity of the results and it is recognized that alternative and equivalent methods exist. section 60.8 provides authority for the Administrator to specify or approve (1) equivalent methods, (2) alternative methods, and (3) minor changes in the methodology of the test methods. It should be clearly understood that unless otherwise identified all such methods and changes must have prior approval of the Administrator. An owner employing such methods or deviations from the test methods without obtaining prior approval does so at the risk of subsequent disapproval and retesting with approved methods.
Within the test methods, certain specific equipment or procedures are recognized as being acceptable or potentially acceptable and are specifically identified in the methods. The items identified as acceptable options may be used without approval but must be identified in the test report. The potentially approvable options are cited as “subject to the approval of the Administrator” or as “or equivalent.” Such potentially approvable techniques or alternatives may be used at the discretion of the owner without prior approval. However, detailed descriptions for applying these potentially approvable techniques or alternatives are not provided in the test methods. Also, the potentially approvable options are not necessarily acceptable in all applications. Therefore, an owner electing to use such potentially approvable techniques or alternatives is responsible for: (1) assuring that the techniques or alternatives are in fact applicable and are properly executed; (2) including a written description of the alternative method in the test report (the written method must be clear and must be capable of being performed without additional instruction, and the degree of detail should be similar to the detail contained in the test methods); and (3) providing any rationale or supporting data necessary to show the validity of the alternative in the particular application. Failure to meet these requirements can result in the Administrator's disapproval of the alternative.
Method 4—Determination of Moisture Content in Stack GasesNote:
This method does not include all the specifications (e.g., equipment and supplies) and procedures (e.g., sampling) essential to its performance. Some material is incorporated by reference from other methods in this part. Therefore, to obtain reliable results, persons using this method should have a thorough knowledge of at least the following additional test methods: Method 1, Method 5, and Method 6.
1.1 Analytes.
| Analyte | CAS No. | Sensitivity |
|---|---|---|
| Water vapor (H2 O) | 7732-18-5 | N/A |
1.2 Applicability. This method is applicable for the determination of the moisture content of stack gas.
1.3 Data Quality Objectives. Adherence to the requirements of this method will enhance the quality of the data obtained from air pollutant sampling methods.
2.0 Summary of Method2.1 A gas sample is extracted at a constant rate from the source; moisture is removed from the sample stream and determined gravimetrically.
2.2 The method contains two possible procedures: a reference method and an approximation method.
2.2.1 The reference method is used for accurate determinations of moisture content (such as are needed to calculate emission data). The approximation method, provides estimates of percent moisture to aid in setting isokinetic sampling rates prior to a pollutant emission measurement run. The approximation method described herein is only a suggested approach; alternative means for approximating the moisture content (e.g., drying tubes, wet bulb-dry bulb techniques, condensation techniques, stoichiometric calculations, previous experience, etc.) are also acceptable.
2.2.2 The reference method is often conducted simultaneously with a pollutant emission measurement run. When it is, calculation of percent isokinetic, pollutant emission rate, etc., for the run shall be based upon the results of the reference method or its equivalent. These calculations shall not be based upon the results of the approximation method, unless the approximation method is shown, to the satisfaction of the Administrator, to be capable of yielding results within one percent H2O of the reference method.
3.0 Definitions [Reserved]4.0 Interferences4.1 The moisture content of saturated gas streams or streams that contain water droplets, as measured by the reference method, may be positively biased. Therefore, when these conditions exist or are suspected, a second determination of the moisture content shall be made simultaneously with the reference method, as follows: Assume that the gas stream is saturated. Attach a temperature sensor [capable of measuring to ±1 °C (2 °F)] to the reference method probe. Measure the stack gas temperature at each traverse point (see section 8.1.1.1) during the reference method traverse, and calculate the average stack gas temperature. Next, determine the moisture percentage, either by: (1) Using a psychrometric chart and making appropriate corrections if the stack pressure is different from that of the chart, or (2) using saturation vapor pressure tables. In cases where the psychrometric chart or the saturation vapor pressure tables are not applicable (based on evaluation of the process), alternative methods, subject to the approval of the Administrator, shall be used.
5.0 Safety5.1 Disclaimer. This method may involve hazardous materials, operations, and equipment. This test method may not address all of the safety problems associated with its use. It is the responsibility of the user of this test method to establish appropriate safety and health practices and determine the applicability of regulatory limitations prior to performing this test method.
6.0 Equipment and Supplies6.1 Reference Method. A schematic of the sampling train used in this reference method is shown in Figure 4-1.
6.1.1 Probe. Stainless steel or glass tubing, sufficiently heated to prevent water condensation, and equipped with a filter, either in-stack (e.g., a plug of glass wool inserted into the end of the probe) or heated out-of-stack (e.g., as described in Method 5), to remove particulate matter. When stack conditions permit, other metals or plastic tubing may be used for the probe, subject to the approval of the Administrator.
6.1.2 Condenser. Same as Method 5, section 6.1.1.8.
6.1.3 Cooling System. An ice bath container, crushed ice, and water (or equivalent), to aid in condensing moisture.
6.1.4 Metering System. Same as in Method 5, section 6.1.1.9, except do not use sampling systems designed for flow rates higher than 0.0283 m 3/min (1.0 cfm). Other metering systems, capable of maintaining a constant sampling rate to within 10 percent and determining sample gas volume to within 2 percent, may be used, subject to the approval of the Administrator.
6.1.5 Barometer and Balance. Same as Method 5, sections 6.1.2 and 6.2.5, respectively.
6.2. Approximation Method. A schematic of the sampling train used in this approximation method is shown in Figure 4-2.
6.2.1 Probe. Same as section 6.1.1.
6.2.2 Condenser. Two midget impingers, each with 30-ml capacity, or equivalent.
6.2.3 Cooling System. Ice bath container, crushed ice, and water, to aid in condensing moisture in impingers.
6.2.4 Drying Tube. Tube packed with new or regenerated 6- to 16-mesh indicating-type silica gel (or equivalent desiccant), to dry the sample gas and to protect the meter and pump.
6.2.5 Valve. Needle valve, to regulate the sample gas flow rate.
6.2.6 Pump. Leak-free, diaphragm type, or equivalent, to pull the gas sample through the train.
6.2.7 Volume Meter. Dry gas meter, sufficiently accurate to measure the sample volume to within 2 percent, and calibrated over the range of flow rates and conditions actually encountered during sampling.
6.2.8 Rate Meter. Rotameter, or equivalent, to measure the flow range from 0 to 3 liters/min (0 to 0.11 cfm).
6.2.9 Graduated Cylinder. 25-ml.
6.2.10 Barometer. Same as Method 5, section 6.1.2.
6.2.11 Vacuum Gauge. At least 760-mm (30-in.) Hg gauge, to be used for the sampling leak check.
7.0 Reagents and Standards [Reserved]8.0 Sample Collection, Preservation, Transport, and Storage8.1 Reference Method. The following procedure is intended for a condenser system (such as the impinger system described in section 6.1.1.8 of Method 5) incorporating volumetric analysis to measure the condensed moisture, and silica gel and gravimetric analysis to measure the moisture leaving the condenser.
8.1.1 Preliminary Determinations.
8.1.1.1 Unless otherwise specified by the Administrator, a minimum of eight traverse points shall be used for circular stacks having diameters less than 0.61 m (24 in.), a minimum of nine points shall be used for rectangular stacks having equivalent diameters less than 0.61 m (24 in.), and a minimum of twelve traverse points shall be used in all other cases. The traverse points shall be located according to Method 1. The use of fewer points is subject to the approval of the Administrator. Select a suitable probe and probe length such that all traverse points can be sampled. Consider sampling from opposite sides of the stack (four total sampling ports) for large stacks, to permit use of shorter probe lengths. Mark the probe with heat resistant tape or by some other method to denote the proper distance into the stack or duct for each sampling point.
8.1.1.2 Select a total sampling time such that a minimum total gas volume of 0.60 scm (21 scf) will be collected, at a rate no greater than 0.021 m 3/min (0.75 cfm). When both moisture content and pollutant emission rate are to be determined, the moisture determination shall be simultaneous with, and for the same total length of time as, the pollutant emission rate run, unless otherwise specified in an applicable subpart of the standards.
8.1.2 Preparation of Sampling Train.
8.1.2.1 Transfer water into the first two impingers, leave the third impinger empty and add silica gel to the fourth impinger. Weigh the impingers before sampling and record the weight to the nearest 0.5g at a minimum.
8.1.2.2 Set up the sampling train as shown in Figure 4-1. Turn on the probe heater and (if applicable) the filter heating system to temperatures of approximately 120 °C (248 °F), to prevent water condensation ahead of the condenser. Allow time for the temperatures to stabilize. Place crushed ice and water in the ice bath container.
8.1.3 Leak-Check Procedures.
8.1.3.1 Leak Check of Metering System Shown in Figure 4-1. That portion of the sampling train from the pump to the orifice meter should be leak-checked prior to initial use and after each shipment. Leakage after the pump will result in less volume being recorded than is actually sampled. The following procedure is suggested (see Figure 5-2 of Method 5): Close the main valve on the meter box. Insert a one-hole rubber stopper with rubber tubing attached into the orifice exhaust pipe. Disconnect and vent the low side of the orifice manometer. Close off the low side orifice tap. Pressurize the system to 13 to 18 cm (5 to 7 in.) water column by blowing into the rubber tubing. Pinch off the tubing and observe the manometer for one minute. A loss of pressure on the manometer indicates a leak in the meter box; leaks, if present, must be corrected.
8.1.3.2 Pretest Leak Check. A pretest leak check of the sampling train is recommended, but not required. If the pretest leak check is conducted, the following procedure should be used.
8.1.3.2.1 After the sampling train has been assembled, turn on and set the filter and probe heating systems to the desired operating temperatures. Allow time for the temperatures to stabilize.
8.1.3.2.2 Leak-check the train by first plugging the inlet to the filter holder and pulling a 380 mm (15 in.) Hg vacuum. Then connect the probe to the train, and leak-check at approximately 25 mm (1 in.) Hg vacuum; alternatively, the probe may be leak-checked with the rest of the sampling train, in one step, at 380 mm (15 in.) Hg vacuum. Leakage rates in excess of 4 percent of the average sampling rate or 0.00057 m 3/min (0.020 cfm), whichever is less, are unacceptable.
8.1.3.2.3 Start the pump with the bypass valve fully open and the coarse adjust valve completely closed. Partially open the coarse adjust valve, and slowly close the bypass valve until the desired vacuum is reached. Do not reverse the direction of the bypass valve, as this will cause water to back up into the filter holder. If the desired vacuum is exceeded, either leak-check at this higher vacuum, or end the leak check and start over.
8.1.3.2.4 When the leak check is completed, first slowly remove the plug from the inlet to the probe, filter holder, and immediately turn off the vacuum pump. This prevents the water in the impingers from being forced backward into the filter holder and the silica gel from being entrained backward into the third impinger.
8.1.3.3 Leak Checks During Sample Run. If, during the sampling run, a component (e.g., filter assembly or impinger) change becomes necessary, a leak check shall be conducted immediately before the change is made. The leak check shall be done according to the procedure outlined in section 8.1.3.2, except that it shall be done at a vacuum equal to or greater than the maximum value recorded up to that point in the test. If the leakage rate is found to be no greater than 0.00057 m 3/min (0.020 cfm) or 4 percent of the average sampling rate (whichever is less), the results are acceptable, and no correction will need to be applied to the total volume of dry gas metered; if, however, a higher leakage rate is obtained, either record the leakage rate and plan to correct the sample volume as shown in section 12.3 of Method 5, or void the sample run.
Note: Immediately after component changes, leak checks are optional. If such leak checks are done, the procedure outlined in section 8.1.3.2 should be used.
8.1.3.4 Post-Test Leak Check. A leak check of the sampling train is mandatory at the conclusion of each sampling run. The leak check shall be performed in accordance with the procedures outlined in section 8.1.3.2, except that it shall be conducted at a vacuum equal to or greater than the maximum value reached during the sampling run. If the leakage rate is found to be no greater than 0.00057 m 3 min (0.020 cfm) or 4 percent of the average sampling rate (whichever is less), the results are acceptable, and no correction need be applied to the total volume of dry gas metered. If, however, a higher leakage rate is obtained, either record the leakage rate and correct the sample volume as shown in section 12.3 of Method 5 or void the sampling run.
8.1.4 Sampling Train Operation. During the sampling run, maintain a sampling rate within 10 percent of constant rate, or as specified by the Administrator. For each run, record the data required on a data sheet similar to that shown in Figure 4-3. Be sure to record the dry gas meter reading at the beginning and end of each sampling time increment and whenever sampling is halted. Take other appropriate readings at each sample point at least once during each time increment.
Note:
When Method 4 is used concurrently with an isokinetic method (e.g., Method 5) the sampling rate should be maintained at isokinetic conditions rather than 10 percent of constant rate.
8.1.4.1 To begin sampling, position the probe tip at the first traverse point. Immediately start the pump, and adjust the flow to the desired rate. Traverse the cross section, sampling at each traverse point for an equal length of time. Add more ice and, if necessary, salt to maintain a temperature of less than 20 °C (68 °F) at the silica gel outlet.
8.1.4.2 At the end of the sample run, close the coarse adjust valve, remove the probe and nozzle from the stack, turn off the pump, record the final DGM meter reading, and conduct a post-test leak check, as outlined in section 8.1.3.4.
8.2 Approximation Method.
Note:
The approximation method described below is presented only as a suggested method (see section 2.0).
8.2.1 Place exactly 5 ml water in each impinger. Leak check the sampling train as follows: Temporarily insert a vacuum gauge at or near the probe inlet. Then, plug the probe inlet and pull a vacuum of at least 250 mm (10 in.) Hg. Note the time rate of change of the dry gas meter dial; alternatively, a rotameter (0 to 40 ml/min) may be temporarily attached to the dry gas meter outlet to determine the leakage rate. A leak rate not in excess of 2 percent of the average sampling rate is acceptable.
Note:
Release the probe inlet plug slowly before turning off the pump.
8.2.2 Connect the probe, insert it into the stack, and sample at a constant rate of 2 liters/min (0.071 cfm). Continue sampling until the dry gas meter registers about 30 liters (1.1 ft 3) or until visible liquid droplets are carried over from the first impinger to the second. Record temperature, pressure, and dry gas meter readings as indicated by Figure 4-4.
9.0 Quality Control9.1 Miscellaneous Quality Control Measures.
| Section | Quality control measure | Effect |
|---|---|---|
| Section 8.1.3.2.2 | Leak rate of the sampling system cannot exceed four percent of the average sampling rate or 0.00057 m3/min (0.020 cfm) | Ensures the accuracy of the volume of gas sampled. (Reference Method). |
| Section 8.2.1 | Leak rate of the sampling system cannot exceed two percent of the average sampling rate | Ensures the accuracy of the volume of gas sampled. (Approximation Method). |
9.2 Volume Metering System Checks. Same as Method 5, section 9.2.
10.0 Calibration and StandardizationNote:
Maintain a laboratory log of all calibrations.
10.1 Reference Method. Calibrate the metering system, temperature sensors, and barometer according to Method 5, sections 10.3, 10.5, and 10.6, respectively.
10.2 Approximation Method. Calibrate the metering system and the barometer according to Method 6, section 10.1 and Method 5, section 10.6, respectively.
10.3 Field Balance Calibration Check. Check the calibration of the balance used to weigh impingers with a weight that is at least 500g or within 50g of a loaded impinger. The weight must be ASTM E617-13 “Standard Specification for Laboratory Weights and Precision Mass Standards” (incorporated by reference-see 40 CFR 60.17) Class 6 (or better). Daily, before use, the field balance must measure the weight within ± 0.5g of the certified mass. If the daily balance calibration check fails, perform corrective measures and repeat the check before using balance.
11.0 Analytical Procedure11.1 Reference Method. Weigh the impingers after sampling and record the difference in weight to the nearest 0.5 g at a minimum. Determine the increase in weight of the silica gel (or silica gel plus impinger) to the nearest 0.5 g at a minimum. Record this information (see example data sheet, Figure 4-5), and calculate the moisture content, as described in section 12.0.
11.2 Approximation Method. Weigh the contents of the two impingers, and measure the weight to the nearest 0.5 g.
12.0 Data Analysis and CalculationsCarry out the following calculations, retaining at least one extra significant figure beyond that of the acquired data. Round off figures after final calculation.
12.1 Reference Method.
12.1.1 Nomenclature.
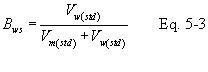
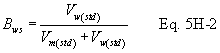
Bws = Proportion of water vapor, by volume, in the gas stream.
Mw = Molecular weight of water, 18.015 g/g-mole (18.015 lb/lb-mole).
Pm = Absolute pressure (for this method, same as barometric pressure) at the dry gas meter, mm Hg (in. Hg).
Pstd = Standard absolute pressure, 760 mm Hg (29.92 in. Hg).
R = Ideal gas constant, 0.06236 (mm Hg)(m 3)/(g-mole)(°K) for metric units and 21.85 (in. Hg)(ft 3)/(lb-mole) (°R) for English units.
Tm = Absolute temperature at meter, °K (°R).
Tstd = Standard absolute temperature, 293.15 °K (527.67 °R).
Vf = Final weight of condenser water plus impinger, g.
Vi = Initial weight, if any, of condenser water plus impinger, g.
Vm = Dry gas volume measured by dry gas meter, dcm (dcf).
Vm(std) = Dry gas volume measured by the dry gas meter, corrected to standard conditions, dscm (dscf).
Vwc(std) = Volume of water vapor condensed, corrected to standard conditions, scm (scf).
Vwsg(std) = Volume of water vapor collected in silica gel, corrected to standard conditions, scm (scf).
Wf = Final weight of silica gel or silica gel plus impinger, g.
Wi = Initial weight of silica gel or silica gel plus impinger, g.
Y = Dry gas meter calibration factor.
ΔVm = Incremental dry gas volume measured by dry gas meter at each traverse point, dcm (dcf).
12.1.2 Volume of Water Vapor Condensed.
Where:
K1 = 0.001335 m
3/g for metric units,
= 0.04716 ft
3/g for English units.
12.1.3 Volume of Water Collected in Silica Gel.
Where:
K3 = 0.001335 m
3/g for metric units = 0.04716 ft
3/g for English units.
12.1.4 Sample Gas Volume.
Where:
K4 = 0.3855 °K/mm Hg for metric units,
= 17.64 °R/in. Hg for English units.
Note:
If the post-test leak rate (Section 8.1.4.2) exceeds the allowable rate, correct the value of Vm in Equation 4-3, as described in section 12.3 of Method 5.
12.1.5 Moisture Content.

12.1.6 Verification of Constant Sampling Rate. For each time increment, determine the ΔVm. Calculate the average. If the value for any time increment differs from the average by more than 10 percent, reject the results, and repeat the run.
12.1.7 In saturated or moisture droplet-laden gas streams, two calculations of the moisture content of the stack gas shall be made, one using a value based upon the saturated conditions (see section 4.1), and another based upon the results of the impinger analysis. The lower of these two values of Bws shall be considered correct.
12.2 Approximation Method. The approximation method presented is designed to estimate the moisture in the stack gas; therefore, other data, which are only necessary for accurate moisture determinations, are not collected. The following equations adequately estimate the moisture content for the purpose of determining isokinetic sampling rate settings.
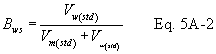
12.2.1 Nomenclature.
Bwm = Approximate proportion by volume of water vapor in the gas stream leaving the second impinger, 0.025.
Bws = Water vapor in the gas stream, proportion by volume.
Mw = Molecular weight of water, 18.015 g/g-mole (18.015 lb/lb-mole).
Pm = Absolute pressure (for this method, same as barometric pressure) at the dry gas meter, mm Hg (in. Hg).
Pstd = Standard absolute pressure, 760 mm Hg (29.92 in. Hg).
R = Ideal gas constant, 0.06236 [(mm Hg)(m 3)]/[(g-mole)(K)] for metric units and 21.85 [(in. Hg)(ft 3)]/[(lb-mole)(°R)] for English units.
Tm = Absolute temperature at meter, °K (°R).
Tstd = Standard absolute temperature, 293.15 °K (527.67 °R).
Vf = Final weight of condenser water plus impinger, g.
Vi = Initial weight, if any, of condenser water plus impinger, g.
Vm = Dry gas volume measured by dry gas meter, dcm (dcf).
Vm(std) = Dry gas volume measured by dry gas meter, corrected to standard conditions, dscm (dscf).
Vwc(std) = Volume of water vapor condensed, corrected to standard conditions, scm (scf).
Y = Dry gas meter calibration factor.
12.2.2 Volume of Water Vapor Collected.

K5 = 0.001335 m 3/g for metric units,
= 0.04716 ft 3/g for English units.
12.2.3 Sample Gas Volume.
Where:
K6 = 0.3855 °K/mm Hg for metric units,
= 17.64 °R/in. Hg for English units.
12.2.4 Approximate Moisture Content.

12.2.5 Using F-factors to determine approximate moisture for estimating moisture content where no wet scrubber is being used, for the purpose of determining isokinetic sampling rate settings with no fuel sample, is acceptable using the average Fc or Fd factor from Method 19 (see Method 19, section 12.3.1). If this option is selected, calculate the approximate moisture as follows:
Bws = BH + BA+ BFWhere: BA = Mole Fraction of moisture in the ambient air.
Bws = Mole fraction of moisture in the stack gas.
Fd = Volume of dry combustion components per unit of heat content at 0 percent oxygen, dscf/10
6.
Btu (scm/J). See Table 19-2 in Method 19.
Fw = Volume of wet combustion components per unit of heat content at 0 percent oxygen, wet.scf/10 6 Btu (scm/J). See Table 19-2 in Method 19.
%RH = Percent relative humidity (calibrated hygrometer acceptable), percent. PBar = Barometric pressure, in. Hg. T = Ambient temperature, °F. W = Percent free water by weight, percent. O2 = Percent oxygen in stack gas, dry basis, percent. 13.0 Method Performance [Reserved]14.0 Pollution Prevention [Reserved]15.0 Waste Management [Reserved]16.0 Alternative Procedures16.1 The procedure described in Method 5 for determining moisture content is an acceptable alternative to Method 4.
16.2 The procedures in Method 6A for determining moisture is an acceptable alternative to Method 4.
16.3 Method 320 is an acceptable alternative to Method 4 for determining moisture.
16.4 Using F-factors to determine moisture is an acceptable alternative to Method 4 for a combustion stack not using a scrubber, and where a fuel sample is taken during the test run and analyzed for development of an Fd factor (see Method 19, section 12.3.2), and where stack O2 content is measured by Method 3A or 3B during each test run. If this option is selected, calculate the moisture content as follows:
Bws = BH + BA + BFWhere: BA = Mole fraction of moisture in the ambient air.
Note:
Values of BA should be between 0.00 and 0.06 with common values being about 0.015.

Note:
Free water in fuel is minimal for distillate oil and gases, such as propane and natural gas, so this step may be omitted for those fuels.
Bws = Mole fraction of moisture in the stack gas.
Fd = Volume of dry combustion components per unit of heat content at 0 percent oxygen, dscf/10
6 Btu (scm/J). Develop a test specific Fd value using an integrated fuel sample from each test run and Equation 19-13 in section 12.3.2 of Method 19.
Fw = Volume of wet combustion components per unit of heat content at 0 percent oxygen, wet scf/10
6 Btu (scm/J). Develop a test specific Fw value using an integrated fuel sample from each test run and Equation 19-14 in section 12.3.2 of Method 19.
%RH = Percent relative humidity (calibrated hygrometer acceptable), percent.
PBar = Barometric pressure, in. Hg.
T = Ambient temperature, °F.
W = Percent free water by weight, percent.
O2 = Percent oxygen in stack gas, dry basis, percent.
17.0 References
1. Air Pollution Engineering Manual (Second Edition). Danielson, J.A. (ed.). U.S. Environmental Protection Agency, Office of Air Quality Planning and Standards. Research Triangle Park, NC. Publication No. AP-40. 1973.
2. Devorkin, Howard, et al. Air Pollution Source Testing Manual. Air Pollution Control District, Los Angeles, CA. November 1963.
3. Methods for Determination of Velocity, Volume, Dust and Mist Content of Gases. Western Precipitation Division of Joy Manufacturing Co. Los Angeles, CA. Bulletin WP-50. 1968.
18.0 Tables, Diagrams, Flowcharts, and Validation Data
Figure 4-3. Moisture Determination—Reference Method


Method 5—Determination of Particulate Matter Emissions From Stationary Sources
Note:
This method does not include all of the specifications (e.g., equipment and supplies) and procedures (e.g., sampling and analytical) essential to its performance. Some material is incorporated by reference from other methods in this part. Therefore, to obtain reliable results, persons using this method should have a thorough knowledge of at least the following additional test methods: Method 1, Method 2, Method 3.
1.1 Analyte. Particulate matter (PM). No CAS number assigned.
1.2 Applicability. This method is applicable for the determination of PM emissions from stationary sources.
1.3 Data Quality Objectives. Adherence to the requirements of this method will enhance the quality of the data obtained from air pollutant sampling methods.
2.0 Summary of MethodParticulate matter is withdrawn isokinetically from the source and collected on a glass fiber filter maintained at a temperature of 120 ±14 °C (248 ±25 °F) or such other temperature as specified by an applicable subpart of the standards or approved by the Administrator for a particular application. The PM mass, which includes any material that condenses at or above the filtration temperature, is determined gravimetrically after the removal of uncombined water.
3.0 Definitions [Reserved]4.0 Interferences [Reserved]5.0 Safety5.1 Disclaimer. This method may involve hazardous materials, operations, and equipment. This test method may not address all of the safety problems associated with its use. It is the responsibility of the user of this test method to establish appropriate safety and health practices and to determine the applicability of regulatory limitations prior to performing this test method.
6.0 Equipment and Supplies6.1 Sample Collection. The following items are required for sample collection:
6.1.1 Sampling Train. A schematic of the sampling train used in this method is shown in Figure 5-1 in section 18.0. Complete construction details are given in APTD-0581 (Reference 2 in section 17.0); commercial models of this train are also available. For changes from APTD-0581 and for allowable modifications of the train shown in Figure 5-1, see the following subsections.
Note:
The operating and maintenance procedures for the sampling train are described in APTD-0576 (Reference 3 in section 17.0). Since correct usage is important in obtaining valid results, all users should read APTD-0576 and adopt the operating and maintenance procedures outlined in it, unless otherwise specified herein.
6.1.1.1 Probe Nozzle. Stainless steel (316) or glass with a sharp, tapered leading edge. The angle of taper shall be ≤30°, and the taper shall be on the outside to preserve a constant internal diameter. The probe nozzle shall be of the button-hook or elbow design, unless otherwise specified by the Administrator. If made of stainless steel, the nozzle shall be constructed from seamless tubing. Other materials of construction may be used, subject to the approval of the Administrator. A range of nozzle sizes suitable for isokinetic sampling should be available. Typical nozzle sizes range from 0.32 to 1.27 cm ( 1/8 to 1/2 in) inside diameter (ID) in increments of 0.16 cm ( 1/16 in). Larger nozzles sizes are also available if higher volume sampling trains are used. Each nozzle shall be calibrated, according to the procedures outlined in section 10.1.
6.1.1.2 Probe Liner. Borosilicate or quartz glass tubing with a heating system capable of maintaining a probe gas temperature during sampling of 120 ±14 °C (248 ±25 °F), or such other temperature as specified by an applicable subpart of the standards or as approved by the Administrator for a particular application. Since the actual temperature at the outlet of the probe is not usually monitored during sampling, probes constructed according to APTD-0581 and utilizing the calibration curves of APTD-0576 (or calibrated according to the procedure outlined in APTD-0576) will be considered acceptable. Either borosilicate or quartz glass probe liners may be used for stack temperatures up to about 480 °C (900 °F); quartz glass liners shall be used for temperatures between 480 and 900 °C (900 and 1,650 °F). Both types of liners may be used at higher temperatures than specified for short periods of time, subject to the approval of the Administrator. The softening temperature for borosilicate glass is 820 °C (1500 °F), and for quartz glass it is 1500 °C (2700 °F). Whenever practical, every effort should be made to use borosilicate or quartz glass probe liners. Alternatively, metal liners (e.g., 316 stainless steel, Incoloy 825 or other corrosion resistant metals) made of seamless tubing may be used, subject to the approval of the Administrator.
6.1.1.3 Pitot Tube. Type S, as described in section 6.1 of Method 2, or other device approved by the Administrator. The pitot tube shall be attached to the probe (as shown in Figure 5-1) to allow constant monitoring of the stack gas velocity. The impact (high pressure) opening plane of the pitot tube shall be even with or above the nozzle entry plane (see Method 2, Figure 2-7) during sampling. The Type S pitot tube assembly shall have a known coefficient, determined as outlined in section 10.0 of Method 2.
6.1.1.4 Differential Pressure Gauge. Inclined manometer or equivalent device (two), as described in section 6.2 of Method 2. One manometer shall be used for velocity head (Δp) readings, and the other, for orifice differential pressure readings.
6.1.1.5 Filter Holder. Borosilicate glass, with a glass or Teflon frit filter support and a silicone rubber gasket. Other materials of construction (e.g., stainless steel or Viton) may be used, subject to the approval of the Administrator. The holder design shall provide a positive seal against leakage from the outside or around the filter. The holder shall be attached immediately at the outlet of the probe (or cyclone, if used).
6.1.1.6 Filter Heating System. Any heating system capable of monitoring and maintaining temperature around the filter shall be used to ensure the sample gas temperature exiting the filter of 120 ±14 °C (248 ±25 °F) during sampling or such other temperature as specified by an applicable subpart of the standards or approved by the Administrator for a particular application. The monitoring and regulation of the temperature around the filter may be done with the filter temperature sensor or another temperature sensor.
6.1.1.7 Filter Temperature Sensor. A temperature sensor capable of measuring temperature to within ±3 °C (5.4 °F) shall be installed so that the sensing tip of the temperature sensor is in direct contact with the sample gas exiting the filter. The sensing tip of the sensor may be encased in glass, Teflon, or metal and must protrude at least 1/2 in. into the sample gas exiting the filter. The filter temperature sensor must be monitored and recorded during sampling to ensure a sample gas temperature exiting the filter of 120 ±14 °C (248 ±25 °F), or such other temperature as specified by an applicable subpart of the standards or approved by the Administrator for a particular application.
6.1.1.8 Condenser. The following system shall be used to determine the stack gas moisture content: Four impingers connected in series with leak-free ground glass fittings or any similar leak-free noncontaminating fittings. The first, third, and fourth impingers shall be of the Greenburg-Smith design, modified by replacing the tip with a 1.3 cm ( 1/2 in.) ID glass tube extending to about 1.3 cm ( 1/2 in.) from the bottom of the flask. The second impinger shall be of the Greenburg-Smith design with the standard tip. Modifications (e.g., using flexible connections between the impingers, using materials other than glass, or using flexible vacuum lines to connect the filter holder to the condenser) may be used, subject to the approval of the Administrator. The first and second impingers shall contain known quantities of water (Section 8.3.1), the third shall be empty, and the fourth shall contain a known weight of silica gel, or equivalent desiccant. A temperature sensor, capable of measuring temperature to within 1 °C (2 °F) shall be placed at the outlet of the fourth impinger for monitoring purposes. Alternatively, any system that cools the sample gas stream and allows measurement of the water condensed and moisture leaving the condenser, each to within 0.5 g may be used, subject to the approval of the Administrator. An acceptable technique involves the measurement of condensed water either gravimetrically and the determination of the moisture leaving the condenser by: (1) Monitoring the temperature and pressure at the exit of the condenser and using Dalton's law of partial pressures; or (2) passing the sample gas stream through a tared silica gel (or equivalent desiccant) trap with exit gases kept below 20 °C (68 °F) and determining the weight gain. If means other than silica gel are used to determine the amount of moisture leaving the condenser, it is recommended that silica gel (or equivalent) still be used between the condenser system and pump to prevent moisture condensation in the pump and metering devices and to avoid the need to make corrections for moisture in the metered volume.
Note:
If a determination of the PM collected in the impingers is desired in addition to moisture content, the impinger system described above shall be used, without modification. Individual States or control agencies requiring this information shall be contacted as to the sample recovery and analysis of the impinger contents.
6.1.1.9 Metering System. Vacuum gauge, leak-free pump, calibrated temperature sensors, dry gas meter (DGM) capable of measuring volume to within 2 percent, and related equipment, as shown in Figure 5-1. Other metering systems capable of maintaining sampling rates within 10 percent of isokinetic and of determining sample volumes to within 2 percent may be used, subject to the approval of the Administrator. When the metering system is used in conjunction with a pitot tube, the system shall allow periodic checks of isokinetic rates. The average DGM temperature for use in the calculations of section 12.0 may be obtained by averaging the two temperature sensors located at the inlet and outlet of the DGM as shown in Figure 5-3 or alternatively from a single temperature sensor located at the immediate outlet of the DGM or the plenum of the DGM.
6.1.1.10 Sampling trains utilizing metering systems designed for higher flow rates than that described in APTD-0581 or APTD-0576 may be used provided that the specifications of this method are met.
6.1.2 Barometer. Mercury, aneroid, or other barometer capable of measuring atmospheric pressure to within 2.5 mm Hg (0.1 in.).
Note:
The barometric pressure reading may be obtained from a nearby National Weather Service station. In this case, the station value (which is the absolute barometric pressure) shall be requested and an adjustment for elevation differences between the weather station and sampling point shall be made at a rate of minus 2.5 mm Hg (0.1 in.) per 30 m (100 ft) elevation increase or plus 2.5 mm Hg (0.1 in) per 30 m (100 ft) elevation decrease.
6.1.3 Gas Density Determination Equipment. Temperature sensor and pressure gauge, as described in sections 6.3 and 6.4 of Method 2, and gas analyzer, if necessary, as described in Method 3. The temperature sensor shall, preferably, be permanently attached to the pitot tube or sampling probe in a fixed configuration, such that the tip of the sensor extends beyond the leading edge of the probe sheath and does not touch any metal. Alternatively, the sensor may be attached just prior to use in the field. Note, however, that if the temperature sensor is attached in the field, the sensor must be placed in an interference-free arrangement with respect to the Type S pitot tube openings (see Method 2, Figure 2-4). As a second alternative, if a difference of not more than 1 percent in the average velocity measurement is to be introduced, the temperature sensor need not be attached to the probe or pitot tube. (This alternative is subject to the approval of the Administrator.)
6.2 Sample Recovery. The following items are required for sample recovery:
6.2.1 Probe-Liner and Probe-Nozzle Brushes. Nylon bristle brushes with stainless steel wire handles. The probe brush shall have extensions (at least as long as the probe) constructed of stainless steel, Nylon, Teflon, or similarly inert material. The brushes shall be properly sized and shaped to brush out the probe liner and nozzle.
6.2.2 Wash Bottles. Two Glass wash bottles are recommended. Alternatively, polyethylene wash bottles may be used. It is recommended that acetone not be stored in polyethylene bottles for longer than a month.
6.2.3 Glass Sample Storage Containers. Chemically resistant, borosilicate glass bottles, for acetone washes, 500 ml or 1000 ml. Screw cap liners shall either be rubber-backed Teflon or shall be constructed so as to be leak-free and resistant to chemical attack by acetone. (Narrow mouth glass bottles have been found to be less prone to leakage.) Alternatively, polyethylene bottles may be used.
6.2.4 Petri dishes. For filter samples; glass, polystyrene, or polyethylene, unless otherwise specified by the Administrator.
6.2.5 Balance. To measure condensed water to within 0.5 g at a minimum.
6.2.6 Plastic Storage Containers. Air-tight containers to store silica gel.
6.2.7 Funnel and Rubber Policeman. To aid in transfer of silica gel to container; not necessary if silica gel is weighed in the field.
6.2.8 Funnel. Glass or polyethylene, to aid in sample recovery.
6.3 Sample Analysis. The following equipment is required for sample analysis:
6.3.1 Glass Weighing Dishes.
6.3.2 Desiccator.
6.3.3 Analytical Balance. To measure to within 0.1 mg.
6.3.4 Balance. To measure to within 0.5 g.
6.3.5 Beakers. 250 ml.
6.3.6 Hygrometer. To measure the relative humidity of the laboratory environment.
6.3.7 Temperature Sensor. To measure the temperature of the laboratory environment.
7.0 Reagents and Standards7.1 Sample Collection. The following reagents are required for sample collection:
7.1.1 Filters. Glass fiber filters, without organic binder, exhibiting at least 99.95 percent efficiency (<0.05 percent penetration) on 0.3 micron dioctyl phthalate smoke particles. The filter efficiency test shall be conducted in accordance with ASTM Method D 2986-71, 78, or 95a (incorporated by reference—see § 60.17). Test data from the supplier's quality control program are sufficient for this purpose. In sources containing SO2 or SO3, the filter material must be of a type that is unreactive to SO2 or SO3. Reference 10 in section 17.0 may be used to select the appropriate filter.
7.1.2 Silica Gel. Indicating type, 6 to 16 mesh. If previously used, dry at 175 °C (350 °F) for 2 hours. New silica gel may be used as received. Alternatively, other types of desiccants (equivalent or better) may be used, subject to the approval of the Administrator.
7.1.3 Water. When analysis of the material caught in the impingers is required, deionized distilled water [to conform to ASTM D1193-77 or 91 Type 3 (incorporated by reference—see § 60.17)] with at least <0.001 percent residue shall be used or as specified in the applicable method requiring analysis of the water. Run reagent blanks prior to field use to eliminate a high blank on test samples.
7.1.4 Crushed Ice.
7.2 Sample Recovery. Acetone, reagent grade, ≤0.001 percent residue, in glass bottles, is required. Acetone from metal containers generally has a high residue blank and should not be used. Sometimes, suppliers transfer acetone to glass bottles from metal containers; thus, acetone blanks shall be run prior to field use and only acetone with low blank values (≤0.001 percent) shall be used. In no case shall a blank value of greater than 0.001 percent of the weight of acetone used be subtracted from the sample weight.
7.3 Sample Analysis. The following reagents are required for sample analysis:
7.3.1 Acetone. Same as in section 7.2.
7.3.2 Desiccant. Anhydrous calcium sulfate, indicating type. Alternatively, other types of desiccants may be used, subject to the approval of the Administrator.
8.0 Sample Collection, Preservation, Storage, and Transport8.1 Pretest Preparation. It is suggested that sampling equipment be maintained according to the procedures described in APTD-0576. Alternative mercury-free thermometers may be used if the thermometers are at a minimum equivalent in terms of performance or suitably effective for the specific temperature measurement application.
8.1.1 Place 200 to 300 g of silica gel in each of several air-tight containers. Weigh each container, including silica gel, to the nearest 0.5 g, and record this weight. As an alternative, the silica gel need not be preweighed, but may be weighed directly in its impinger or sampling holder just prior to train assembly.
8.1.2 Check filters visually against light for irregularities, flaws, or pinhole leaks. Label filters of the proper diameter on the back side near the edge using numbering machine ink. As an alternative, label the shipping containers (glass, polystyrene or polyethylene petri dishes), and keep each filter in its identified container at all times except during sampling.
8.1.3 Desiccate the filters at 20 ±5.6 °C (68 ±10 °F) and ambient pressure for at least 24 hours. Weigh each filter (or filter and shipping container) at intervals of at least 6 hours to a constant weight (i.e., ≤0.5 mg change from previous weighing). Record results to the nearest 0.1 mg. During each weighing, the period for which the filter is exposed to the laboratory atmosphere shall be less than 2 minutes. Alternatively (unless otherwise specified by the Administrator), the filters may be oven dried at 105 °C (220 °F) for 2 to 3 hours, desiccated for 2 hours, and weighed. Procedures other than those described, which account for relative humidity effects, may be used, subject to the approval of the Administrator.
8.2 Preliminary Determinations.
8.2.1 Select the sampling site and the minimum number of sampling points according to Method 1 or as specified by the Administrator. Determine the stack pressure, temperature, and the range of velocity heads using Method 2; it is recommended that a leak check of the pitot lines (see Method 2, section 8.1) be performed. Determine the moisture content using Approximation Method 4 or its alternatives for the purpose of making isokinetic sampling rate settings. Determine the stack gas dry molecular weight, as described in Method 2, section 8.6; if integrated Method 3 sampling is used for molecular weight determination, the integrated bag sample shall be taken simultaneously with, and for the same total length of time as, the particulate sample run.
8.2.2 Select a nozzle size based on the range of velocity heads, such that it is not necessary to change the nozzle size in order to maintain isokinetic sampling rates. During the run, do not change the nozzle size. Ensure that the proper differential pressure gauge is chosen for the range of velocity heads encountered (see section 8.3 of Method 2).
8.2.3 Select a suitable probe liner and probe length such that all traverse points can be sampled. For large stacks, consider sampling from opposite sides of the stack to reduce the required probe length.
8.2.4 Select a total sampling time greater than or equal to the minimum total sampling time specified in the test procedures for the specific industry such that (l) the sampling time per point is not less than 2 minutes (or some greater time interval as specified by the Administrator), and (2) the sample volume taken (corrected to standard conditions) will exceed the required minimum total gas sample volume. The latter is based on an approximate average sampling rate.
8.2.5 The sampling time at each point shall be the same. It is recommended that the number of minutes sampled at each point be an integer or an integer plus one-half minute, in order to avoid timekeeping errors.
8.2.6 In some circumstances (e.g., batch cycles) it may be necessary to sample for shorter times at the traverse points and to obtain smaller gas sample volumes. In these cases, the Administrator's approval must first be obtained.
8.3 Preparation of Sampling Train.
8.3.1 During preparation and assembly of the sampling train, keep all openings where contamination can occur covered until just prior to assembly or until sampling is about to begin. Place 100 ml of water in each of the first two impingers, leave the third impinger empty, and transfer approximately 200 to 300 g of preweighed silica gel from its container to the fourth impinger. More silica gel may be used, but care should be taken to ensure that it is not entrained and carried out from the impinger during sampling. Place the container in a clean place for later use in the sample recovery. Alternatively, the weight of the silica gel plus impinger may be determined to the nearest 0.5 g and recorded.
8.3.2 Using a tweezer or clean disposable surgical gloves, place a labeled (identified) and weighed filter in the filter holder. Be sure that the filter is properly centered and the gasket properly placed so as to prevent the sample gas stream from circumventing the filter. Check the filter for tears after assembly is completed.
8.3.3 When glass probe liners are used, install the selected nozzle using a Viton A O-ring when stack temperatures are less than 260 °C (500 °F) or a heat-resistant string gasket when temperatures are higher. See APTD-0576 for details. Other connecting systems using either 316 stainless steel or Teflon ferrules may be used. When metal liners are used, install the nozzle as discussed above or by a leak-free direct mechanical connection. Mark the probe with heat resistant tape or by some other method to denote the proper distance into the stack or duct for each sampling point.
8.3.4 Set up the train as shown in Figure 5-1 ensuring that the connections are leak-tight. Subject to the approval of the Administrator, a glass cyclone may be used between the probe and filter holder when the total particulate catch is expected to exceed 100 mg or when water droplets are present in the stack gas.
8.3.5 Place crushed ice around the impingers.
8.4 Leak-Check Procedures.
8.4.1 Leak Check of Metering System Shown in Figure 5-1. That portion of the sampling train from the pump to the orifice meter should be leak-checked prior to initial use and after each shipment. Leakage after the pump will result in less volume being recorded than is actually sampled. The following procedure is suggested (see Figure 5-2): Close the main valve on the meter box. Insert a one-hole rubber stopper with rubber tubing attached into the orifice exhaust pipe. Disconnect and vent the low side of the orifice manometer. Close off the low side orifice tap. Pressurize the system to 13 to 18 cm (5 to 7 in.) water column by blowing into the rubber tubing. Pinch off the tubing, and observe the manometer for one minute. A loss of pressure on the manometer indicates a leak in the meter box; leaks, if present, must be corrected.
8.4.2 Pretest Leak Check. A pretest leak check of the sampling train is recommended, but not required. If the pretest leak check is conducted, the following procedure should be used.
8.4.2.1 After the sampling train has been assembled, turn on and set the filter and probe heating systems to the desired operating temperatures. Allow time for the temperatures to stabilize. If a Viton A O-ring or other leak-free connection is used in assembling the probe nozzle to the probe liner, leak-check the train at the sampling site by plugging the nozzle and pulling a 380 mm (15 in.) Hg vacuum.
Note:
A lower vacuum may be used, provided that it is not exceeded during the test.
8.4.2.2 If a heat-resistant string is used, do not connect the probe to the train during the leak check. Instead, leak-check the train by first plugging the inlet to the filter holder (cyclone, if applicable) and pulling a 380 mm (15 in.) Hg vacuum (see note in section 8.4.2.1). Then connect the probe to the train, and leak-check at approximately 25 mm (1 in.) Hg vacuum; alternatively, the probe may be leak-checked with the rest of the sampling train, in one step, at 380 mm (15 in.) Hg vacuum. Leakage rates in excess of 4 percent of the average sampling rate or 0.00057 m 3/min (0.020 cfm), whichever is less, are unacceptable.
8.4.2.3 The following leak-check instructions for the sampling train described in APTD-0576 and APTD-0581 may be helpful. Start the pump with the bypass valve fully open and the coarse adjust valve completely closed. Partially open the coarse adjust valve, and slowly close the bypass valve until the desired vacuum is reached. Do not reverse the direction of the bypass valve, as this will cause water to back up into the filter holder. If the desired vacuum is exceeded, either leak-check at this higher vacuum, or end the leak check and start over.
8.4.2.4 When the leak check is completed, first slowly remove the plug from the inlet to the probe, filter holder, or cyclone (if applicable), and immediately turn off the vacuum pump. This prevents the water in the impingers from being forced backward into the filter holder and the silica gel from being entrained backward into the third impinger.
8.4.3 Leak Checks During Sample Run. If, during the sampling run, a component (e.g., filter assembly or impinger) change becomes necessary, a leak check shall be conducted immediately before the change is made. The leak check shall be done according to the procedure outlined in section 8.4.2 above, except that it shall be done at a vacuum equal to or greater than the maximum value recorded up to that point in the test. If the leakage rate is found to be no greater than 0.00057 m 3/min (0.020 cfm) or 4 percent of the average sampling rate (whichever is less), the results are acceptable, and no correction will need to be applied to the total volume of dry gas metered; if, however, a higher leakage rate is obtained, either record the leakage rate and plan to correct the sample volume as shown in section 12.3 of this method, or void the sample run.
Note:
Immediately after component changes, leak checks are optional. If such leak checks are done, the procedure outlined in section 8.4.2 above should be used.
8.4.4 Post-Test Leak Check. A leak check of the sampling train is mandatory at the conclusion of each sampling run. The leak check shall be performed in accordance with the procedures outlined in section 8.4.2, except that it shall be conducted at a vacuum equal to or greater than the maximum value reached during the sampling run. If the leakage rate is found to be no greater than 0.00057 m 3 min (0.020 cfm) or 4 percent of the average sampling rate (whichever is less), the results are acceptable, and no correction need be applied to the total volume of dry gas metered. If, however, a higher leakage rate is obtained, either record the leakage rate and correct the sample volume as shown in section 12.3 of this method, or void the sampling run.
8.5 Sampling Train Operation. During the sampling run, maintain an isokinetic sampling rate (within 10 percent of true isokinetic unless otherwise specified by the Administrator) and a sample gas temperature through the filter of 120 ±14 °C (248 ±25 °F) or such other temperature as specified by an applicable subpart of the standards or approved by the Administrator.
8.5.1 For each run, record the data required on a data sheet such as the one shown in Figure 5-3. Be sure to record the initial DGM reading. Record the DGM readings at the beginning and end of each sampling time increment, when changes in flow rates are made, before and after each leak check, and when sampling is halted. Take other readings indicated by Figure 5-3 at least once at each sample point during each time increment and additional readings when significant changes (20 percent variation in velocity head readings) necessitate additional adjustments in flow rate. Level and zero the manometer. Because the manometer level and zero may drift due to vibrations and temperature changes, make periodic checks during the traverse.
8.5.2 Clean the portholes prior to the test run to minimize the chance of collecting deposited material. To begin sampling, verify that the filter and probe heating systems are up to temperature, remove the nozzle cap, verify that the pitot tube and probe are properly positioned. Position the nozzle at the first traverse point with the tip pointing directly into the gas stream. Immediately start the pump, and adjust the flow to isokinetic conditions. Nomographs are available which aid in the rapid adjustment of the isokinetic sampling rate without excessive computations. These nomographs are designed for use when the Type S pitot tube coefficient (Cp) is 0.85 ±0.02, and the stack gas equivalent density [dry molecular weight (Md)] is equal to 29 ±4. APTD-0576 details the procedure for using the nomographs. If Cp and Md are outside the above stated ranges, do not use the nomographs unless appropriate steps (see Reference 7 in section 17.0) are taken to compensate for the deviations.
8.5.3 When the stack is under significant negative pressure (i.e., height of impinger stem), take care to close the coarse adjust valve before inserting the probe into the stack to prevent water from backing into the filter holder. If necessary, the pump may be turned on with the coarse adjust valve closed.
8.5.4 When the probe is in position, block off the openings around the probe and porthole to prevent unrepresentative dilution of the gas stream.
8.5.5 Traverse the stack cross-section, as required by Method 1 or as specified by the Administrator, being careful not to bump the probe nozzle into the stack walls when sampling near the walls or when removing or inserting the probe through the portholes; this minimizes the chance of extracting deposited material.
8.5.6 During the test run, make periodic adjustments to keep the temperature around the filter holder at the proper level to maintain the sample gas temperature exiting the filter; add more ice and, if necessary, salt to maintain a temperature of less than 20 °C (68 °F) at the condenser/silica gel outlet. Also, periodically check the level and zero of the manometer.
8.5.7 If the pressure drop across the filter becomes too high, making isokinetic sampling difficult to maintain, the filter may be replaced in the midst of the sample run. It is recommended that another complete filter assembly be used rather than attempting to change the filter itself. Before a new filter assembly is installed, conduct a leak check (see section 8.4.3). The total PM weight shall include the summation of the filter assembly catches.
8.5.8 A single train shall be used for the entire sample run, except in cases where simultaneous sampling is required in two or more separate ducts or at two or more different locations within the same duct, or in cases where equipment failure necessitates a change of trains. In all other situations, the use of two or more trains will be subject to the approval of the Administrator.
Note:
When two or more trains are used, separate analyses of the front-half and (if applicable) impinger catches from each train shall be performed, unless identical nozzle sizes were used on all trains, in which case, the front-half catches from the individual trains may be combined (as may the impinger catches) and one analysis of front-half catch and one analysis of impinger catch may be performed. Consult with the Administrator for details concerning the calculation of results when two or more trains are used.
8.5.9 At the end of the sample run, close the coarse adjust valve, remove the probe and nozzle from the stack, turn off the pump, record the final DGM meter reading, and conduct a post-test leak check, as outlined in section 8.4.4. Also, leak-check the pitot lines as described in Method 2, section 8.1. The lines must pass this leak check, in order to validate the velocity head data.
8.6 Calculation of Percent Isokinetic. Calculate percent isokinetic (see Calculations, section 12.11) to determine whether the run was valid or another test run should be made. If there was difficulty in maintaining isokinetic rates because of source conditions, consult with the Administrator for possible variance on the isokinetic rates.
8.7 Sample Recovery.
8.7.1 Proper cleanup procedure begins as soon as the probe is removed from the stack at the end of the sampling period. Allow the probe to cool.
8.7.2 When the probe can be safely handled, wipe off all external PM near the tip of the probe nozzle, and place a cap over it to prevent losing or gaining PM. Do not cap off the probe tip tightly while the sampling train is cooling down. This would create a vacuum in the filter holder, thereby drawing water from the impingers into the filter holder.
8.7.3 Before moving the sample train to the cleanup site, remove the probe from the sample train and cap the open outlet of the probe. Be careful not to lose any condensate that might be present. Cap the filter inlet where the probe was fastened. Remove the umbilical cord from the last impinger, and cap the impinger. If a flexible line is used between the first impinger or condenser and the filter holder, disconnect the line at the filter holder, and let any condensed water or liquid drain into the impingers or condenser. Cap off the filter holder outlet and impinger inlet. Either ground-glass stoppers, plastic caps, or serum caps may be used to close these openings.
8.7.4 Transfer the probe and filter-impinger assembly to the cleanup area. This area should be clean and protected from the wind so that the chances of contaminating or losing the sample will be minimized.
8.7.5 Save a portion of the acetone used for cleanup as a blank. From each storage container of acetone used for cleanup, save 200 ml and place in a glass sample container labeled “acetone blank.” To minimize any particulate contamination, rinse the wash bottle prior to filling from the tested container.
8.7.6 Inspect the train prior to and during disassembly, and note any abnormal conditions. Treat the samples as follows:
8.7.6.1 Container No. 1. Carefully remove the filter from the filter holder, and place it in its identified petri dish container. Use a pair of tweezers and/or clean disposable surgical gloves to handle the filter. If it is necessary to fold the filter, do so such that the PM cake is inside the fold. Using a dry Nylon bristle brush and/or a sharp-edged blade, carefully transfer to the petri dish any PM and/or filter fibers that adhere to the filter holder gasket. Seal the container.
8.7.6.2 Container No. 2. Taking care to see that dust on the outside of the probe or other exterior surfaces does not get into the sample, quantitatively recover PM or any condensate from the probe nozzle, probe fitting, probe liner, and front half of the filter holder by washing these components with acetone and placing the wash in a glass container. Deionized distilled water may be used instead of acetone when approved by the Administrator and shall be used when specified by the Administrator. In these cases, save a water blank, and follow the Administrator's directions on analysis. Perform the acetone rinse as follows:
8.7.6.2.1 Carefully remove the probe nozzle. Clean the inside surface by rinsing with acetone from a wash bottle and brushing with a Nylon bristle brush. Brush until the acetone rinse shows no visible particles, after which make a final rinse of the inside surface with acetone.
8.7.6.2.2 Brush and rinse the inside parts of the fitting with acetone in a similar way until no visible particles remain.
8.7.6.2.3 Rinse the probe liner with acetone by tilting and rotating the probe while squirting acetone into its upper end so that all inside surfaces will be wetted with acetone. Let the acetone drain from the lower end into the sample container. A funnel (glass or polyethylene) may be used to aid in transferring liquid washes to the container. Follow the acetone rinse with a probe brush. Hold the probe in an inclined position, squirt acetone into the upper end as the probe brush is being pushed with a twisting action through the probe; hold a sample container underneath the lower end of the probe, and catch any acetone and particulate matter that is brushed from the probe. Run the brush through the probe three times or more until no visible PM is carried out with the acetone or until none remains in the probe liner on visual inspection. With stainless steel or other metal probes, run the brush through in the above prescribed manner at least six times since metal probes have small crevices in which particulate matter can be entrapped. Rinse the brush with acetone, and quantitatively collect these washings in the sample container. After the brushing, make a final acetone rinse of the probe.
8.7.6.2.4 It is recommended that two people clean the probe to minimize sample losses. Between sampling runs, keep brushes clean and protected from contamination.
8.7.6.2.5 Clean the inside of the front half of the filter holder by rubbing the surfaces with a Nylon bristle brush and rinsing with acetone. Rinse each surface three times or more if needed to remove visible particulate. Make a final rinse of the brush and filter holder. Carefully rinse out the glass cyclone, also (if applicable). After all acetone washings and particulate matter have been collected in the sample container, tighten the lid on the sample container so that acetone will not leak out when it is shipped to the laboratory. Mark the height of the fluid level to allow determination of whether leakage occurred during transport. Label the container to clearly identify its contents.
8.7.6.3 Container No. 3. Note the color of the indicating silica gel to determine whether it has been completely spent, and make a notation of its condition. Transfer the silica gel from the fourth impinger to its original container, and seal. A funnel may make it easier to pour the silica gel without spilling. A rubber policeman may be used as an aid in removing the silica gel from the impinger. It is not necessary to remove the small amount of dust particles that may adhere to the impinger wall and are difficult to remove. Since the gain in weight is to be used for moisture calculations, do not use any water or other liquids to transfer the silica gel. If a balance is available in the field, follow the procedure for Container No. 3 in section 11.2.3.
8.7.6.4 Impinger Water. Treat the impingers as follows: Make a notation of any color or film in the liquid catch. Measure the liquid that is in the first three impingers by weighing it to within 0.5 g at a minimum by using a balance. Record the weight of liquid present. This information is required to calculate the moisture content of the effluent gas. Discard the liquid after measuring and recording the weight, unless analysis of the impinger catch is required (see Note, section 6.1.1.8). If a different type of condenser is used, measure the amount of moisture condensed gravimetrically.
8.8 Sample Transport. Whenever possible, containers should be shipped in such a way that they remain upright at all times.
9.0 Quality Control9.1 Miscellaneous Quality Control Measures.
| Section | Quality control measure | Effect |
|---|---|---|
| 8.4, 10.1-10.6 | Sampling equipment leak check and calibration | Ensures accurate measurement of stack gas flow rate, sample volume. |
9.2 Volume Metering System Checks. The following procedures are suggested to check the volume metering system calibration values at the field test site prior to sample collection. These procedures are optional.
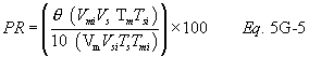
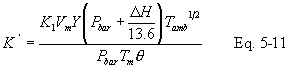
9.2.1 Meter Orifice Check. Using the calibration data obtained during the calibration procedure described in section 10.3, determine the ΔH@ for the metering system orifice. The ΔH@ is the orifice pressure differential in units of in. H2O that correlates to 0.75 cfm of air at 528 °R and 29.92 in. Hg. The ΔH@ is calculated as follows:
Where:
ΔH = Average pressure differential across the orifice meter, in. H2O.
Tm = Absolute average DGM temperature, °R.
Pbar = Barometric pressure, in. Hg.
θ = Total sampling time, min.
Y = DGM calibration factor, dimensionless.
Vm = Volume of gas sample as measured by DGM, dcf.
0.0319 = (0.0567 in. Hg/°R) (0.75 cfm)
29.2.1.1 Before beginning the field test (a set of three runs usually constitutes a field test), operate the metering system (i.e., pump, volume meter, and orifice) at the ΔH@ pressure differential for 10 minutes. Record the volume collected, the DGM temperature, and the barometric pressure. Calculate a DGM calibration check value, Yc, as follows:
where:
Yc = DGM calibration check value, dimensionless.
10 = Run time, min.
9.2.1.2 Compare the Yc value with the dry gas meter calibration factor Y to determine that: 0.97Y <Yc <1.03Y. If the Yc value is not within this range, the volume metering system should be investigated before beginning the test.
9.2.2 Calibrated Critical Orifice. A critical orifice, calibrated against a wet test meter or spirometer and designed to be inserted at the inlet of the sampling meter box, may be used as a check by following the procedure of section 16.2.
10.0 Calibration and StandardizationNote:
Maintain a laboratory log of all calibrations.
10.1 Probe Nozzle. Probe nozzles shall be calibrated before their initial use in the field. Using a micrometer, measure the ID of the nozzle to the nearest 0.025 mm (0.001 in.). Make three separate measurements using different diameters each time, and obtain the average of the measurements. The difference between the high and low numbers shall not exceed 0.1 mm (0.004 in.). When nozzles become nicked, dented, or corroded, they shall be reshaped, sharpened, and recalibrated before use. Each nozzle shall be permanently and uniquely identified.
10.2 Pitot Tube Assembly. The Type S pitot tube assembly shall be calibrated according to the procedure outlined in section 10.1 of Method 2.
10.3 Metering System.
10.3.1 Calibration Prior to Use. Before its initial use in the field, the metering system shall be calibrated as follows: Connect the metering system inlet to the outlet of a wet test meter that is accurate to within 1 percent. Refer to Figure 5-4. The wet test meter should have a capacity of 30 liters/rev (1 ft 3/rev). A spirometer of 400 liters (14 ft 3) or more capacity, or equivalent, may be used for this calibration, although a wet test meter is usually more practical. The wet test meter should be periodically calibrated with a spirometer or a liquid displacement meter to ensure the accuracy of the wet test meter. Spirometers or wet test meters of other sizes may be used, provided that the specified accuracies of the procedure are maintained. Run the metering system pump for about 15 minutes with the orifice manometer indicating a median reading as expected in field use to allow the pump to warm up and to permit the interior surface of the wet test meter to be thoroughly wetted. Then, at each of a minimum of three orifice manometer settings, pass an exact quantity of gas through the wet test meter and note the gas volume indicated by the DGM. Also note the barometric pressure and the temperatures of the wet test meter, the inlet of the DGM, and the outlet of the DGM. Select the highest and lowest orifice settings to bracket the expected field operating range of the orifice. Use a minimum volume of 0.14 m 3 (5 ft 3) at all orifice settings. Record all the data on a form similar to Figure 5-5 and calculate Y, the DGM calibration factor, and ΔH , the orifice calibration factor, at each orifice setting as shown on Figure 5-5. Allowable tolerances for individual Y and ΔH values are given in Figure 5-5. Use the average of the Y values in the calculations in section 12.0.
10.3.1.1 Before calibrating the metering system, it is suggested that a leak check be conducted. For metering systems having diaphragm pumps, the normal leak-check procedure will not detect leakages within the pump. For these cases the following leak-check procedure is suggested: make a 10-minute calibration run at 0.00057 m 3/min (0.020 cfm). At the end of the run, take the difference of the measured wet test meter and DGM volumes. Divide the difference by 10 to get the leak rate. The leak rate should not exceed 0.00057 m 3/min (0.020 cfm).
10.3.2 Calibration After Use. After each field use, the calibration of the metering system shall be checked by performing three calibration runs at a single, intermediate orifice setting (based on the previous field test), with the vacuum set at the maximum value reached during the test series. To adjust the vacuum, insert a valve between the wet test meter and the inlet of the metering system. Calculate the average value of the DGM calibration factor. If the value has changed by more than 5 percent, recalibrate the meter over the full range of orifice settings, as detailed in section 10.3.1.
Note:
Alternative procedures (e.g., rechecking the orifice meter coefficient) may be used, subject to the approval of the Administrator.
10.3.3 Acceptable Variation in Calibration Check. If the DGM coefficient values obtained before and after a test series differ by more than 5 percent, the test series shall either be voided, or calculations for the test series shall be performed using whichever meter coefficient value (i.e., before or after) gives the lower value of total sample volume.
10.4 Probe Heater Calibration. Use a heat source to generate air heated to selected temperatures that approximate those expected to occur in the sources to be sampled. Pass this air through the probe at a typical sample flow rate while measuring the probe inlet and outlet temperatures at various probe heater settings. For each air temperature generated, construct a graph of probe heating system setting versus probe outlet temperature. The procedure outlined in APTD-0576 can also be used. Probes constructed according to APTD-0581 need not be calibrated if the calibration curves in APTD-0576 are used. Also, probes with outlet temperature monitoring capabilities do not require calibration.
Note:
The probe heating system shall be calibrated before its initial use in the field.
10.5 Temperature Sensors. Use the procedure in Section 10.3 of Method 2 to calibrate in-stack temperature sensors. Dial thermometers, such as are used for the DGM and condenser outlet, shall be calibrated against mercury-in-glass thermometers. An alternative mercury-free NIST-traceable thermometer may be used if the thermometer is, at a minimum, equivalent in terms of performance or suitably effective for the specific temperature measurement application. As an alternative, the following single-point calibration procedure may be used. After each test run series, check the accuracy (and, hence, the calibration) of each thermocouple system at ambient temperature, or any other temperature, within the range specified by the manufacturer, using a reference thermometer (either ASTM reference thermometer or a thermometer that has been calibrated against an ASTM reference thermometer). The temperatures of the thermocouple and reference thermometers shall agree to within ±2 °F.
10.6 Barometer. Calibrate against a mercury barometer or NIST-traceable barometer prior to the field test. Alternatively, barometric pressure may be obtained from a weather report that has been adjusted for the test point (on the stack) elevation.
10.7 Field Balance Calibration Check. Check the calibration of the balance used to weigh impingers with a weight that is at least 500g or within 50g of a loaded impinger. The weight must be ASTM E617-13 “Standard Specification for Laboratory Weights and Precision Mass Standards” (incorporated by reference—see 40 CFR 60.17) Class 6 (or better). Daily before use, the field balance must measure the weight within ±0.5g of the certified mass. If the daily balance calibration check fails, perform corrective measures and repeat the check before using balance.
10.8 Analytical Balance Calibration. Perform a multipoint calibration (at least five points spanning the operational range) of the analytical balance before the first use, and semiannually thereafter. The calibration of the analytical balance must be conducted using ASTM E617-13 “Standard Specification for Laboratory Weights and Precision Mass Standards” (incorporated by reference—see 40 CFR 60.17) Class 2 (or better) tolerance weights. Audit the balance each day it is used for gravimetric measurements by weighing at least one ASTM E617-13 Class 2 tolerance (or better) calibration weight that corresponds to 50 to 150 percent of the weight of one filter or between 1g and 5g. If the scale cannot reproduce the value of the calibration weight to within 0.5 mg of the certified mass, perform corrective measures, and conduct the multipoint calibration before use.
11.0 Analytical Procedure11.1 Record the data required on a sheet such as the one shown in Figure 5-6.
11.2 Handle each sample container as follows:
11.2.1 Container No. 1. Leave the contents in the shipping container or transfer the filter and any loose PM from the sample container to a tared weighing container. Desiccate for 24 hours in a desiccator containing anhydrous calcium sulfate. Weigh to a constant weight, and report the results to the nearest 0.1 mg. For the purposes of this section, the term “constant weight” means a difference of no more than 0.5 mg or 1 percent of total weight less tare weight, whichever is greater, between two consecutive weighings, with no less than 6 hours of desiccation time between weighings. Alternatively, the sample may be oven dried at 104 °C (220 °F) for 2 to 3 hours, cooled in the desiccator, and weighed to a constant weight, unless otherwise specified by the Administrator. The sample may be oven dried at 104 °C (220 °F) for 2 to 3 hours. Once the sample has cooled, weigh the sample, and use this weight as a final weight.
11.2.2 Container No. 2. Note the level of liquid in the container, and confirm on the analysis sheet whether leakage occurred during transport. If a noticeable amount of leakage has occurred, either void the sample or use methods, subject to the approval of the Administrator, to correct the final results. Measure the liquid in this container either volumetrically to ±1 ml or gravimetrically to ±0.5 g. Transfer the contents to a tared 250 ml beaker, and evaporate to dryness at ambient temperature and pressure. Desiccate for 24 hours, and weigh to a constant weight. Report the results to the nearest 0.1 mg.
11.2.3 Container No. 3. Weigh the spent silica gel (or silica gel plus impinger) to the nearest 0.5 g using a balance. This step may be conducted in the field.
11.2.4 Acetone Blank Container. Measure the acetone in this container either volumetrically or gravimetrically. Transfer the acetone to a tared 250 ml beaker, and evaporate to dryness at ambient temperature and pressure. Desiccate for 24 hours, and weigh to a constant weight. Report the results to the nearest 0.1 mg.
Note:
The contents of Container No. 2 as well as the acetone blank container may be evaporated at temperatures higher than ambient. If evaporation is done at an elevated temperature, the temperature must be below the boiling point of the solvent; also, to prevent “bumping,” the evaporation process must be closely supervised, and the contents of the beaker must be swirled occasionally to maintain an even temperature. Use extreme care, as acetone is highly flammable and has a low flash point.
Carry out calculations, retaining at least one extra significant figure beyond that of the acquired data. Round off figures after the final calculation. Other forms of the equations may be used, provided that they give equivalent results.
12.1 Nomenclature.
An = Cross-sectional area of nozzle, m 2 (ft 2).
Bws = Water vapor in the gas stream, proportion by volume.
Ca = Acetone blank residue concentration, mg/mg.
cs = Concentration of particulate matter in stack gas, dry basis, corrected to standard conditions, g/dscm (gr/dscf).
I = Percent of isokinetic sampling.
L1 = Individual leakage rate observed during the leak-check conducted prior to the first component change, m 3/min (ft 3/min)
La = Maximum acceptable leakage rate for either a pretest leak-check or for a leak-check following a component change; equal to 0.00057 m 3/min (0.020 cfm) or 4 percent of the average sampling rate, whichever is less.
Li = Individual leakage rate observed during the leak-check conducted prior to the “i th” component change (i = 1, 2, 3 . . . n), m 3/min (cfm).
Lp = Leakage rate observed during the post-test leak-check, m 3/min (cfm).
ma = Mass of residue of acetone after evaporation, mg.
mn = Total amount of particulate matter collected, mg.
Mw = Molecular weight of water, 18.015 g/g-mole (18.015 lb/lb-mole).
Pbar = Barometric pressure at the sampling site, mm Hg (in. Hg).
Ps = Absolute stack gas pressure, mm Hg (in. Hg).
Pstd = Standard absolute pressure, 760 mm Hg (29.92 in. Hg).
R = Ideal gas constant, 0.06236 ((mm Hg)(m 3))/((K)(g-mole)) {21.85 ((in. Hg) (ft 3))/((°R) (lb-mole))}.
Tm = Absolute average DGM temperature (see Figure 5-3), K (°R).
Ts = Absolute average stack gas temperature (see Figure 5-3), K (°R).
Tstd = Standard absolute temperature, 293.15 K (527.67 °R).
Va = Volume of acetone blank, ml.
Vaw = Volume of acetone used in wash, ml.
V1c = Total volume of liquid collected in impingers and silica gel (see Figure 5-6), g.
Vm = Volume of gas sample as measured by dry gas meter, dcm (dcf).
Vm(std) = Volume of gas sample measured by the dry gas meter, corrected to standard conditions, dscm (dscf).
Vw(std) = Volume of water vapor in the gas sample, corrected to standard conditions, scm (scf).
Vs = Stack gas velocity, calculated by Method 2, Equation 2-7, using data obtained from Method 5, m/sec (ft/sec).
Wa = Weight of residue in acetone wash, mg.
Y = Dry gas meter calibration factor.
ΔH = Average pressure differential across the orifice meter (see Figure 5-4), mm H2O (in. H2O).
ρa = Density of acetone, mg/ml (see label on bottle).
θ = Total sampling time, min.
θ1 = Sampling time interval, from the beginning of a run until the first component change, min.
θi = Sampling time interval, between two successive component changes, beginning with the interval between the first and second changes, min.
θp = Sampling time interval, from the final (nth) component change until the end of the sampling run, min.
13.6 = Specific gravity of mercury.
60 = Sec/min.
100 = Conversion to percent.
12.2 Average Dry Gas Meter Temperature and Average Orifice Pressure Drop. See data sheet (Figure 5-3).
12.3 Dry Gas Volume. Correct the sample volume measured by the dry gas meter to standard conditions (20 °C, 760mm Hg or 68 °F, 29.92 in. Hg) by using Equation 5-1.
Where:
K1 = 0.38572 °K/mm Hg for metric units = 17.636 °R/in. Hg for English units.
Note: Equation 5-1 can be used as written unless the leakage rate observed during any of the mandatory leak checks (i.e., the post-test leak check or leak checks conducted prior to component changes) exceeds La. If Lp or Li exceeds La, Equation 5-1 must be modified as follows:
(a) Case I. No component changes made during sampling run. In this case, replace Vm in Equation 5-1 with the expression:
(Vm − (Lp − La)θ)(b) Case II. One or more component changes made during the sampling run. In this case, replace Vm in Equation 5-1 by the expression:
and substitute only for those leakage rates (Li or Lp) which exceed La.
12.4 Volume of Water Vapor Condensed
Where:
K2 = 0.001335 m
3/g for metric units, = 0.04716 ft
3/g for English units.
12.5 Moisture Content.

Note:
In saturated or water droplet-laden gas streams, two calculations of the moisture content of the stack gas shall be made, one from the impinger analysis (Equation 5-3), and a second from the assumption of saturated conditions. The lower of the two values of Bws shall be considered correct. The procedure for determining the moisture content based upon the assumption of saturated conditions is given in section 4.0 of Method 4. For the purposes of this method, the average stack gas temperature from Figure 5-3 may be used to make this determination, provided that the accuracy of the in-stack temperature sensor is ±1 °C (2 °F).
12.6 Acetone Blank Concentration.

12.7 Acetone Wash Blank.

12.8 Total Particulate Weight. Determine the total particulate matter catch from the sum of the weights obtained from Containers 1 and 2 less the acetone blank (see Figure 5-6).
Note:
In no case shall a blank value of greater than 0.001 percent of the weight of acetone used be subtracted from the sample weight. Refer to section 8.5.8 to assist in calculation of results involving two or more filter assemblies or two or more sampling trains.
12.9 Particulate Concentration.
Where:
K3 = 0.001 g/mg for metric units.
= 0.0154 gr/mg for English units.
12.10 Conversion Factors:
| From | To | Multiply by |
|---|---|---|
| ft3 | m3 | 0.02832 |
| gr | mg | 64.80004 |
| gr/ft3 | mg/m3 | 2288.4 |
| mg | g | 0.001 |
| gr | lb | 1.429 × 10−4 |
12.11 Isokinetic Variation.
12.11.1 Calculation from Raw Data.
Where:
K4 = 0.003456 ((mm Hg)(m
3))/((ml)(°K)) for metric units,
= 0.002668 ((in. Hg)(ft
3))/((ml)(°R)) for English units.
12.11.2 Calculation from Intermediate Values.
Where:
K5 = 4.3209 for metric units = 0.09450 for English units.
12.11.3 Acceptable Results. If 90 percent ≤I ≤110 percent, the results are acceptable. If the PM results are low in comparison to the standard, and “I” is over 110 percent or less than 90 percent, the Administrator may opt to accept the results. Reference 4 in section 17.0 may be used to make acceptability judgments. If “I” is judged to be unacceptable, reject the results, and repeat the sampling run.
12.12 Stack Gas Velocity and Volumetric Flow Rate. Calculate the average stack gas velocity and volumetric flow rate, if needed, using data obtained in this method and the equations in sections 12.3 and 12.4 of Method 2.
13.0 Method Performance [Reserved]14.0 Pollution Prevention [Reserved]15.0 Waste Management [Reserved]16.0 Alternative Procedures16.1 Dry Gas Meter as a Calibration Standard. A DGM may be used as a calibration standard for volume measurements in place of the wet test meter specified in section 10.3, provided that it is calibrated initially and recalibrated periodically as follows:
16.1.1 Standard Dry Gas Meter Calibration.
16.1.1.1. The DGM to be calibrated and used as a secondary reference meter should be of high quality and have an appropriately sized capacity (e.g., 3 liters/rev (0.1 ft 3/rev)). A spirometer (400 liters (14 ft 3) or more capacity), or equivalent, may be used for this calibration, although a wet test meter is usually more practical. The wet test meter should have a capacity of 30 liters/rev (1 ft 3/rev) and capable of measuring volume to within 1.0 percent. Wet test meters should be checked against a spirometer or a liquid displacement meter to ensure the accuracy of the wet test meter. Spirometers or wet test meters of other sizes may be used, provided that the specified accuracies of the procedure are maintained.
16.1.1.2 Set up the components as shown in Figure 5-7. A spirometer, or equivalent, may be used in place of the wet test meter in the system. Run the pump for at least 5 minutes at a flow rate of about 10 liters/min (0.35 cfm) to condition the interior surface of the wet test meter. The pressure drop indicated by the manometer at the inlet side of the DGM should be minimized (no greater than 100 mm H2O (4 in. H2O) at a flow rate of 30 liters/min (1 cfm)). This can be accomplished by using large diameter tubing connections and straight pipe fittings.
16.1.1.3 Collect the data as shown in the example data sheet (see Figure 5-8). Make triplicate runs at each of the flow rates and at no less than five different flow rates. The range of flow rates should be between 10 and 34 liters/min (0.35 and 1.2 cfm) or over the expected operating range.
16.1.1.4 Calculate flow rate, Q, for each run using the wet test meter volume, Vw, and the run time, θ. Calculate the DGM coefficient, Yds, for each run. These calculations are as follows:

Where:
K1 = 0.38572 °K/mm Hg for metric units = 17.636 °R/in. Hg for English units.
Vw = Wet test meter volume, liter (ft3).
Vds = Dry gas meter volume, liter (ft3).
Tds = Average dry gas meter temperature, °C ( °F).
Tadj = 273.15 °C for metric units = 459.67 °F for English units.
Tw = Average wet test meter temperature, °C ( °F).
Pbar = Barometric pressure, mm Hg (in. Hg).
Δp = Dry gas meter inlet differential pressure, mm H2O (in. H2O).
θ = Run time, min.
16.1.1.5 Compare the three Yds values at each of the flow rates and determine the maximum and minimum values. The difference between the maximum and minimum values at each flow rate should be no greater than 0.030. Extra sets of triplicate runs may be made in order to complete this requirement. In addition, the meter coefficients should be between 0.95 and 1.05. If these specifications cannot be met in three sets of successive triplicate runs, the meter is not suitable as a calibration standard and should not be used as such. If these specifications are met, average the three Yds values at each flow rate resulting in no less than five average meter coefficients, Yds.
16.1.1.6 Prepare a curve of meter coefficient, Yds, versus flow rate, Q, for the DGM. This curve shall be used as a reference when the meter is used to calibrate other DGMs and to determine whether recalibration is required.
16.1.2 Standard Dry Gas Meter Recalibration.
16.1.2.1 Recalibrate the standard DGM against a wet test meter or spirometer annually or after every 200 hours of operation, whichever comes first. This requirement is valid provided the standard DGM is kept in a laboratory and, if transported, cared for as any other laboratory instrument. Abuse to the standard meter may cause a change in the calibration and will require more frequent recalibrations.
16.1.2.2 As an alternative to full recalibration, a two-point calibration check may be made. Follow the same procedure and equipment arrangement as for a full recalibration, but run the meter at only two flow rates [suggested rates are 14 and 30 liters/min (0.5 and 1.0 cfm)]. Calculate the meter coefficients for these two points, and compare the values with the meter calibration curve. If the two coefficients are within 1.5 percent of the calibration curve values at the same flow rates, the meter need not be recalibrated until the next date for a recalibration check.
16.2 Critical Orifices As Calibration Standards. Critical orifices may be used as calibration standards in place of the wet test meter specified in section 16.1, provided that they are selected, calibrated, and used as follows:
16.2.1 Selection of Critical Orifices.
16.2.1.1 The procedure that follows describes the use of hypodermic needles or stainless steel needle tubings which have been found suitable for use as critical orifices. Other materials and critical orifice designs may be used provided the orifices act as true critical orifices (i.e., a critical vacuum can be obtained, as described in section 16.2.2.2.3). Select five critical orifices that are appropriately sized to cover the range of flow rates between 10 and 34 liters/min (0.35 and 1.2 cfm) or the expected operating range. Two of the critical orifices should bracket the expected operating range. A minimum of three critical orifices will be needed to calibrate a Method 5 DGM; the other two critical orifices can serve as spares and provide better selection for bracketing the range of operating flow rates. The needle sizes and tubing lengths shown in Table 5-1 in section 18.0 give the approximate flow rates.
16.2.1.2 These needles can be adapted to a Method 5 type sampling train as follows: Insert a serum bottle stopper, 13 by 20 mm sleeve type, into a 1/2-inch Swagelok (or equivalent) quick connect. Insert the needle into the stopper as shown in Figure 5-9.
16.2.2 Critical Orifice Calibration. The procedure described in this section uses the Method 5 meter box configuration with a DGM as described in section 6.1.1.9 to calibrate the critical orifices. Other schemes may be used, subject to the approval of the Administrator.
16.2.2.1 Calibration of Meter Box. The critical orifices must be calibrated in the same configuration as they will be used (i.e., there should be no connections to the inlet of the orifice).
16.2.2.1.1 Before calibrating the meter box, leak check the system as follows: Fully open the coarse adjust valve, and completely close the by-pass valve. Plug the inlet. Then turn on the pump, and determine whether there is any leakage. The leakage rate shall be zero (i.e., no detectable movement of the DGM dial shall be seen for 1 minute).
16.2.2.1.2 Check also for leakages in that portion of the sampling train between the pump and the orifice meter. See section 8.4.1 for the procedure; make any corrections, if necessary. If leakage is detected, check for cracked gaskets, loose fittings, worn O-rings, etc., and make the necessary repairs.
16.2.2.1.3 After determining that the meter box is leakless, calibrate the meter box according to the procedure given in section 10.3. Make sure that the wet test meter meets the requirements stated in section 16.1.1.1. Check the water level in the wet test meter. Record the DGM calibration factor, Y.
16.2.2.2 Calibration of Critical Orifices. Set up the apparatus as shown in Figure 5-10.
16.2.2.2.1 Allow a warm-up time of 15 minutes. This step is important to equilibrate the temperature conditions through the DGM.
16.2.2.2.2 Leak check the system as in section 16.2.2.1.1. The leakage rate shall be zero.
16.2.2.2.3 Before calibrating the critical orifice, determine its suitability and the appropriate operating vacuum as follows: Turn on the pump, fully open the coarse adjust valve, and adjust the by-pass valve to give a vacuum reading corresponding to about half of atmospheric pressure. Observe the meter box orifice manometer reading, ΔH. Slowly increase the vacuum reading until a stable reading is obtained on the meter box orifice manometer. Record the critical vacuum for each orifice. Orifices that do not reach a critical value shall not be used.
16.2.2.2.4 Obtain the barometric pressure using a barometer as described in section 6.1.2. Record the barometric pressure, Pbar, in mm Hg (in. Hg).
16.2.2.2.5 Conduct duplicate runs at a vacuum of 25 to 50 mm Hg (1 to 2 in. Hg) above the critical vacuum. The runs shall be at least 5 minutes each. The DGM volume readings shall be in increments of complete revolutions of the DGM. As a guideline, the times should not differ by more than 3.0 seconds (this includes allowance for changes in the DGM temperatures) to achieve ±0.5 percent in K′ (see Eq. 5-11). Record the information listed in Figure 5-11.
16.2.2.2.6 Calculate K′ using Equation 5-11.
Where:
K′ = Critical orifice coefficient,
[m
3)(°K)
1/2]/
[(mm Hg)(min)] {[(ft
3)(°R)
1/2)] [(in. Hg)(min)].
Tamb = Absolute ambient temperature, °K (°R).
Calculate the arithmetic mean of the K′ values. The individual K' values should not differ by more than ±0.5 percent from the mean value.
16.2.3 Using the Critical Orifices as Calibration Standards.
16.2.3.1 Record the barometric pressure.
16.2.3.2 Calibrate the metering system according to the procedure outlined in section 16.2.2. Record the information listed in Figure 5-12.
16.2.3.3 Calculate the standard volumes of air passed through the DGM and the critical orifices, and calculate the DGM calibration factor, Y, using the equations below:


Where:
Vcr(std) = Volume of gas sample passed through the critical orifice, corrected to standard conditions, dscm (dscf).
K1 = 0.38572 °K/mm Hg for metric units = 17.636 °R/in. Hg for English units.
16.2.3.4 Average the DGM calibration values for each of the flow rates. The calibration factor, Y, at each of the flow rates should not differ by more than ±2 percent from the average.
16.2.3.5 To determine the need for recalibrating the critical orifices, compare the DGM Y factors obtained from two adjacent orifices each time a DGM is calibrated; for example, when checking orifice 13/2.5, use orifices 12/10.2 and 13/5.1. If any critical orifice yields a DGM Y factor differing by more than 2 percent from the others, recalibrate the critical orifice according to section 16.2.2.
16.3 Alternative Post-Test Metering System Calibration. The following procedure may be used as an alternative to the post-test calibration described in Section 10.3.2. This alternative procedure does not detect leakages between the inlet of the metering system and the dry gas meter. Therefore, two steps must be included to make it an equivalent alternative:
(1) The metering system must pass the post-test leak-check from either the inlet of the sampling train or the inlet of the metering system. Therefore, if the train fails the former leak-check, another leak-check from the inlet of the metering system must be conducted;
(2) The metering system must pass the leak-check of that portion of the train from the pump to the orifice meter as described in Section 8.4.1.
16.3.1 After each test run, do the following:
16.3.1.1 Ensure that the metering system has passed the post-test leak-check. If not, conduct a leak-check of the metering system from its inlet.
16.3.1.2 Conduct the leak-check of that portion of the train from the pump to the orifice meter as described in Section 10.3.1.1.
16.3.1.3 Calculate Yqa for each test run using the following equation:
Where:
Yqa = Dry gas meter calibration check value, dimensionless.
0.0319 = (29.92/528) (0.75)
2 (in. Hg/°R) cfm
2.
ΔH@ = Orifice meter calibration coefficient, in. H2O.
Md = Dry molecular weight of stack gas, lb/lb-mole.
29 = Dry molecular weight of air, lb/lb-mole.
16.3.2 After each test run series, do the following:
16.3.2.1 Average the three or more Yqa's obtained from the test run series and compare this average Yqa with the dry gas meter calibration factor Y. The average Yqa must be within 5 percent of Y.
16.3.2.2 If the average Yqa does not meet the 5 percent criterion, recalibrate the meter over the full range of orifice settings as detailed in Section 10.3.1. Then follow the procedure in Section 10.3.3.
17.0 References.1. Addendum to Specifications for Incinerator Testing at Federal Facilities. PHS, NCAPC. December 6, 1967.
2. Martin, Robert M. Construction Details of Isokinetic Source-Sampling Equipment. Environmental Protection Agency. Research Triangle Park, NC. APTD-0581. April 1971.
3. Rom, Jerome J. Maintenance, Calibration, and Operation of Isokinetic Source Sampling Equipment. Environmental Protection Agency. Research Triangle Park, NC. APTD-0576. March 1972.
4. Smith, W.S., R.T. Shigehara, and W.F. Todd. A Method of Interpreting Stack Sampling Data. Paper Presented at the 63rd Annual Meeting of the Air Pollution Control Association, St. Louis, MO. June 14-19, 1970.
5. Smith, W.S., et al. Stack Gas Sampling Improved and Simplified With New Equipment. APCA Paper No. 67-119. 1967.
6. Specifications for Incinerator Testing at Federal Facilities. PHS, NCAPC. 1967.
7. Shigehara, R.T. Adjustment in the EPA Nomograph for Different Pitot Tube Coefficients and Dry Molecular Weights. Stack Sampling News 2:4-11. October 1974.
8. Vollaro, R.F. A Survey of Commercially Available Instrumentation for the Measurement of Low-Range Gas Velocities. U.S. Environmental Protection Agency, Emission Measurement Branch. Research Triangle Park, NC. November 1976 (unpublished paper).
9. Annual Book of ASTM Standards. Part 26. Gaseous Fuels; Coal and Coke; Atmospheric Analysis. American Society for Testing and Materials. Philadelphia, PA. 1974. pp. 617-622.
10. Felix, L.G., G.I. Clinard, G.E. Lacy, and J.D. McCain. Inertial Cascade Impactor Substrate Media for Flue Gas Sampling. U.S. Environmental Protection Agency. Research Triangle Park, NC 27711. Publication No. EPA-600/7-77-060. June 1977. 83 pp.
11. Westlin, P.R. and R.T. Shigehara. Procedure for Calibrating and Using Dry Gas Volume Meters as Calibration Standards. Source Evaluation Society Newsletter. 3(1):17-30. February 1978.
12. Lodge, J.P., Jr., J.B. Pate, B.E. Ammons, and G.A. Swanson. The Use of Hypodermic Needles as Critical Orifices in Air Sampling. J. Air Pollution Control Association. 16:197-200. 1966.
13. Shigehara, Roger T., P.G. Royals, and E.W. Steward. “Alternative Method 5 Post-Test Calibration.” Entropy Incorporated, Research Triangle Park, NC 27709.
18.0 Tables, Diagrams, Flowcharts, and Validation Data| Gauge/cm | Flow rate liters/min. | Gauge/cm | Flow rate liters/min. |
|---|---|---|---|
| 12/7.6 | 32.56 | 14/2.5 | 19.54 |
| 12/10.2 | 30.02 | 14/5.1 | 17.27 |
| 13/2.5 | 25.77 | 14/7.6 | 16.14 |
| 13/5.1 | 23.50 | 15/3.2 | 14.16 |
| 13/7.6 | 22.37 | 15/7.6 | 11.61 |
| 13/10.2 | 20.67 | 15/10.2 | 10.48 |









Date
Train ID
DGM cal. factor
Critical orifice ID
| Dry gas meter | Run No. | ||
|---|---|---|---|
| 1 | 2 | ||
| Final reading | m3 (ft3) | ||
| Initial reading | m3 (ft3) | ||
| Difference, Vm | m3 (ft3) | ||
| Inlet/Outlet | |||
| Temperatures: | °C ( °F) | / | / |
| Initial | °C ( °F) | / | / |
| Final | min/sec | / | / |
| Av. Temeperature, t m | min | ||
| Time, θ | |||
| Orifice man. rdg., ΔH | mm (in.) H 2 | ||
| Bar. pressure, P bar | mm (in.) Hg | ||
| Ambient temperature, tamb | mm (in.) Hg | ||
| Pump vacuum | |||
| K′ factor | |||
| Average |
| Dry gas meter | Run No. | ||
|---|---|---|---|
| 1 | 2 | ||
| Final reading | m3 (ft3) | ||
| Initial reading | m3 (ft3) | ||
| Difference, Vm | m3 (ft3) | ||
| Inlet/outlet temperatures | °C ( °F) | / | / |
| Initial | °C ( °F) | / | / |
| Final | °C ( °F) | ||
| Avg. Temperature, tm | min/sec | / | / |
| Time, θ | min | ||
| Orifice man. rdg., ΔH | min | ||
| Bar. pressure, Pbar | mm (in.) H2 O | ||
| Ambient temperature, tamb | mm (in.) Hg | ||
| Pump vacuum | °C ( °F) | ||
| Vm(std) | mm (in.) Hg | ||
| Vcr(std) | m3 (ft3) | ||
| DGM cal. factor, Y | m3 (ft3) |
Note:
This method does not include all of the specifications (e.g., equipment and supplies) and procedures (e.g., sampling and analytical) essential to its performance. Some material is incorporated by reference from other methods in this part. Therefore, to obtain reliable results, persons using this method should have a thorough knowledge of at least the following additional test methods: Method 1, Method 2, Method 3, and Method 5.
1.1 Analyte. Particulate matter (PM). No CAS number assigned.
1.2 Applicability. This method is applicable for the determination of PM emissions from asphalt roofing industry process saturators, blowing stills, and other sources as specified in the regulations.
1.3 Data Quality Objectives. Adherence to the requirements of this method will enhance the quality of the data obtained from air pollutant sampling methods.
2.0 Summary of MethodParticulate matter is withdrawn isokinetically from the source and collected on a glass fiber filter maintained at a temperature of 42 ±10 °C (108 ±18 °F). The PM mass, which includes any material that condenses at or above the filtration temperature, is determined gravimetrically after the removal of uncombined water.
3.0 Definitions [Reserved]4.0 Interferences [Reserved]5.0 Safety5.1 Disclaimer. This method may involve hazardous materials, operations, and equipment. This test method may not address all of the safety problems associated with its use. It is the responsibility of the user of this test method to establish appropriate safety and health practices and to determine the applicability of regulatory limitations prior to performing this test method.
6.0 Equipment and Supplies6.1 Sample Collection. Same as Method 5, section 6.1, with the following exceptions and additions:
6.1.1 Probe Liner. Same as Method 5, section 6.1.1.2, with the note that at high stack gas temperatures greater than 250 °C (480 °F), water-cooled probes may be required to control the probe exit temperature to 42 ±10 °C (108 ±18 °F).
6.1.2 Precollector Cyclone. Borosilicate glass following the construction details shown in Air Pollution Technical Document (APTD)-0581, “Construction Details of Isokinetic Source-Sampling Equipment” (Reference 2 in Method 5, section 17.0).
Note:
The cyclone shall be used when the stack gas moisture is greater than 10 percent, and shall not be used otherwise.
6.1.3 Filter Heating System. Any heating (or cooling) system capable of maintaining a sample gas temperature at the exit end of the filter holder during sampling at 42 ±10 °C (108 ±18 °F).
6.2 Sample Recovery. The following items are required for sample recovery:
6.2.1 Probe-Liner and Probe-Nozzle Brushes, Graduated Cylinder and/or Balance, Plastic Storage Containers, and Funnel and Rubber Policeman. Same as in Method 5, sections 6.2.1, 6.2.5, 6.2.6, and 6.2.7, respectively.
6.2.2 Wash Bottles. Glass.
6.2.3 Sample Storage Containers. Chemically resistant 500-ml or 1,000-ml borosilicate glass bottles, with rubber-backed Teflon screw cap liners or caps that are constructed so as to be leak-free, and resistant to chemical attack by 1,1,1-trichloroethane (TCE). (Narrow-mouth glass bottles have been found to be less prone to leakage.)
6.2.4 Petri Dishes. Glass, unless otherwise specified by the Administrator.
6.2.5 Funnel. Glass.
6.3 Sample Analysis. Same as Method 5, section 6.3, with the following additions:
6.3.1 Beakers. Glass, 250-ml and 500-ml.
6.3.2 Separatory Funnel. 100-ml or greater.
7.0. Reagents and Standards7.1 Sample Collection. The following reagents are required for sample collection:
7.1.1 Filters, Silica Gel, Water, and Crushed Ice. Same as in Method 5, sections 7.1.1, 7.1.2, 7.1.3, and 7.1.4, respectively.
7.1.2 Stopcock Grease. TCE-insoluble, heat-stable grease (if needed). This is not necessary if screw-on connectors with Teflon sleeves, or similar, are used.
7.2 Sample Recovery. Reagent grade TCE, ≤0.001 percent residue and stored in glass bottles. Run TCE blanks before field use, and use only TCE with low blank values (≤0.001 percent). In no case shall a blank value of greater than 0.001 percent of the weight of TCE used be subtracted from the sample weight.
7.3 Analysis. Two reagents are required for the analysis:
7.3.1 TCE. Same as in section 7.2.
7.3.2 Desiccant. Same as in Method 5, section 7.3.2.
8.0. Sample Collection, Preservation, Storage, and Transport8.1 Pretest Preparation. Unless otherwise specified, maintain and calibrate all components according to the procedure described in APTD-0576, “Maintenance, Calibration, and Operation of Isokinetic Source-Sampling Equipment” (Reference 3 in Method 5, Section 17.0). Alternative mercury-free thermometers may be used if the thermometers are, at a minimum, equivalent in terms of performance or suitably effective for the specific temperature measurement application.
8.1.1 Prepare probe liners and sampling nozzles as needed for use. Thoroughly clean each component with soap and water followed by a minimum of three TCE rinses. Use the probe and nozzle brushes during at least one of the TCE rinses (refer to section 8.7 for rinsing techniques). Cap or seal the open ends of the probe liners and nozzles to prevent contamination during shipping.
8.1.2 Prepare silica gel portions and glass filters as specified in Method 5, section 8.1.
8.2 Preliminary Determinations. Select the sampling site, probe nozzle, and probe length as specified in Method 5, section 8.2. Select a total sampling time greater than or equal to the minimum total sampling time specified in the “Test Methods and Procedures” section of the applicable subpart of the regulations. Follow the guidelines outlined in Method 5, section 8.2 for sampling time per point and total sample volume collected.
8.3 Preparation of Sampling Train. Prepare the sampling train as specified in Method 5, section 8.3, with the addition of the precollector cyclone, if used, between the probe and filter holder. The temperature of the precollector cyclone, if used, should be maintained in the same range as that of the filter, i.e., 42 ±10 °C (108 ±18 °F). Use no stopcock grease on ground glass joints unless grease is insoluble in TCE.
8.4 Leak-Check Procedures. Same as Method 5, section 8.4.
8.5 Sampling Train Operation. Operate the sampling train as described in Method 5, section 8.5, except maintain the temperature of the gas exiting the filter holder at 42 ±10 °C (108 ±18 °F).
8.6 Calculation of Percent Isokinetic. Same as Method 5, section 8.6.
8.7 Sample Recovery. Same as Method 5, section 8.7.1 through 8.7.6.1, with the addition of the following:
8.7.1 Container No. 2 (Probe to Filter Holder).
8.7.1.1 Taking care to see that material on the outside of the probe or other exterior surfaces does not get into the sample, quantitatively recover PM or any condensate from the probe nozzle, probe fitting, probe liner, precollector cyclone and collector flask (if used), and front half of the filter holder by washing these components with TCE and placing the wash in a glass container. Carefully measure the total amount of TCE used in the rinses. Perform the TCE rinses as described in Method 5, section 8.7.6.2, using TCE instead of acetone.
8.7.1.2 Brush and rinse the inside of the cyclone, cyclone collection flask, and the front half of the filter holder. Brush and rinse each surface three times or more, if necessary, to remove visible PM.
8.7.2 Container No. 3 (Silica Gel). Same as in Method 5, section 8.7.6.3.
8.7.3 Impinger Water. Same as Method 5, section 8.7.6.4.
8.8 Blank. Save a portion of the TCE used for cleanup as a blank. Take 200 ml of this TCE directly from the wash bottle being used, and place it in a glass sample container labeled “TCE Blank.”
9.0 Quality Control9.1 Miscellaneous Quality Control Measures.
| Section | Quality control measure | Effect |
|---|---|---|
| 8.4, 10.0 | Sampling equipment leak check and calibration | Ensures accurate measurement of stack gas flow rate, sample volume. |
9.2 A quality control (QC) check of the volume metering system at the field site is suggested before collecting the sample. Use the procedure outlined in Method 5, section 9.2.
10.0 Calibration and StandardizationSame as Method 5, section 10.0.
11.0 Analytical Procedures11.1 Analysis. Record the data required on a sheet such as the one shown in Figure 5A-1. Handle each sample container as follows:
11.1.1 Container No. 1 (Filter). Transfer the filter from the sample container to a tared glass weighing dish, and desiccate for 24 hours in a desiccator containing anhydrous calcium sulfate. Rinse Container No. 1 with a measured amount of TCE, and analyze this rinse with the contents of Container No. 2. Weigh the filter to a constant weight. For the purpose of this analysis, the term “constant weight” means a difference of no more than 10 percent of the net filter weight or 2 mg (whichever is greater) between two consecutive weighings made 24 hours apart. Report the “final weight” to the nearest 0.1 mg as the average of these two values.
11.1.2 Container No. 2 (Probe to Filter Holder).
11.1.2.1 Before adding the rinse from Container No. 1 to Container No. 2, note the level of liquid in Container No. 2, and confirm on the analysis sheet whether leakage occurred during transport. If noticeable leakage occurred, either void the sample or take steps, subject to the approval of the Administrator, to correct the final results.
11.1.2.2 Add the rinse from Container No. 1 to Container No. 2 and measure the liquid in this container either volumetrically to ±1 ml or gravimetrically to ±0.5 g. Check to see whether there is any appreciable quantity of condensed water present in the TCE rinse (look for a boundary layer or phase separation). If the volume of condensed water appears larger than 5 ml, separate the oil-TCE fraction from the water fraction using a separatory funnel. Measure the volume of the water phase to the nearest ml; adjust the stack gas moisture content, if necessary (see sections 12.3 and 12.4). Next, extract the water phase with several 25-ml portions of TCE until, by visual observation, the TCE does not remove any additional organic material. Transfer the remaining water fraction to a tared beaker and evaporate to dryness at 93 °C (200 °F), desiccate for 24 hours, and weigh to the nearest 0.1 mg.
11.1.2.3 Treat the total TCE fraction (including TCE from the filter container rinse and water phase extractions) as follows: Transfer the TCE and oil to a tared beaker, and evaporate at ambient temperature and pressure. The evaporation of TCE from the solution may take several days. Do not desiccate the sample until the solution reaches an apparent constant volume or until the odor of TCE is not detected. When it appears that the TCE has evaporated, desiccate the sample, and weigh it at 24-hour intervals to obtain a “constant weight” (as defined for Container No. 1 above). The “total weight” for Container No. 2 is the sum of the evaporated PM weight of the TCE-oil and water phase fractions. Report the results to the nearest 0.1 mg.
11.1.3 Container No. 3 (Silica Gel). This step may be conducted in the field. Weigh the spent silica gel (or silica gel plus impinger) to the nearest 0.5 g using a balance.
11.1.4 “TCE Blank” Container. Measure TCE in this container either volumetrically or gravimetrically. Transfer the TCE to a tared 250-ml beaker, and evaporate to dryness at ambient temperature and pressure. Desiccate for 24 hours, and weigh to a constant weight. Report the results to the nearest 0.1 mg.
Note:
In order to facilitate the evaporation of TCE liquid samples, these samples may be dried in a controlled temperature oven at temperatures up to 38 °C (100 °F) until the liquid is evaporated.
Carry out calculations, retaining at least one extra significant figure beyond that of the acquired data. Round off figures after the final calculation. Other forms of the equations may be used as long as they give equivalent results.
12.1 Nomenclature. Same as Method 5, section 12.1, with the following additions:
Ct = TCE blank residue concentration, mg/g. mt = Mass of residue of TCE blank after evaporation, mg. Vpc = Volume of water collected in precollector, ml. Vt = Volume of TCE blank, ml. Vtw = Volume of TCE used in wash, ml. Wt = Weight of residue in TCE wash, mg. ρt = Density of TCE (see label on bottle), g/ml.12.2 Dry Gas Meter Temperature, Orifice Pressure Drop, and Dry Gas Volume. Same as Method 5, sections 12.2 and 12.3, except use data obtained in performing this test.
12.3 Volume of Water Vapor.
Where:
K2 = 0.001333 m
3/ml for metric units.
= 0.04706 ft
3/ml for English units.
12.4 Moisture Content.

Note:
In saturated or water droplet-laden gas streams, two calculations of the moisture content of the stack gas shall be made, one from the impinger and precollector analysis (Equations 5A-1 and 5A-2) and a second from the assumption of saturated conditions. The lower of the two values of moisture content shall be considered correct. The procedure for determining the moisture content based upon assumption of saturated conditions is given in section 4.0 of Method 4. For the purpose of this method, the average stack gas temperature from Figure 5-3 of Method 5 may be used to make this determination, provided that the accuracy of the in-stack temperature sensor is within 1 °C (2 °F).
12.5 TCE Blank Concentration.

Note:
In no case shall a blank value of greater than 0.001 percent of the weight of TCE used be subtracted from the sample weight.
12.6 TCE Wash Blank.

12.7 Total PM Weight. Determine the total PM catch from the sum of the weights obtained from Containers 1 and 2, less the TCE blank.
12.8 PM Concentration.
Where:
K3 = 0.001 g/mg for metric units
= 0.0154 gr/mg for English units
12.9 Isokinetic Variation. Same as in Method 5, section 12.11.
13.0 Method Performance [Reserved]14.0 Pollution Prevention [Reserved]15.0 Waste Management [Reserved]16.0 ReferencesSame as Method 5, section 17.0.
17.0 Tables, Diagrams, Flowcharts, and Validation Data Plant Date Run No. Filter No. Amount liquid lost during transport Acetone blank volume, m1 Acetone blank concentration, mg/mg (Equation 5-4) Acetone wash blank, mg (Equation 5-5)| Container number | Weight of particulate collected, mg | ||
|---|---|---|---|
| Final weight | Tare weight | Weight gain | |
| 1. | |||
| 2. | |||
| Total: | |||
| Less acetone blank | |||
| Weight of particulate matter |
| Volume of liquid water collected | ||
|---|---|---|
| Impinger volume, ml | Silica gel weight, g | |
| Final | ||
| Initial | ||
| Liquid collected | ||
| Total volume collected | g* ml | |
| * Convert weight of water to volume by dividing total weight increase by density of water (1 g/ml). |
Method 5B—Determination of Nonsulfuric Acid Particulate Matter Emissions From Stationary Sources
Note:
This method does not include all of the specifications (e.g., equipment and supplies) and procedures (e.g., sampling and analytical) essential to its performance. Some material is incorporated by reference from other methods in this part. Therefore, to obtain reliable results, persons using this method should have a thorough knowledge of at least the following additional test methods: Method 1, Method 2, Method 3, Method 5.
1.1 Analyte. Nonsulfuric acid particulate matter. No CAS number assigned.
1.2 Applicability. This method is determining applicable for the determination of nonsulfuric acid particulate matter from stationary sources, only where specified by an applicable subpart of the regulations or where approved by the Administrator for a particular application.
1.3 Data Quality Objectives. Adherence to the requirements of this method will enhance the quality of the data obtained from air pollutant sampling methods.
2.0 Summary of MethodParticulate matter is withdrawn isokinetically from the source and collected on a glass fiber filter maintained at a temperature of 160 ±14 °C (320 ±25 °F). The collected sample is then heated in an oven at 160 °C (320 °F) for 6 hours to volatilize any condensed sulfuric acid that may have been collected, and the nonsulfuric acid particulate mass is determined gravimetrically.
3.0 Definitions [Reserved]4.0 Interferences [Reserved]5.0 Safety5.1 Disclaimer. This method may involve hazardous materials, operations, and equipment. This test method may not address all of the safety problems associated with its use. It is the responsibility of the user of this test method to establish appropriate safety and health practices and to determine the applicability of regulatory limitations prior to performing this test method.
6.0 Equipment and SuppliesSame as Method 5, section 6.0, with the following addition and exceptions:
6.1 Sample Collection. The probe liner heating system and filter heating system must be capable of maintaining a sample gas temperature of 160 ±14 °C (320 ±25 °F).
6.2 Sample Preparation. An oven is required for drying the sample.
7.0 Reagents and StandardsSame as Method 5, section 7.0.
8.0 Sample Collection, Preservation, Storage, and Transport.Same as Method 5, with the exception of the following:
8.1 Initial Filter Tare. Oven dry the filter at 160 ±5 °C (320 ±10 °F) for 2 to 3 hours, cool in a desiccator for 2 hours, and weigh. Desiccate to constant weight to obtain the initial tare weight. Use the applicable specifications and techniques of section 8.1.3 of Method 5 for this determination.
8.2 Probe and Filter Temperatures. Maintain the probe outlet and filter temperatures at 160 ±14 °C (320 ±25 °F).
9.0 Quality ControlSame as Method 5, section 9.0.
10.0 Calibration and StandardizationSame as Method 5, section 10.0.
11.0 Analytical Procedure11.1 Record and report the data required on a sheet such as the one shown in Figure 5B-1.
11.2 Handle each sample container as follows:
11.2.1 Container No. 1. Leave the contents in the shipping container or transfer the filter and any loose PM from the sample container to a tared non-reactive oven-proof container. Oven dry the filter sample at a temperature of 160 ±5 °C (320 ±9 °F) for 6 hours. Cool in a desiccator for 2 hours, and weigh to constant weight. Report the results to the nearest 0.1 mg. For the purposes of this section, the term “constant weight” means a difference of no more than 0.5 mg or 1 percent of total weight less tare weight, whichever is greater, between two consecutive weighings, with no less than 6 hours of desiccation time between weighings.
11.2.2 Container No. 2. Note the level of liquid in the container, and confirm on the analysis sheet whether leakage occurred during transport. If a noticeable amount of leakage has occurred, either void the sample or use methods, subject to the approval of the Administrator, to correct the final results. Measure the liquid in this container either volumetrically to ±1 ml or gravimetrically to ±0.5 g. Transfer the contents to a tared 250 ml beaker, and evaporate to dryness at ambient temperature and pressure. Then oven dry the probe sample at a temperature of 160 ±5 °C (320 ±9 °F) for 6 hours. Cool in a desiccator for 2 hours, and weigh to constant weight. Report the results to the nearest 0.1 mg.
11.2.3 Container No. 3. Weigh the spent silica gel (or silica gel plus impinger) to the nearest 0.5 g using a balance. This step may be conducted in the field.
11.2.4 Acetone Blank Container. Measure the acetone in this container either volumetrically or gravimetrically. Transfer the acetone to a tared 250 ml beaker, and evaporate to dryness at ambient temperature and pressure. Desiccate for 24 hours, and weigh to a constant weight. Report the results to the nearest 0.1 mg.
Note: The contents of Container No. 2 as well as the acetone blank container may be evaporated at temperatures higher than ambient. If evaporation is done at an elevated temperature, the temperature must be below the boiling point of the solvent; also, to prevent “bumping,” the evaporation process must be closely supervised, and the contents of the beaker must be swirled occasionally to maintain an even temperature. Use extreme care, as acetone is highly flammable and has a low flash point.
12.0 Data Analysis and CalculationsSame as in Method 5, section 12.0.
13.0 Method Performance [Reserved]14.0 Pollution Prevention [Reserved]15.0 Waste Management [Reserved]16.0 ReferencesSame as Method 5, section 17.0.
17.0 Tables, Diagrams, Flowcharts, and Validation Data| Container number | Weight of particulate collected, mg | ||
|---|---|---|---|
| Final weight | Tare weight | Weight gain | |
| 1. | |||
| 2. | |||
| Total: | |||
| Less acetone blank | |||
| Weight of particulate matter |
| Volume of liquid water collected | ||
|---|---|---|
| Impinger volume, | Silica gel weight, | |
| ml | g | |
| Final | ||
| Initial | ||
| Liquid collected | ||
| Total volume collected | g* ml | |
| * Convert weight of water to volume by dividing total weight increase by density of water (1 g/ml). |
Note:
This method does not include all of the specifications (e.g., equipment and supplies) and procedures (e.g., sampling and analytical) essential to its performance. Some material is incorporated by reference from other methods in this part. Therefore, to obtain reliable results, persons using this method should have a thorough knowledge of at least the following additional test methods: Method 1, Method 2, Method 3, Method 5, Method 17.
1.1 Analyte. Particulate matter (PM). No CAS number assigned.
1.2 Applicability.
1.2.1 This method is applicable for the determination of PM emissions from positive pressure fabric filters. Emissions are determined in terms of concentration (mg/m 3 or gr/ft 3) and emission rate (kg/hr or lb/hr).
1.2.2 The General Provisions of 40 CFR part 60, § 60.8(e), require that the owner or operator of an affected facility shall provide performance testing facilities. Such performance testing facilities include sampling ports, safe sampling platforms, safe access to sampling sites, and utilities for testing. It is intended that affected facilities also provide sampling locations that meet the specification for adequate stack length and minimal flow disturbances as described in Method 1. Provisions for testing are often overlooked factors in designing fabric filters or are extremely costly. The purpose of this procedure is to identify appropriate alternative locations and procedures for sampling the emissions from positive pressure fabric filters. The requirements that the affected facility owner or operator provide adequate access to performance testing facilities remain in effect.
1.3 Data Quality Objectives. Adherence to the requirements of this method will enhance the quality of the data obtained from air pollutant sampling methods.
2.0 Summary of Method2.1 Particulate matter is withdrawn isokinetically from the source and collected on a glass fiber filter maintained at a temperature at or above the exhaust gas temperature up to a nominal 120 °C (248 ±25 °F). The particulate mass, which includes any material that condenses at or above the filtration temperature, is determined gravimetrically after the removal of uncombined water.
3.0 Definitions [Reserved]4.0 Interferences [Reserved]5.0 Safety5.1 Disclaimer. This method may involve hazardous materials, operations, and equipment. This test method may not address all of the safety problems associated with its use. It is the responsibility of the user to establish appropriate safety and health practices and to determine the applicability of regulatory limitations prior to performing this test method.
6.0 Equipment and SuppliesSame as section 6.0 of either Method 5 or Method 17.
7.0 Reagents and StandardsSame as section 7.0 of either Method 5 or Method 17.
8.0 Sample Collection, Preservation, Storage, and TransportSame section 8.0 of either Method 5 or Method 17, except replace section 8.2.1 of Method 5 with the following:
8.1 Determination of Measurement Site. The configuration of positive pressure fabric filter structures frequently are not amenable to emission testing according to the requirements of Method 1. Following are several alternatives for determining measurement sites for positive pressure fabric filters.
8.1.1 Stacks Meeting Method 1 Criteria. Use a measurement site as specified in Method 1, section 11.1.
8.1.2 Short Stacks Not Meeting Method 1 Criteria. Use stack extensions and the procedures in Method 1. Alternatively, use flow straightening vanes of the “egg-crate” type (see Figure 5D-1). Locate the measurement site downstream of the straightening vanes at a distance equal to or greater than two times the average equivalent diameter of the vane openings and at least one-half of the overall stack diameter upstream of the stack outlet.
8.1.3 Roof Monitor or Monovent. (See Figure 5D-2). For a positive pressure fabric filter equipped with a peaked roof monitor, ridge vent, or other type of monovent, use a measurement site at the base of the monovent. Examples of such locations are shown in Figure 5D-2. The measurement site must be upstream of any exhaust point (e.g., louvered vent).
8.1.4 Compartment Housing. Sample immediately downstream of the filter bags directly above the tops of the bags as shown in the examples in Figure 5D-2. Depending on the housing design, use sampling ports in the housing walls or locate the sampling equipment within the compartment housing.
8.2 Determination of Number and Location of Traverse Points. Locate the traverse points according to Method 1, section 11.3. Because a performance test consists of at least three test runs and because of the varied configurations of positive pressure fabric filters, there are several schemes by which the number of traverse points can be determined and the three test runs can be conducted.
8.2.1 Single Stacks Meeting Method 1 Criteria. Select the number of traverse points according to Method 1. Sample all traverse points for each test run.
8.2.2 Other Single Measurement Sites. For a roof monitor or monovent, single compartment housing, or other stack not meeting Method 1 criteria, use at least 24 traverse points. For example, for a rectangular measurement site, such as a monovent, use a balanced 5 × 5 traverse point matrix. Sample all traverse points for each test run.
8.2.3 Multiple Measurement Sites. Sampling from two or more stacks or measurement sites may be combined for a test run, provided the following guidelines are met:
8.2.3.1 All measurement sites up to 12 must be sampled. For more than 12 measurement sites, conduct sampling on at least 12 sites or 50 percent of the sites, whichever is greater. The measurement sites sampled should be evenly, or nearly evenly, distributed among the available sites; if not, all sites are to be sampled.
8.2.3.2 The same number of measurement sites must be sampled for each test run.
8.2.3.3 The minimum number of traverse points per test run is 24. An exception to the 24-point minimum would be a test combining the sampling from two stacks meeting Method 1 criteria for acceptable stack length, and Method 1 specifies fewer than 12 points per site.
8.2.3.4 As long as the 24 traverse points per test run criterion is met, the number of traverse points per measurement site may be reduced to eight.
8.2.3.5 Alternatively, conduct a test run for each measurement site individually using the criteria in section 8.2.1 or 8.2.2 to determine the number of traverse points. Each test run shall count toward the total of three required for a performance test. If more than three measurement sites are sampled, the number of traverse points per measurement site may be reduced to eight as long as at least 72 traverse points are sampled for all the tests.
8.2.3.6 The following examples demonstrate the procedures for sampling multiple measurement sites.
8.2.3.6.1 Example 1: A source with nine circular measurement sites of equal areas may be tested as follows: For each test run, traverse three measurement sites using four points per diameter (eight points per measurement site). In this manner, test run number 1 will include sampling from sites 1,2, and 3; run 2 will include samples from sites 4, 5, and 6; and run 3 will include sites 7, 8, and 9. Each test area may consist of a separate test of each measurement site using eight points. Use the results from all nine tests in determining the emission average.
8.2.3.6.2 Example 2: A source with 30 rectangular measurement sites of equal areas may be tested as follows: For each of the three test runs, traverse five measurement sites using a 3 × 3 matrix of traverse points for each site. In order to distribute the sampling evenly over all the available measurement sites while sampling only 50 percent of the sites, number the sites consecutively from 1 to 30 and sample all the even numbered (or odd numbered) sites. Alternatively, conduct a separate test of each of 15 measurement sites using section 8.2.1 or 8.2.2 to determine the number and location of traverse points, as appropriate.
8.2.3.6.3 Example 3: A source with two measurement sites of equal areas may be tested as follows: For each test of three test runs, traverse both measurement sites, using section 8.2.3 in determining the number of traverse points. Alternatively, conduct two full emission test runs for each measurement site using the criteria in section 8.2.1 or 8.2.2 to determine the number of traverse points.
8.2.3.7 Other test schemes, such as random determination of traverse points for a large number of measurement sites, may be used with prior approval from the Administrator.
8.3 Velocity Determination.
8.3.1 The velocities of exhaust gases from positive pressure baghouses are often too low to measure accurately with the type S pitot tube specified in Method 2 (i.e., velocity head <1.3 mm H2O (0.05 in. H2O)). For these conditions, measure the gas flow rate at the fabric filter inlet following the procedures outlined in Method 2. Calculate the average gas velocity at the measurement site as shown in section 12.2 and use this average velocity in determining and maintaining isokinetic sampling rates.
8.3.2 Velocity determinations to determine and maintain isokinetic rates at measurement sites with gas velocities within the range measurable with the type S pitot tube (i.e., velocity head greater than 1.3 mm H2O (0.05 in. H2O)) shall be conducted according to the procedures outlined in Method 2.
8.4 Sampling. Follow the procedures specified in sections 8.1 through 8.6 of Method 5 or sections 8.1 through 8.25 in Method 17 with the exceptions as noted above.
8.5 Sample Recovery. Follow the procedures specified in section 8.7 of Method 5 or section 8.2 of Method 17.
9.0 Quality Control9.1 Miscellaneous Quality Control Measures.
| Section | Quality control measure | Effect |
|---|---|---|
| 8.0, 10.0 | Sampling equipment leak check and calibration | Ensures accurate measurement of stack gas flow rate, sample volume. |
9.2 Volume Metering System Checks. Same as Method 5, section 9.2.
10.0 Calibration and StandardizationSame as section 10.0 of either Method 5 or Method 17.
11.0 Analytical ProcedureSame as section 11.0 of either Method 5 or Method 17.
12.0 Data Analysis and CalculationsSame as section 12.0 of either Method 5 or Method 17 with the following exceptions:
12.1 Nomenclature.
Ao = Measurement site(s) total cross-sectional area, m 2 (ft 2). C or Cavg = Average concentration of PM for all n runs, mg/scm (gr/scf). Qi = Inlet gas volume flow rate, m 3/sec (ft 3/sec). mi = Mass collected for run i of n, mg (gr). To = Average temperature of gas at measurement site, °K (°R). Ti = Average temperature of gas at inlet, °K (°R). Voli = Sample volume collected for run i of n, scm (scf). v = Average gas velocity at the measurement site(s), m/s (ft/s) Qo = Total baghouse exhaust volumetric flow rate, m 3/sec (ft 3/sec). Qd = Dilution air flow rate, m 3/sec (ft 3/sec). Tamb = Ambient Temperature, (°K).12.2 Average Gas Velocity. When following section 8.3.1, calculate the average gas velocity at the measurement site as follows:

12.3 Volumetric Flow Rate. Total volumetric flow rate may be determined as follows:

12.4 Dilution Air Flow Rate.

12.5 Average PM Concentration. For multiple measurement sites, calculate the average PM concentration as follows:
13.0 Method Performance [Reserved]14.0 Pollution Prevention [Reserved]15.0 Waste Management [Reserved]16.0 References
Same as Method 5, section 17.0.
17.0 Tables, Diagrams, Flowcharts, and Validation Data
Method 5E—Determination of Particulate Matter Emissions From the Wool Fiberglass Insulation Manufacturing Industry
Note:
This method does not include all of the specifications (e.g., equipment and supplies) and procedures (e.g., sampling and analytical) essential to its performance. Some material is incorporated by reference from other methods in this part. Therefore, to obtain reliable results, persons using this method should have a thorough knowledge of at least the following additional test methods: Method 1, Method 2, Method 3, and Method 5.
1.1 Analyte. Particulate matter (PM). No CAS number assigned.
1.2 Applicability. This method is applicable for the determination of PM emissions from wool fiberglass insulation manufacturing sources.
2.0 Summary of MethodParticulate matter is withdrawn isokinetically from the source and is collected either on a glass fiber filter maintained at a temperature in the range of 120 ±14 °C (248 ±25 °F) and in impingers in solutions of 0.1 N sodium hydroxide (NaOH). The filtered particulate mass, which includes any material that condenses at or above the filtration temperature, is determined gravimetrically after the removal of uncombined water. The condensed PM collected in the impinger solutions is determined as total organic carbon (TOC) using a nondispersive infrared type of analyzer. The sum of the filtered PM mass and the condensed PM is reported as the total PM mass.
3.0 Definitions [Reserved]4.0 Interferences [Reserved]5.0 Safety5.1 Disclaimer. This method may involve hazardous materials, operations, and equipment. This test method may not address all of the safety problems associated with its use. It is the responsibility of the user of this test method to establish appropriate safety and health practices and to determine the applicability of regulatory limitations prior to performing this test method.
5.2 Corrosive Reagents. The following reagents are hazardous. Personal protective equipment and safe procedures are useful in preventing chemical splashes. If contact occurs, immediately flush with copious amounts of water at least 15 minutes. Remove clothing under shower and decontaminate. Treat residual chemical burn as thermal burn.
5.2.1 Hydrochloric Acid (HCl). Highly toxic. Vapors are highly irritating to eyes, skin, nose, and lungs, causing severe damage. May cause bronchitis, pneumonia, or edema of lungs. Exposure to concentrations of 0.13 to 0.2 percent in air can be lethal in minutes. Will react with metals, producing hydrogen.
5.2.2 Sodium Hydroxide (NaOH). Causes severe damage to eye tissues and to skin. Inhalation causes irritation to nose, throat, and lungs. Reacts exothermically with limited amounts of water.
6.0 Equipment and Supplies6.1 Sample Collection. Same as Method 5, section 6.1, with the exception of the following:
6.1.1 Probe Liner. Same as described in section 6.1.1.2 of Method 5 except use only borosilicate or quartz glass liners.
6.1.2 Filter Holder. Same as described in section 6.1.1.5 of Method 5 with the addition of a leak-tight connection in the rear half of the filter holder designed for insertion of a temperature sensor used for measuring the sample gas exit temperature.
6.2 Sample Recovery. Same as Method 5, section 6.2, except three wash bottles are needed instead of two and only glass storage bottles and funnels may be used.
6.3 Sample Analysis. Same as Method 5, section 6.3, with the additional equipment for TOC analysis as described below:
6.3.1 Sample Blender or Homogenizer. Waring type or ultrasonic.
6.3.2 Magnetic Stirrer.
6.3.3 Hypodermic Syringe. 0- to 100-µl capacity.
6.3.4 Total Organic Carbon Analyzer. Rosemount Model 2100A analyzer or equivalent and a recorder.
6.3.5 Beaker. 30-ml.
6.3.6 Water Bath. Temperature controlled.
6.3.7 Volumetric Flasks. 1000-ml and 500-ml.
7.0 Reagents and StandardsUnless otherwise indicated, it is intended that all reagents conform to the specifications established by the Committee on Analytical Reagents of the American Chemical Society, where such specifications are available; otherwise, use the best available grade.
7.1 Sample Collection. Same as Method 5, section 7.1, with the addition of 0.1 N NaOH (Dissolve 4 g of NaOH in water and dilute to 1 liter).
7.2 Sample Recovery. Same as Method 5, section 7.2, with the addition of the following:
7.2.1 Water. Deionized distilled to conform to ASTM Specification D 1193-77 or 91 Type 3 (incorporated by reference—see § 60.17). The potassium permanganate (KMnO4) test for oxidizable organic matter may be omitted when high concentrations of organic matter are not expected to be present.
7.2.2 Sodium Hydroxide. Same as described in section 7.1.
7.3 Sample Analysis. Same as Method 5, section 7.3, with the addition of the following:
7.3.1 Carbon Dioxide-Free Water. Distilled or deionized water that has been freshly boiled for 15 minutes and cooled to room temperature while preventing exposure to ambient air by using a cover vented with an Ascarite tube.
7.3.2 Hydrochloric Acid. HCl, concentrated, with a dropper.
7.3.3 Organic Carbon Stock Solution. Dissolve 2.1254 g of dried potassium biphthalate (HOOCC6H4COOK) in CO2-free water, and dilute to 1 liter in a volumetric flask. This solution contains 1000 mg/L organic carbon.
7.3.4 Inorganic Carbon Stock Solution. Dissolve 4.404 g anhydrous sodium carbonate (Na2CO3.) in about 500 ml of CO2-free water in a 1-liter volumetric flask. Add 3.497 g anhydrous sodium bicarbonate (NaHCO3) to the flask, and dilute to 1 liter with CO2 -free water. This solution contains 1000 mg/L inorganic carbon.
7.3.5 Oxygen Gas. CO2 -free.
8.0 Sample Collection, Preservation, Storage, and Transport8.1 Pretest Preparation and Preliminary Determinations. Same as Method 5, sections 8.1 and 8.2, respectively.
8.2 Preparation of Sampling Train. Same as Method 5, section 8.3, except that 0.1 N NaOH is used in place of water in the impingers. The volumes of the solutions are the same as in Method 5.
8.3 Leak-Check Procedures, Sampling Train Operation, Calculation of Percent Isokinetic. Same as Method 5, sections 8.4 through 8.6, respectively.
8.4 Sample Recovery. Same as Method 5, sections 8.7.1 through 8.7.4, with the addition of the following:
8.4.1 Save portions of the water, acetone, and 0.1 N NaOH used for cleanup as blanks. Take 200 ml of each liquid directly from the wash bottles being used, and place in glass sample containers labeled “water blank,” “acetone blank,” and “NaOH blank,” respectively.
8.4.2 Inspect the train prior to and during disassembly, and note any abnormal conditions. Treat the samples as follows:
8.4.2.1 Container No. 1. Same as Method 5, section 8.7.6.1.
8.4.2.2 Container No. 2. Use water to rinse the sample nozzle, probe, and front half of the filter holder three times in the manner described in section 8.7.6.2 of Method 5 except that no brushing is done. Put all the water wash in one container, seal, and label.
8.4.2.3 Container No. 3. Rinse and brush the sample nozzle, probe, and front half of the filter holder with acetone as described for Container No. 2 in section 8.7.6.2 of Method 5.
8.4.2.4 Container No. 4. Place the contents of the silica gel impinger in its original container as described for Container No. 3 in section 8.7.6.3 of Method 5.
8.4.2.5 Container No. 5. Measure the liquid in the first three impingers and record the volume or weight as described for the Impinger Water in section 8.7.6.4 of Method 5. Do not discard this liquid, but place it in a sample container using a glass funnel to aid in the transfer from the impingers or graduated cylinder (if used) to the sample container. Rinse each impinger thoroughly with 0.1 N NaOH three times, as well as the graduated cylinder (if used) and the funnel, and put these rinsings in the same sample container. Seal the container and label to clearly identify its contents.
8.5 Sample Transport. Whenever possible, containers should be shipped in such a way that they remain upright at all times.
9.0 Quality Control.9.1 Miscellaneous Quality Control Measures.
| Section | Quality control measure | Effect |
|---|---|---|
| 8.3, 10.0 | Sampling equipment leak-check and calibration | Ensures accurate measurement of stack gas flow rate, sample volume. |
| 10.1.2, 11.2.5.3 | Repetitive analyses | Ensures precise measurement of total carbon and inorganic carbon concentration of samples, blank, and standards. |
| 10.1.4 | TOC analyzer calibration | Ensures linearity of analyzer response to standards. |
9.2 Volume Metering System Checks. Same as Method 5, section 9.2.
10.0 Calibration and StandardizationSame as Method 5, section 10.0, with the addition of the following procedures for calibrating the total organic carbon analyzer:
10.1 Preparation of Organic Carbon Standard Curve.
10.1.1 Add 10 ml, 20 ml, 30 ml, 40 ml, and 50 ml of the organic carbon stock solution to a series of five 1000-ml volumetric flasks. Add 30 ml, 40 ml, and 50 ml of the same solution to a series of three 500-ml volumetric flasks. Dilute the contents of each flask to the mark using CO2-free water. These flasks contain 10, 20, 30, 40, 50, 60, 80, and 100 mg/L organic carbon, respectively.
10.1.2 Use a hypodermic syringe to withdraw a 20- to 50-µl aliquot from the 10 mg/L standard solution and inject it into the total carbon port of the analyzer. Measure the peak height. Repeat the injections until three consecutive peaks are obtained within 10 percent of their arithmetic mean. Repeat this procedure for the remaining organic carbon standard solutions.
10.1.3 Calculate the corrected peak height for each standard by deducting the blank correction (see section 11.2.5.3) as follows:
Where:
A = Peak height of standard or sample, mm or other appropriate unit.
B = Peak height of blank, mm or other appropriate unit.
10.1.4 Prepare a linear regression plot of the arithmetic mean of the three consecutive peak heights obtained for each standard solution against the concentration of that solution. Calculate the calibration factor as the inverse of the slope of this curve. If the product of the arithmetic mean peak height for any standard solution and the calibration factor differs from the actual concentration by more than 5 percent, remake and reanalyze that standard.
10.2 Preparation of Inorganic Carbon Standard Curve. Repeat the procedures outlined in sections 10.1.1 through 10.1.4, substituting the inorganic carbon stock solution for the organic carbon stock solution, and the inorganic carbon port of the analyzer for the total carbon port.
11.0 Analytical Procedure11.1 Record the data required on a sheet such as the one shown in Figure 5-6 of Method 5.
11.2 Handle each sample container as follows:
11.2.1 Container No. 1. Same as Method 5, section 11.2.1, except that the filters must be dried at 20 ±6 °C (68 ±10 °F) and ambient pressure.
11.2.2 Containers No. 2 and No. 3. Same as Method 5, section 11.2.2, except that evaporation of the samples must be at 20 ±6 °C (68 ±10 °F) and ambient pressure.
11.2.3 Container No. 4. Same as Method 5, section 11.2.3.
11.2.4 “Water Blank” and “Acetone Blank” Containers. Determine the water and acetone blank values following the procedures for the “Acetone Blank” container in section 11.2.4 of Method 5. Evaporate the samples at ambient temperature (20 ±6 °C (68 ±10 °F)) and pressure.
11.2.5 Container No. 5. For the determination of total organic carbon, perform two analyses on successive identical samples, i.e., total carbon and inorganic carbon. The desired quantity is the difference between the two values obtained. Both analyses are based on conversion of sample carbon into carbon dioxide for measurement by a nondispersive infrared analyzer. Results of analyses register as peaks on a strip chart recorder.
11.2.5.1 The principal differences between the operating parameters for the two channels involve the combustion tube packing material and temperature. In the total carbon channel, a high temperature (950 °C (1740 °F)) furnace heats a Hastelloy combustion tube packed with cobalt oxide-impregnated asbestos fiber. The oxygen in the carrier gas, the elevated temperature, and the catalytic effect of the packing result in oxidation of both organic and inorganic carbonaceous material to CO2, and steam. In the inorganic carbon channel, a low temperature (150 °C (300 °F)) furnace heats a glass tube containing quartz chips wetted with 85 percent phosphoric acid. The acid liberates CO2 and steam from inorganic carbonates. The operating temperature is below that required to oxidize organic matter. Follow the manufacturer's instructions for assembly, testing, calibration, and operation of the analyzer.
11.2.5.2 As samples collected in 0.1 N NaOH often contain a high measure of inorganic carbon that inhibits repeatable determinations of TOC, sample pretreatment is necessary. Measure and record the liquid volume of each sample (or impinger contents). If the sample contains solids or immiscible liquid matter, homogenize the sample with a blender or ultrasonics until satisfactory repeatability is obtained. Transfer a representative portion of 10 to 15 ml to a 30-ml beaker, and acidify with about 2 drops of concentrated HCl to a pH of 2 or less. Warm the acidified sample at 50 °C (120 °F) in a water bath for 15 minutes.
11.2.5.3 While stirring the sample with a magnetic stirrer, use a hypodermic syringe to withdraw a 20-to 50-µ1 aliquot from the beaker. Analyze the sample for total carbon and calculate its corrected mean peak height according to the procedures outlined in sections 10.1.2 and 10.1.3. Similarly analyze an aliquot of the sample for inorganic carbon. Repeat the analyses for all the samples and for the 0.1 N NaOH blank.
11.2.5.4 Ascertain the total carbon and inorganic carbon concentrations (CTC and CIC, respectively) of each sample and blank by comparing the corrected mean peak heights for each sample and blank to the appropriate standard curve.
Note:
If samples must be diluted for analysis, apply an appropriate dilution factor.
Same as Method 5, section 12.0, with the addition of the following:
12.1 Nomenclature.
Cc = Concentration of condensed particulate matter in stack gas, gas dry basis, corrected to standard conditions, g/dscm (gr/dscf). CIC = Concentration of condensed TOC in the liquid sample, from section 11.2.5, mg/L. Ct = Total particulate concentration, dry basis, corrected to standard conditions, g/dscm (gr/dscf). CTC = Concentration of condensed TOC in the liquid sample, from section 11.2.5, mg/L. CTOC = Concentration of condensed TOC in the liquid sample, mg/L. mTOC = Mass of condensed TOC collected in the impingers, mg. Vm(std) = Volume of gas sample measured by the dry gas meter, corrected to standard conditions, from section 12.3 of Method 5, dscm (dscf). Vs = Total volume of liquid sample, ml.12.2 Concentration of Condensed TOC in Liquid Sample.

12.3 Mass of Condensed TOC Collected.
Where:
0.001 = Liters per milliliter.
12.4 Concentration of Condensed Particulate Material.
Where:
K4 = 0.001 g/mg for metric units.
= 0.0154 gr/mg for English units.
12.5 Total Particulate Concentration.
13.0 Method Performance [Reserved]14.0 Pollution Prevention [Reserved]15.0 Waste Management [Reserved]16.0 Alternative Procedures
16.1 Total Organic Carbon Analyzer. Tekmar-Dohrmann analyzers using the single injection technique may be used as an alternative to Rosemount Model 2100A analyzers.
17.0 References.Same as section 17.0 of Method 5, with the addition of the following:
1. American Public Health Association, American Water Works Association, Water Pollution Control Federation. Standard Methods for the Examination of Water and Wastewater. Fifteenth Edition. Washington, D.C. 1980.
18.0 Tables, Diagrams, Flowcharts, and Validation Data [Reserved]Method 5F—Determination of Nonsulfate Particulate Matter Emissions From Stationary SourcesNote:
This method does not include all of the specifications (e.g., equipment and supplies) and procedures (e.g., sampling and analytical) essential to its performance. Some material is incorporated by reference from other methods in this part. Therefore, to obtain reliable results, persons using this method should have a thorough knowledge of at least the following additional test methods: Method 1, Method 2, Method 3, and Method 5.
1.1 Analyte. Nonsulfate particulate matter (PM). No CAS number assigned.
1.2 Applicability. This method is applicable for the determination of nonsulfate PM emissions from stationary sources. Use of this method must be specified by an applicable subpart of the standards, or approved by the Administrator for a particular application.
1.3 Data Quality Objectives. Adherence to the requirements of this method will enhance the quality of the data obtained from air pollutant sampling methods.
2.0 Summary of MethodParticulate matter is withdrawn isokinetically from the source and collected on a filter maintained at a temperature in the range 160 ±14 °C (320 ±25 °F). The collected sample is extracted with water. A portion of the extract is analyzed for sulfate content by ion chromatography. The remainder is neutralized with ammonium hydroxide (NH4OH), dried, and weighed. The weight of sulfate in the sample is calculated as ammonium sulfate ((NH4)2SO4), and is subtracted from the total particulate weight; the result is reported as nonsulfate particulate matter.
3.0 Definitions [Reserved]4.0 Interferences [Reserved]5.0 Safety5.1 Disclaimer. This method may involve hazardous materials, operations, and equipment. This test method may not address all of the safety problems associated with its use. It is the responsibility of the user of this test method to establish appropriate safety and health practices and to determine the applicability of regulatory limitations prior to performing this test method.
6.0 Equipment and Supplies6.1 Sample Collection and Recovery. Same as Method 5, sections 6.1 and 6.2, respectively.
6.2 Sample Analysis. Same as Method 5, section 6.3, with the addition of the following:
6.2.1 Erlenmeyer Flasks. 125-ml, with ground glass joints.
6.2.2 Air Condenser. With ground glass joint compatible with the Erlenmeyer flasks.
6.2.3 Beakers. 600-ml.
6.2.4 Volumetric Flasks. 1-liter, 500-ml (one for each sample), 200-ml, and 50-ml (one for each sample and standard).
6.2.5 Pipet. 5-ml (one for each sample and standard).
6.2.6 Ion Chromatograph. The ion chromatograph should have at least the following components.
6.2.6.1 Columns. An anion separation column or other column capable of resolving the sulfate ion from other species present and a standard anion suppressor column. Suppressor columns are produced as proprietary items; however, one can be produced in the laboratory using the resin available from BioRad Company, 32nd and Griffin Streets, Richmond, California. Other systems which do not use suppressor columns may also be used.
6.2.6.2 Pump. Capable of maintaining a steady flow as required by the system.
6.2.6.3 Flow Gauges. Capable of measuring the specified system flow rate.
6.2.6.4 Conductivity Detector.
6.2.6.5 Recorder. Compatible with the output voltage range of the detector.
7.0 Reagents and StandardsUnless otherwise indicated, it is intended that all reagents conform to the specifications established by the Committee on Analytical Reagents of the American Chemical Society, where such specifications are available; otherwise, use the best available grade.
7.1 Sample Collection. Same as Method 5, section 7.1.
7.2 Sample Recovery. Same as Method 5, section 7.2, with the addition of the following:
7.2.1 Water. Deionized distilled, to conform to ASTM D 1193-77 or 91 Type 3 (incorporated by reference—see § 60.17). The potassium permanganate (KMnO4) test for oxidizable organic matter may be omitted when high concentrations of organic matter are not expected to be present.
7.3 Analysis. Same as Method 5, section 7.3, with the addition of the following:
7.3.1 Water. Same as in section 7.2.1.
7.3.2 Stock Standard Solution, 1 mg (NH4)2SO4/ml. Dry an adequate amount of primary standard grade ammonium sulfate ((NH4)2SO4) at 105 to 110 °C (220 to 230 °F) for a minimum of 2 hours before preparing the standard solution. Then dissolve exactly 1.000 g of dried (NH4)2SO4 in water in a 1-liter volumetric flask, and dilute to 1 liter. Mix well.
7.3.3 Working Standard Solution, 25 µg (NH4)2SO4/ml. Pipet 5 ml of the stock standard solution into a 200-ml volumetric flask. Dilute to 200 ml with water.
7.3.4 Eluent Solution. Weigh 1.018 g of sodium carbonate (Na2CO3) and 1.008 g of sodium bicarbonate (NaHCO3), and dissolve in 4 liters of water. This solution is 0.0024 M Na2CO3/0.003 M NaHCO3. Other eluents appropriate to the column type and capable of resolving sulfate ion from other species present may be used.
7.3.5 Ammonium Hydroxide. Concentrated, 14.8 M.
7.3.6 Phenolphthalein Indicator. 3,3-Bis(4-hydroxyphenyl)-1-(3H)-isobenzo-furanone. Dissolve 0.05 g in 50 ml of ethanol and 50 ml of water.
8.0 Sample Collection, Preservation, Storage, and TransportSame as Method 5, section 8.0, with the exception of the following:
8.1 Sampling Train Operation. Same as Method 5, section 8.5, except that the probe outlet and filter temperatures shall be maintained at 160 ±14 °C (320 ±25 °F).
8.2 Sample Recovery. Same as Method 5, section 8.7, except that the recovery solvent shall be water instead of acetone, and a clean filter from the same lot as those used during testing shall be saved for analysis as a blank.
9.0 Quality Control9.1 Miscellaneous Quality Control Measures
| Section | Quality control measure | Effect |
|---|---|---|
| 8.3, 10.0 | Sampling equipment leak check and calibration | Ensures accurate measurement of stack gas flow rate, sample volume. |
| 10.1.2, 11.2.5.3 | Repetitive analyses | Ensures precise measurement of total carbon and inorganic carbon concentration of samples, blank, and standards. |
9.2 Volume Metering System Checks. Same as Method 5, section 9.2.
10.0 Calibration and StandardizationSame as Method 5, section 10.0, with the addition of the following:
10.1 Determination of Ion Chromatograph Calibration Factor S. Prepare a series of five standards by adding 1.0, 2.0, 4.0, 6.0, and 10.0 ml of working standard solution (25 µg/ml) to a series of five 50-ml volumetric flasks. (The standard masses will equal 25, 50, 100, 150, and 250 µg.) Dilute each flask to the mark with water, and mix well. Analyze each standard according to the chromatograph manufacturer's instructions. Take peak height measurements with symmetrical peaks; in all other cases, calculate peak areas. Prepare or calculate a linear regression plot of the standard masses in µg (x-axis) versus their responses (y-axis). From this line, or equation, determine the slope and calculate its reciprocal which is the calibration factor, S. If any point deviates from the line by more than 7 percent of the concentration at that point, remake and reanalyze that standard. This deviation can be determined by multiplying S times the response for each standard. The resultant concentrations must not differ by more than 7 percent from each known standard mass (i.e., 25, 50, 100, 150, and 250 µg).
10.2 Conductivity Detector. Calibrate according to manufacturer's specifications prior to initial use.
11.0 Analytical Procedure11.1 Sample Extraction.
11.1.1 Note on the analytical data sheet, the level of the liquid in the container, and whether any sample was lost during shipment. If a noticeable amount of leakage has occurred, either void the sample or use methods, subject to the approval of the Administrator, to correct the final results.
11.1.2 Cut the filter into small pieces, and place it in a 125-ml Erlenmeyer flask with a ground glass joint equipped with an air condenser. Rinse the shipping container with water, and pour the rinse into the flask. Add additional water to the flask until it contains about 75 ml, and place the flask on a hot plate. Gently reflux the contents for 6 to 8 hours. Cool the solution, and transfer it to a 500-ml volumetric flask. Rinse the Erlenmeyer flask with water, and transfer the rinsings to the volumetric flask including the pieces of filter.
11.1.3 Transfer the probe rinse to the same 500-ml volumetric flask with the filter sample. Rinse the sample bottle with water, and add the rinsings to the volumetric flask. Dilute the contents of the flask to the mark with water.
11.1.4 Allow the contents of the flask to settle until all solid material is at the bottom of the flask. If necessary, remove and centrifuge a portion of the sample.
11.1.5 Repeat the procedures outlined in sections 11.1.1 through 11.1.4 for each sample and for the filter blank.
11.2 Sulfate (SO4) Analysis.
11.2.1 Prepare a standard calibration curve according to the procedures outlined in section 10.1.
11.2.2 Pipet 5 ml of the sample into a 50-ml volumetric flask, and dilute to 50 ml with water. (Alternatively, eluent solution may be used instead of water in all sample, standard, and blank dilutions.) Analyze the set of standards followed by the set of samples, including the filter blank, using the same injection volume used for the standards.
11.2.3 Repeat the analyses of the standards and the samples, with the standard set being done last. The two peak height or peak area responses for each sample must agree within 5 percent of their arithmetic mean for the analysis to be valid. Perform this analysis sequence on the same day. Dilute any sample and the blank with equal volumes of water if the concentration exceeds that of the highest standard.
11.2.4 Document each sample chromatogram by listing the following analytical parameters: injection point, injection volume, sulfate retention time, flow rate, detector sensitivity setting, and recorder chart speed.
11.3 Sample Residue.
11.3.1 Transfer the remaining contents of the volumetric flask to a tared 600-ml beaker or similar container. Rinse the volumetric flask with water, and add the rinsings to the tared beaker. Make certain that all particulate matter is transferred to the beaker. Evaporate the water in an oven at 105 °C (220 °F) until only about 100 ml of water remains. Remove the beakers from the oven, and allow them to cool.
11.3.2 After the beakers have cooled, add five drops of phenolphthalein indicator, and then add concentrated ammonium hydroxide until the solution turns pink. Return the samples to the oven at 105 °C (220 °F), and evaporate the samples to dryness. Cool the samples in a desiccator, and weigh the samples to constant weight.
12.0 Data Analysis and CalculationsSame as Method 5, section 12.0, with the addition of the following:
12.1 Nomenclature.
CW = Water blank residue concentration, mg/ml. F = Dilution factor (required only if sample dilution was needed to reduce the concentration into the range of calibration). HS = Arithmetic mean response of duplicate sample analyses, mm for height or mm2 for area. Hb = Arithmetic mean response of duplicate filter blank analyses, mm for height or mm2 for area. mb = Mass of beaker used to dry sample, mg. mf = Mass of sample filter, mg. mn = Mass of nonsulfate particulate matter in the sample as collected, mg. ms = Mass of ammonium sulfate in the sample as collected, mg. mt = Mass of beaker, filter, and dried sample, mg. mw = Mass of residue after evaporation of water blank, mg. S = Calibration factor, µg/mm. Vb = Volume of water blank, ml. VS = Volume of sample collected, 500 ml.12.2 Water Blank Concentration.

12.3 Mass of Ammonium Sulfate.
Where:
100 = Aliquot factor, 495 ml/5 ml
1000 = Constant, µg/mg
12.4 Mass of Nonsulfate Particulate Matter.
13.0 Method Performance [Reserved]14.0 Pollution Prevention [Reserved]15.0 Waste Management [Reserved]16.0 Alternative Procedures
16.1 The following procedure may be used as an alternative to the procedure in section 11.0
16.1.1 Apparatus. Same as for Method 6, sections 6.3.3 to 6.3.6 with the following additions.
16.1.1.1 Beakers. 250-ml, one for each sample, and 600-ml.
16.1.1.2 Oven. Capable of maintaining temperatures of 75 ±5 °C (167 ±9 °F) and 105 ±5 °C (221 ±9 °F).
16.1.1.3 Buchner Funnel.
16.1.1.4 Glass Columns. 25-mm × 305-mm (1-in. × 12-in.) with Teflon stopcock.
16.1.1.5 Volumetric Flasks. 50-ml and 500-ml, one set for each sample, and 100-ml, 200-ml, and 1000-ml.
16.1.1.6 Pipettes. Two 20-ml and one 200-ml, one set for each sample, and 5-ml.
16.1.1.7 Filter Flasks. 500-ml.
16.1.1.8 Polyethylene Bottle. 500-ml, one for each sample.
16.1.2 Reagents. Same as Method 6, sections 7.3.2 to 7.3.5 with the following additions:
16.1.2.1 Water, Ammonium Hydroxide, and Phenolphthalein. Same as sections 7.2.1, 7.3.5, and 7.3.6 of this method, respectively.
16.1.2.2 Filter. Glass fiber to fit Buchner funnel.
16.1.2.3 Hydrochloric Acid (HCl), 1 m. Add 8.3 ml of concentrated HCl (12 M) to 50 ml of water in a 100-ml volumetric flask. Dilute to 100 ml with water.
16.1.2.4 Glass Wool.
16.1.2.5 Ion Exchange Resin. Strong cation exchange resin, hydrogen form, analytical grade.
16.1.2.6 pH Paper. Range of 1 to 7.
16.1.3 Analysis.
16.1.3.1 Ion Exchange Column Preparation. Slurry the resin with 1 M HCl in a 250-ml beaker, and allow to stand overnight. Place 2.5 cm (1 in.) of glass wool in the bottom of the glass column. Rinse the slurried resin twice with water. Resuspend the resin in water, and pour sufficient resin into the column to make a bed 5.1 cm (2 in.) deep. Do not allow air bubbles to become entrapped in the resin or glass wool to avoid channeling, which may produce erratic results. If necessary, stir the resin with a glass rod to remove air bubbles, after the column has been prepared, never let the liquid level fall below the top of the upper glass wool plug. Place a 2.5-cm (1-in.) plug of glass wool on top of the resin. Rinse the column with water until the eluate gives a pH of 5 or greater as measured with pH paper.
16.1.3.2 Sample Extraction. Followup the procedure given in section 11.1.3 except do not dilute the sample to 500 ml.
16.1.3.3 Sample Residue.
16.1.3.3.1 Place at least one clean glass filter for each sample in a Buchner funnel, and rinse the filters with water. Remove the filters from the funnel, and dry them in an oven at 105 ±5 °C (221 ±9 °F); then cool in a desiccator. Weigh each filter to constant weight according to the procedure in Method 5, section 11.0. Record the weight of each filter to the nearest 0.1 mg.
16.1.3.3.2 Assemble the vacuum filter apparatus, and place one of the clean, tared glass fiber filters in the Buchner funnel. Decant the liquid portion of the extracted sample (Section 16.1.3.2) through the tared glass fiber filter into a clean, dry, 500-ml filter flask. Rinse all the particulate matter remaining in the volumetric flask onto the glass fiber filter with water. Rinse the particulate matter with additional water. Transfer the filtrate to a 500-ml volumetric flask, and dilute to 500 ml with water. Dry the filter overnight at 105 ±5 °C (221 ±9 °F), cool in a desiccator, and weigh to the nearest 0.1 mg.
16.1.3.3.3 Dry a 250-ml beaker at 75 ±5 °C (167 ±9 °F), and cool in a desiccator; then weigh to constant weight to the nearest 0.1 mg. Pipette 200 ml of the filtrate that was saved into a tared 250-ml beaker; add five drops of phenolphthalein indicator and sufficient concentrated ammonium hydroxide to turn the solution pink. Carefully evaporate the contents of the beaker to dryness at 75 ±5 °C (167 ±9 °F). Check for dryness every 30 minutes. Do not continue to bake the sample once it has dried. Cool the sample in a desiccator, and weigh to constant weight to the nearest 0.1 mg.
16.1.3.4 Sulfate Analysis. Adjust the flow rate through the ion exchange column to 3 ml/min. Pipette a 20-ml aliquot of the filtrate onto the top of the ion exchange column, and collect the eluate in a 50-ml volumetric flask. Rinse the column with two 15-ml portions of water. Stop collection of the eluate when the volume in the flask reaches 50-ml. Pipette a 20-ml aliquot of the eluate into a 250-ml Erlenmeyer flask, add 80 ml of 100 percent isopropanol and two to four drops of thorin indicator, and titrate to a pink end point using 0.0100 N barium perchlorate. Repeat and average the titration volumes. Run a blank with each series of samples. Replicate titrations must agree within 1 percent or 0.2 ml, whichever is larger. Perform the ion exchange and titration procedures on duplicate portions of the filtrate. Results should agree within 5 percent. Regenerate or replace the ion exchange resin after 20 sample aliquots have been analyzed or if the end point of the titration becomes unclear.
Note:
Protect the 0.0100 N barium perchlorate solution from evaporation at all times.
16.1.3.5 Blank Determination. Begin with a sample of water of the same volume as the samples being processed and carry it through the analysis steps described in sections 16.1.3.3 and 16.1.3.4. A blank value larger than 5 mg should not be subtracted from the final particulate matter mass. Causes for large blank values should be investigated and any problems resolved before proceeding with further analyses.
16.1.4 Calibration. Calibrate the barium perchlorate solutions as in Method 6, section 10.5.
16.1.5 Calculations.
16.1.5.1 Nomenclature. Same as section 12.1 with the following additions:
ma = Mass of clean analytical filter, mg. md = Mass of dissolved particulate matter, mg. me = Mass of beaker and dissolved particulate matter after evaporation of filtrate, mg. mp = Mass of insoluble particulate matter, mg. mr = Mass of analytical filter, sample filter, and insoluble particulate matter, mg. mbk = Mass of nonsulfate particulate matter in blank sample, mg. mn = Mass of nonsulfate particulate matter, mg. ms = Mass of Ammonium sulfate, mg. N = Normality of Ba(ClO4) titrant, meq/ml. Va = Volume of aliquot taken for titration, 20 ml. Vc = Volume of titrant used for titration blank, ml. Vd = Volume of filtrate evaporated, 200 ml. Ve = Volume of eluate collected, 50 ml. Vf = Volume of extracted sample, 500 ml. Vi = Volume of filtrate added to ion exchange column, 20 ml. Vt = Volume of Ba(C104)2 titrant, ml. W = Equivalent weight of ammonium sulfate, 66.07 mg/meq.16.1.5.2 Mass of Insoluble Particulate Matter.

16.1.5.3 Mass of Dissolved Particulate Matter.

16.1.5.4 Mass of Ammonium Sulfate.

16.1.5.5 Mass of Nonsulfate Particulate Matter.
17.0 References
Same as Method 5, section 17.0, with the addition of the following:
1. Mulik, J.D. and E. Sawicki. Ion Chromatographic Analysis of Environmental Pollutants. Ann Arbor, Ann Arbor Science Publishers, Inc. Vol. 2, 1979.
2. Sawicki, E., J.D. Mulik, and E. Wittgenstein. Ion Chromatographic Analysis of Environmental Pollutants. Ann Arbor, Ann Arbor Science Publishers, Inc. Vol. 1. 1978.
3. Siemer, D.D. Separation of Chloride and Bromide from Complex Matrices Prior to Ion Chromatographic Determination. Analytical Chemistry 52(12): 1874-1877. October 1980.
4. Small, H., T.S. Stevens, and W.C. Bauman. Novel Ion Exchange Chromatographic Method Using Conductimetric Determination. Analytical Chemistry. 47(11):1801. 1975.
18.0 Tables, Diagrams, Flowcharts, and Validation Data [Reserved]Method 5G—Determination of Particulate Matter Emissions From Wood Heaters (Dilution Tunnel Sampling Location)Note:
This method does not include all of the specifications (e.g., equipment and supplies) and procedures (e.g., sampling and analytical) essential to its performance. Some material is incorporated by reference from other methods in this part. Therefore, to obtain reliable results, persons using this method should have a thorough knowledge of at least the following additional test methods: Method 1, Method 2, Method 3, Method 4, Method 5, Method 5H, and Method 28.
1.1 Analyte. Particulate matter (PM). No CAS number assigned.
1.2 Applicability. This method is applicable for the determination of PM emissions from wood heaters.
1.3 Data Quality Objectives. Adherence to the requirements of this method will enhance the quality of the data obtained from air pollutant sampling methods.
2.0 Summary of Method2.1 The exhaust from a wood heater is collected with a total collection hood, and is combined with ambient dilution air. Particulate matter is withdrawn proportionally from a single point in a sampling tunnel, and is collected on two glass fiber filters in series. The filters are maintained at a temperature of no greater than 32 °C (90 °F). The particulate mass is determined gravimetrically after the removal of uncombined water.
2.2 There are three sampling train approaches described in this method: (1) One dual-filter dry sampling train operated at about 0.015 m 3/min (0.5 cfm), (2) One dual-filter plus impingers sampling train operated at about 0.015 m 3/min (0.5 cfm), and (3) two dual-filter dry sampling trains operated simultaneously at any flow rate. Options (2) and (3) are referenced in section 16.0 of this method. The dual-filter dry sampling train equipment and operation, option (1), are described in detail in this method.
3.0 Definitions [Reserved]4.0 Interferences [Reserved]5.0 Safety5.1 Disclaimer. This method may involve hazardous materials, operations, and equipment. This test method may not address all of the safety problems associated with its use. It is the responsibility of the user of this test method to establish appropriate safety and health practices and to determine the applicability of regulatory limitations prior to performing this test method.
6.0 Equipment and Supplies6.1 Sample Collection. The following items are required for sample collection:
6.1.1 Sampling Train. The sampling train configuration is shown in Figure 5G-1 and consists of the following components:
6.1.1.1 Probe. Stainless steel (e.g., 316 or grade more corrosion resistant) or glass about 9.5 mm ( 3/8 in.) I.D., 0.6 m (24 in.) in length. If made of stainless steel, the probe shall be constructed from seamless tubing.
6.1.1.2 Pitot Tube. Type S, as described in section 6.1 of Method 2. The Type S pitot tube assembly shall have a known coefficient, determined as outlined in Method 2, section 10. Alternatively, a standard pitot may be used as described in Method 2, section 6.1.2.
6.1.1.3 Differential Pressure Gauge. Inclined manometer or equivalent device, as described in Method 2, section 6.2. One manometer shall be used for velocity head (Δp) readings and another (optional) for orifice differential pressure readings (ΔH).
6.1.1.4 Filter Holders. Two each made of borosilicate glass, stainless steel, or Teflon, with a glass frit or stainless steel filter support and a silicone rubber, Teflon, or Viton gasket. The holder design shall provide a positive seal against leakage from the outside or around the filters. The filter holders shall be placed in series with the backup filter holder located 25 to 100 mm (1 to 4 in.) downstream from the primary filter holder. The filter holder shall be capable of holding a filter with a 100 mm (4 in.) diameter, except as noted in section 16.
6.1.1.5 Filter Temperature Monitoring System. A temperature sensor capable of measuring temperature to within ±3 °C (±5 °F). The sensor shall be installed at the exit side of the front filter holder so that the sensing tip of the temperature sensor is in direct contact with the sample gas or in a thermowell as shown in Figure 5G-1. The temperature sensor shall comply with the calibration specifications in Method 2, section 10.3. Alternatively, the sensing tip of the temperature sensor may be installed at the inlet side of the front filter holder.
6.1.1.6 Dryer. Any system capable of removing water from the sample gas to less than 1.5 percent moisture (volume percent) prior to the metering system. The system shall include a temperature sensor for demonstrating that sample gas temperature exiting the dryer is less than 20 °C (68 °F).
6.1.1.7 Metering System. Same as Method 5, section 6.1.1.9.
6.1.2 Barometer. Same as Method 5, section 6.1.2.
6.1.3 Dilution Tunnel Gas Temperature Measurement. A temperature sensor capable of measuring temperature to within ±3 °C (±5 °F).
6.1.4 Dilution Tunnel. The dilution tunnel apparatus is shown in Figure 5G-2 and consists of the following components:
6.1.4.1 Hood. Constructed of steel with a minimum diameter of 0.3 m (1 ft) on the large end and a standard 0.15 to 0.3 m (0.5 to 1 ft) coupling capable of connecting to standard 0.15 to 0.3 m (0.5 to 1 ft) stove pipe on the small end.
6.1.4.2 90° Elbows. Steel 90° elbows, 0.15 to 0.3 m (0.5 to 1 ft) in diameter for connecting mixing duct, straight duct and optional damper assembly. There shall be at least two 90° elbows upstream of the sampling section (see Figure 5G-2).
6.1.4.3 Straight Duct. Steel, 0.15 to 0.3 m (0.5 to 1 ft) in diameter to provide the ducting for the dilution apparatus upstream of the sampling section. Steel duct, 0.15 m (0.5 ft) in diameter shall be used for the sampling section. In the sampling section, at least 1.2 m (4 ft) downstream of the elbow, shall be two holes (velocity traverse ports) at 90° to each other of sufficient size to allow entry of the pitot for traverse measurements. At least 1.2 m (4 ft) downstream of the velocity traverse ports, shall be one hole (sampling port) of sufficient size to allow entry of the sampling probe. Ducts of larger diameter may be used for the sampling section, provided the specifications for minimum gas velocity and the dilution rate range shown in section 8 are maintained. The length of duct from the hood inlet to the sampling ports shall not exceed 9.1 m (30 ft).
6.1.4.4 Mixing Baffles. Steel semicircles (two) attached at 90° to the duct axis on opposite sides of the duct midway between the two elbows upstream of sampling section. The space between the baffles shall be about 0.3 m (1 ft).
6.1.4.5 Blower. Squirrel cage or other fan capable of extracting gas from the dilution tunnel of sufficient flow to maintain the velocity and dilution rate specifications in section 8 and exhausting the gas to the atmosphere.
6.2 Sample Recovery. The following items are required for sample recovery: probe brushes, wash bottles, sample storage containers, petri dishes, and funnel. Same as Method 5, sections 6.2.1 through 6.2.4, and 6.2.8, respectively.
6.3 Sample Analysis. The following items are required for sample analysis: glass weighing dishes, desiccator, analytical balance, beakers (250-ml or smaller), hygrometer, and temperature sensor. Same as Method 5, sections 6.3.1 through 6.3.3 and 6.3.5 through 6.3.7, respectively.
7.0 Reagents and Standards7.1 Sample Collection. The following reagents are required for sample collection:
7.1.1 Filters. Glass fiber filters with a minimum diameter of 100 mm (4 in.), without organic binder, exhibiting at least 99.95 percent efficiency (<0.05 percent penetration) on 0.3-micron dioctyl phthalate smoke particles. Gelman A/E 61631 has been found acceptable for this purpose.
7.1.2 Stopcock Grease. Same as Method 5, section 7.1.5. 7.2 Sample Recovery. Acetone-reagent grade, same as Method 5, section 7.2.
7.3 Sample Analysis. Two reagents are required for the sample analysis:
7.3.1 Acetone. Same as in section 7.2.
7.3.2 Desiccant. Anhydrous calcium sulfate, calcium chloride, or silica gel, indicating type.
8.0 Sample Collection, Preservation, Transport, and Storage8.1 Dilution Tunnel Assembly and Cleaning. A schematic of a dilution tunnel is shown in Figure 5G-2. The dilution tunnel dimensions and other features are described in section 6.1.4. Assemble the dilution tunnel, sealing joints and seams to prevent air leakage. Clean the dilution tunnel with an appropriately sized wire chimney brush before each certification test.
8.2 Draft Determination. Prepare the wood heater as in Method 28, section 6.2.1. Locate the dilution tunnel hood centrally over the wood heater stack exhaust. Operate the dilution tunnel blower at the flow rate to be used during the test run. Measure the draft imposed on the wood heater by the dilution tunnel (i.e., the difference in draft measured with and without the dilution tunnel operating) as described in Method 28, section 6.2.3. Adjust the distance between the top of the wood heater stack exhaust and the dilution tunnel hood so that the dilution tunnel induced draft is less than 1.25 Pa (0.005 in. H2O). Have no fire in the wood heater, close the wood heater doors, and open fully the air supply controls during this check and adjustment.
8.3 Pretest Ignition. Same as Method 28, section 8.7.
8.4 Smoke Capture. During the pretest ignition period, operate the dilution tunnel and visually monitor the wood heater stack exhaust. Operate the wood heater with the doors closed and determine that 100 percent of the exhaust gas is collected by the dilution tunnel hood. If less than 100 percent of the wood heater exhaust gas is collected, adjust the distance between the wood heater stack and the dilution tunnel hood until no visible exhaust gas is escaping. Stop the pretest ignition period, and repeat the draft determination procedure described in section 8.2.
8.5 Velocity Measurements. During the pretest ignition period, conduct a velocity traverse to identify the point of average velocity. This single point shall be used for measuring velocity during the test run.
8.5.1 Velocity Traverse. Measure the diameter of the duct at the velocity traverse port location through both ports. Calculate the duct area using the average of the two diameters. A pretest leak-check of pitot lines as in Method 2, section 8.1, is recommended. Place the calibrated pitot tube at the centroid of the stack in either of the velocity traverse ports. Adjust the damper or similar device on the blower inlet until the velocity indicated by the pitot is approximately 220 m/min (720 ft/min). Continue to read the Δp and temperature until the velocity has remained constant (less than 5 percent change) for 1 minute. Once a constant velocity is obtained at the centroid of the duct, perform a velocity traverse as outlined in Method 2, section 8.3 using four points per traverse as outlined in Method 1. Measure the Δp and tunnel temperature at each traverse point and record the readings. Calculate the total gas flow rate using calculations contained in Method 2, section 12. Verify that the flow rate is 4 ±0.40 dscm/min (140 ±14 dscf/min); if not, readjust the damper, and repeat the velocity traverse. The moisture may be assumed to be 4 percent (100 percent relative humidity at 85 °F). Direct moisture measurements (e.g., according to Method 4) are also permissible.
Note:
If burn rates exceed 3 kg/hr (6.6 lb/hr), dilution tunnel duct flow rates greater than 4 dscm/min (140 dscfm) and sampling section duct diameters larger than 150 mm (6 in.) are allowed. If larger ducts or flow rates are used, the sampling section velocity shall be at least 220 m/min (720 fpm). In order to ensure measurable particulate mass catch, it is recommended that the ratio of the average mass flow rate in the dilution tunnel to the average fuel burn rate be less than 150:1 if larger duct sizes or flow rates are used.
8.5.2 Testing Velocity Measurements. After obtaining velocity traverse results that meet the flow rate requirements, choose a point of average velocity and place the pitot and temperature sensor at that location in the duct. Alternatively, locate the pitot and the temperature sensor at the duct centroid and calculate a velocity correction factor for the centroidal position. Mount the pitot to ensure no movement during the test run and seal the port holes to prevent any air leakage. Align the pitot opening to be parallel with the duct axis at the measurement point. Check that this condition is maintained during the test run (about 30-minute intervals). Monitor the temperature and velocity during the pretest ignition period to ensure that the proper flow rate is maintained. Make adjustments to the dilution tunnel flow rate as necessary.
8.6 Pretest Preparation. Same as Method 5, section 8.1.
8.7 Preparation of Sampling Train. During preparation and assembly of the sampling train, keep all openings where contamination can occur covered until just prior to assembly or until sampling is about to begin.
Using a tweezer or clean disposable surgical gloves, place one labeled (identified) and weighed filter in each of the filter holders. Be sure that each filter is properly centered and that the gasket is properly placed so as to prevent the sample gas stream from circumventing the filter. Check each filter for tears after assembly is completed.
Mark the probe with heat resistant tape or by some other method to denote the proper distance into the stack or duct. Set up the train as shown in Figure 5G-1.
8.8 Leak-Check Procedures.
8.8.1 Leak-Check of Metering System Shown in Figure 5G-1. That portion of the sampling train from the pump to the orifice meter shall be leak-checked prior to initial use and after each certification or audit test. Leakage after the pump will result in less volume being recorded than is actually sampled. Use the procedure described in Method 5, section 8.4.1. Similar leak-checks shall be conducted for other types of metering systems (i.e., without orifice meters).
8.8.2 Pretest Leak-Check. A pretest leak-check of the sampling train is recommended, but not required. If the pretest leak check is conducted, the procedures outlined in Method 5, section 8.4.2 should be used. A vacuum of 130 mm Hg (5 in. Hg) may be used instead of 380 mm Hg (15 in. Hg).
8.8.3 Post-Test Leak-Check. A leak-check of the sampling train is mandatory at the conclusion of each test run. The leak-check shall be performed in accordance with the procedures outlined in Method 5, section 8.4.2. A vacuum of 130 mm Hg (5 in. Hg) or the highest vacuum measured during the test run, whichever is greater, may be used instead of 380 mm Hg (15 in. Hg).
8.9 Preliminary Determinations. Determine the pressure, temperature and the average velocity of the tunnel gases as in section 8.5. Moisture content of diluted tunnel gases is assumed to be 4 percent for making flow rate calculations; the moisture content may be measured directly as in Method 4.
8.10 Sampling Train Operation. Position the probe inlet at the stack centroid, and block off the openings around the probe and porthole to prevent unrepresentative dilution of the gas stream. Be careful not to bump the probe into the stack wall when removing or inserting the probe through the porthole; this minimizes the chance of extracting deposited material.
8.10.1 Begin sampling at the start of the test run as defined in Method 28, section 8.8.1. During the test run, maintain a sample flow rate proportional to the dilution tunnel flow rate (within 10 percent of the initial proportionality ratio) and a filter holder temperature of no greater than 32 °C (90 °F). The initial sample flow rate shall be approximately 0.015 m 3/min (0.5 cfm).
8.10.2 For each test run, record the data required on a data sheet such as the one shown in Figure 5G-3. Be sure to record the initial dry gas meter reading. Record the dry gas meter readings at the beginning and end of each sampling time increment and when sampling is halted. Take other readings as indicated on Figure 5G-3 at least once each 10 minutes during the test run. Since the manometer level and zero may drift because of vibrations and temperature changes, make periodic checks during the test run.
8.10.3 For the purposes of proportional sampling rate determinations, data from calibrated flow rate devices, such as glass rotameters, may be used in lieu of incremental dry gas meter readings. Proportional rate calculation procedures must be revised, but acceptability limits remain the same.
8.10.4 During the test run, make periodic adjustments to keep the temperature between (or upstream of) the filters at the proper level. Do not change sampling trains during the test run.
8.10.5 At the end of the test run (see Method 28, section 6.4.6), turn off the coarse adjust valve, remove the probe from the stack, turn off the pump, record the final dry gas meter reading, and conduct a post-test leak-check, as outlined in section 8.8.2. Also, leak-check the pitot lines as described in Method 2, section 8.1; the lines must pass this leak-check in order to validate the velocity head data.
8.11 Calculation of Proportional Sampling Rate. Calculate percent proportionality (see section 12.7) to determine whether the run was valid or another test run should be made.
8.12 Sample Recovery. Same as Method 5, section 8.7, with the exception of the following:
8.12.1 An acetone blank volume of about 50-ml or more may be used.
8.12.2 Treat the samples as follows:
8.12.2.1 Container Nos. 1 and 1A. Treat the two filters according to the procedures outlined in Method 5, section 8.7.6.1. The filters may be stored either in a single container or in separate containers. Use the sum of the filter tare weights to determine the sample mass collected.
8.12.2.3 Container No. 2.
8.12.2.3.1 Taking care to see that dust on the outside of the probe or other exterior surfaces does not get into the sample, quantitatively recover particulate matter or any condensate from the probe and filter holders by washing and brushing these components with acetone and placing the wash in a labeled glass container. At least three cycles of brushing and rinsing are required.
8.12.2.3.2 Between sampling runs, keep brushes clean and protected from contamination.
8.12.2.3.3 After all acetone washings and particulate matter have been collected in the sample containers, tighten the lids on the sample containers so that the acetone will not leak out when transferred to the laboratory weighing area. Mark the height of the fluid levels to determine whether leakage occurs during transport. Label the containers clearly to identify contents.
8.13 Sample Transport. Whenever possible, containers should be shipped in such a way that they remain upright at all times.
Note:
Requirements for capping and transport of sample containers are not applicable if sample recovery and analysis occur in the same room.
9.1 Miscellaneous Quality Control Measures.
| Section | Quality control measure | Effect |
|---|---|---|
| 8.8, 10.1-10.4 | Sampling equipment leak check and calibration | Ensures accurate measurement of stack gas flow rate, sample volume. |
| 10.5 | Analytical balance calibration | Ensure accurate and precise measurement of collected particulate. |
| 16.2.5 | Simultaneous, dual-train sample collection | Ensure precision of measured particulate concentration. |
9.2 Volume Metering System Checks. Same as Method 5, section 9.2.
10.0 Calibration and StandardizationNote:
Maintain a laboratory record of all calibrations.
10.1 Pitot Tube. The Type S pitot tube assembly shall be calibrated according to the procedure outlined in Method 2, section 10.1, prior to the first certification test and checked semiannually, thereafter. A standard pitot need not be calibrated but shall be inspected and cleaned, if necessary, prior to each certification test.
10.2 Volume Metering System.
10.2.1 Initial and Periodic Calibration. Before its initial use and at least semiannually thereafter, calibrate the volume metering system as described in Method 5, section 10.3.1, except that the wet test meter with a capacity of 3.0 liters/rev (0.1 ft 3/rev) may be used. Other liquid displacement systems accurate to within ±1 percent, may be used as calibration standards.
Note:
Procedures and equipment specified in Method 5, section 16.0, for alternative calibration standards, including calibrated dry gas meters and critical orifices, are allowed for calibrating the dry gas meter in the sampling train. A dry gas meter used as a calibration standard shall be recalibrated at least once annually.
10.2.2 Calibration After Use. After each certification or audit test (four or more test runs conducted on a wood heater at the four burn rates specified in Method 28), check calibration of the metering system by performing three calibration runs at a single, intermediate flow rate as described in Method 5, section 10.3.2.
Note:
Procedures and equipment specified in Method 5, section 16.0, for alternative calibration standards are allowed for the post-test dry gas meter calibration check.
10.2.3 Acceptable Variation in Calibration. If the dry gas meter coefficient values obtained before and after a certification test differ by more than 5 percent, the certification test shall either be voided and repeated, or calculations for the certification test shall be performed using whichever meter coefficient value (i.e., before or after) gives the lower value of total sample volume.
10.3 Temperature Sensors. Use the procedure in Method 2, section 10.3, to calibrate temperature sensors before the first certification or audit test and at least semiannually, thereafter.
10.4 Barometer. Calibrate against a mercury barometer before the first certification test and at least semiannually, thereafter. If a mercury barometer is used, no calibration is necessary. Follow the manufacturer's instructions for operation.
10.5 Analytical Balance. Perform a multipoint calibration (at least five points spanning the operational range) of the analytical balance before the first certification test and semiannually, thereafter. Before each certification test, audit the balance by weighing at least one calibration weight (class F) that corresponds to 50 to 150 percent of the weight of one filter. If the scale cannot reproduce the value of the calibration weight to within 0.1 mg, conduct the multipoint calibration before use.
11.0 Analytical Procedure11.1 Record the data required on a sheet such as the one shown in Figure 5G-4. Use the same analytical balance for determining tare weights and final sample weights.
11.2 Handle each sample container as follows:
11.2.1 Container Nos. 1 and 1A. Treat the two filters according to the procedures outlined in Method 5, section 11.2.1.
11.2.2 Container No. 2. Same as Method 5, section 11.2.2, except that the beaker may be smaller than 250 ml.
11.2.3 Acetone Blank Container. Same as Method 5, section 11.2.4, except that the beaker may be smaller than 250 ml.
12.0 Data Analysis and CalculationsCarry out calculations, retaining at least one extra significant figure beyond that of the acquired data. Round off figures after the final calculation. Other forms of the equations may be used as long as they give equivalent results.
12.1 Nomenclature.
Bws = Water vapor in the gas stream, proportion by volume (assumed to be 0.04). cs = Concentration of particulate matter in stack gas, dry basis, corrected to standard conditions, g/dscm (gr/dscf). E = Particulate emission rate, g/hr (lb/hr). Eadj = Adjusted particulate emission rate, g/hr (lb/hr). La = Maximum acceptable leakage rate for either a pretest or post-test leak-check, equal to 0.00057 m 3/min (0.020 cfm) or 4 percent of the average sampling rate, whichever is less. Lp = Leakage rate observed during the post-test leak-check, m 3/min (cfm). ma = Mass of residue of acetone blank after evaporation, mg. maw = Mass of residue from acetone wash after evaporation, mg. mn = Total amount of particulate matter collected, mg. Mw = Molecular weight of water, 18.0 g/g-mole (18.0 lb/lb-mole). Pbar = Barometric pressure at the sampling site, mm Hg (in. Hg). PR = Percent of proportional sampling rate. Ps = Absolute gas pressure in dilution tunnel, mm Hg (in. Hg). Pstd = Standard absolute pressure, 760 mm Hg (29.92 in. Hg). Qsd = Average gas flow rate in dilution tunnel, calculated as in Method 2, Equation 2-8, dscm/hr (dscf/hr). Tm = Absolute average dry gas meter temperature (see Figure 5G-3), °K (°R). Tmi = Absolute average dry gas meter temperature during each 10-minute interval, i, of the test run, °K (°R). Ts = Absolute average gas temperature in the dilution tunnel (see Figure 5G-3), °K (°R). Tsi = Absolute average gas temperature in the dilution tunnel during each 10 minute interval, i, of the test run, °K (°R). Tstd = Standard absolute temperature, 293 °K (528 °R). Va = Volume of acetone blank, ml. Vaw = Volume of acetone used in wash, ml. Vm = Volume of gas sample as measured by dry gas meter, dcm (dcf). Vmi = Volume of gas sample as measured by dry gas meter during each 10-minute interval, i, of the test run, dcm. Vm(std) = Volume of gas sample measured by the dry gas meter, corrected to standard conditions, dscm (dscf). Vs = Average gas velocity in the dilution tunnel, calculated by Method 2, Equation 2-7, m/sec (ft/sec). The dilution tunnel dry gas molecular weight may be assumed to be 29 g/g mole (lb/lb mole). Vsi = Average gas velocity in dilution tunnel during each 10-minute interval, i, of the test run, calculated by Method 2, Equation 2-7, m/sec (ft/sec). Y = Dry gas meter calibration factor. ΔH = Average pressure differential across the orifice meter, if used (see Figure 5G-2), mm H 2O (in. H 2O). U = Total sampling time, min. 10 = 10 minutes, length of first sampling period. 13.6 = Specific gravity of mercury. 100 = Conversion to percent.12.2 Dry Gas Volume. Same as Method 5, section 12.2, except that component changes are not allowable.
12.3 Solvent Wash Blank.

12.4 Total Particulate Weight. Determine the total particulate catch, mn, from the sum of the weights obtained from Container Nos. 1, 1A, and 2, less the acetone blank (see Figure 5G-4).
12.5 Particulate Concentration.
Where:
K2 = 0.001 g/mg for metric units.
= 0.0154 gr/mg for English units.
12.6 Particulate Emission Rate.

Note:
Particulate emission rate results produced using the sampling train described in section 6 and shown in Figure 5G-1 shall be adjusted for reporting purposes by the following method adjustment factor:
Where:
K3 = constant, 1.82 for metric units.
= constant, 0.643 for English units.
12.7 Proportional Rate Variation. Calculate PR for each 10-minute interval, i, of the test run.

Alternate calculation procedures for proportional rate variation may be used if other sample flow rate data (e.g., orifice flow meters or rotameters) are monitored to maintain proportional sampling rates. The proportional rate variations shall be calculated for each 10-minute interval by comparing the stack to nozzle velocity ratio for each 10-minute interval to the average stack to nozzle velocity ratio for the test run. Proportional rate variation may be calculated for intervals shorter than 10 minutes with appropriate revisions to Equation 5G-5. If no more than 10 percent of the PR values for all the intervals exceed 90 percent ≤PR ≤110 percent, and if no PR value for any interval exceeds 80 percent ≤PR ≤120 percent, the results are acceptable. If the PR values for the test run are judged to be unacceptable, report the test run emission results, but do not include the results in calculating the weighted average emission rate, and repeat the test run.
13.0 Method Performance [Reserved]14.0 Pollution Prevention [Reserved]15.0 Waste Management [Reserved]16.0 Alternative Procedures16.1 Method 5H Sampling Train. The sampling train and sample collection, recovery, and analysis procedures described in Method 5H, sections 6.1.1, 7.1, 7.2, 8.1, 8.10, 8.11, and 11.0, respectively, may be used in lieu of similar sections in Method 5G. Operation of the Method 5H sampling train in the dilution tunnel is as described in section 8.10 of this method. Filter temperatures and condenser conditions are as described in Method 5H. No adjustment to the measured particulate matter emission rate (Equation 5G-4, section 12.6) is to be applied to the particulate emission rate measured by this alternative method.
16.2 Dual Sampling Trains. Two sampling trains may be operated simultaneously at sample flow rates other than that specified in section 8.10, provided that the following specifications are met.
16.2.1 Sampling Train. The sampling train configuration shall be the same as specified in section 6.1.1, except the probe, filter, and filter holder need not be the same sizes as specified in the applicable sections. Filter holders of plastic materials such as Nalgene or polycarbonate materials may be used (the Gelman 1119 filter holder has been found suitable for this purpose). With such materials, it is recommended that solvents not be used in sample recovery. The filter face velocity shall not exceed 150 mm/sec (30 ft/min) during the test run. The dry gas meter shall be calibrated for the same flow rate range as encountered during the test runs. Two separate, complete sampling trains are required for each test run.
16.2.2 Probe Location. Locate the two probes in the dilution tunnel at the same level (see section 6.1.4.3). Two sample ports are necessary. Locate the probe inlets within the 50 mm (2 in.) diameter centroidal area of the dilution tunnel no closer than 25 mm (1 in.) apart.
16.2.3 Sampling Train Operation. Operate the sampling trains as specified in section 8.10, maintaining proportional sampling rates and starting and stopping the two sampling trains simultaneously. The pitot values as described in section 8.5.2 shall be used to adjust sampling rates in both sampling trains.
16.2.4 Recovery and Analysis of Sample. Recover and analyze the samples from the two sampling trains separately, as specified in sections 8.12 and 11.0, respectively.
16.2.4.1 For this alternative procedure, the probe and filter holder assembly may be weighed without sample recovery (use no solvents) described above in order to determine the sample weight gains. For this approach, weigh the clean, dry probe and filter holder assembly upstream of the front filter (without filters) to the nearest 0.1 mg to establish the tare weights. The filter holder section between the front and second filter need not be weighed. At the end of the test run, carefully clean the outside of the probe, cap the ends, and identify the sample (label). Remove the filters from the filter holder assemblies as described for container Nos. 1 and 1A in section 8.12.2.1. Reassemble the filter holder assembly, cap the ends, identify the sample (label), and transfer all the samples to the laboratory weighing area for final weighing. Requirements for capping and transport of sample containers are not applicable if sample recovery and analysis occur in the same room.
16.2.4.2 For this alternative procedure, filters may be weighed directly without a petri dish. If the probe and filter holder assembly are to be weighed to determine the sample weight, rinse the probe with acetone to remove moisture before desiccating prior to the test run. Following the test run, transport the probe and filter holder to the desiccator, and uncap the openings of the probe and the filter holder assembly. Desiccate for 24 hours and weigh to a constant weight. Report the results to the nearest 0.1 mg.
16.2.5 Calculations. Calculate an emission rate (Section 12.6) for the sample from each sampling train separately and determine the average emission rate for the two values. The two emission rates shall not differ by more than 7.5 percent from the average emission rate, or 7.5 percent of the weighted average emission rate limit in the applicable subpart of the regulations, whichever is greater. If this specification is not met, the results are unacceptable. Report the results, but do not include the results in calculating the weighted average emission rate. Repeat the test run until acceptable results are achieved, report the average emission rate for the acceptable test run, and use the average in calculating the weighted average emission rate.
17.0 ReferencesSame as Method 5, section 17.0, References 1 through 11, with the addition of the following:
1. Oregon Department of Environmental Quality. Standard Method for Measuring the Emissions and Efficiencies of Woodstoves. June 8, 1984. Pursuant to Oregon Administrative Rules Chapter 340, Division 21.
2. American Society for Testing and Materials. Proposed Test Methods for Heating Performance and Emissions of Residential Wood-fired Closed Combustion-Chamber Heating Appliances. E-6 Proposal P 180. August 1986.
18.0 Tables, Diagrams, Flowcharts, and Validation Data


Method 5H—Determination of Particulate Matter Emissions From Wood Heaters From a Stack Location
Note:
This method does not include all of the specifications (e.g., equipment and supplies) and procedures (e.g., sampling and analytical) essential to its performance. Some material is incorporated by reference from other methods in this part. Therefore, to obtain reliable results, persons using this method should have a thorough knowledge of at least the following additional test methods: Method 2, Method 3, Method 5, Method 5G, Method 6, Method 6C, Method 16A, and Method 28.
1.1 Analyte. Particulate matter (PM). No CAS number assigned.
1.2 Applicability. This method is applicable for the determination of PM and condensible emissions from wood heaters.
1.3 Data Quality Objectives. Adherence to the requirements of this method will enhance the quality of the data obtained from air pollutant sampling methods.
2.0 Summary of Method2.1 Particulate matter is withdrawn proportionally from the wood heater exhaust and is collected on two glass fiber filters separated by impingers immersed in an ice water bath. The first filter is maintained at a temperature of no greater than 120 °C (248 °F). The second filter and the impinger system are cooled such that the temperature of the gas exiting the second filter is no greater than 20 °C (68 °F). The particulate mass collected in the probe, on the filters, and in the impingers is determined gravimetrically after the removal of uncombined water.
3.0 DefinitionsSame as in Method 6C, section 3.0.
4.0 Interferences [Reserved]5.0 Safety5.1 Disclaimer. This method may involve hazardous materials, operations, and equipment. This test method may not address all of the safety problems associated with its use. It is the responsibility of the user of this test method to establish appropriate safety and health practices and to determine the applicability of regulatory limitations prior to performing this test method.
6.0 Equipment and Supplies6.1 Sample Collection. The following items are required for sample collection:
6.1.1 Sampling Train. The sampling train configuration is shown in Figure 5H-1. Same as Method 5, section 6.1.1, with the exception of the following:
6.1.1.1 Probe Nozzle. The nozzle is optional; a straight sampling probe without a nozzle is an acceptable alternative.
6.1.1.2 Probe Liner. Same as Method 5, section 6.1.1.2, except that the maximum length of the sample probe shall be 0.6 m (2 ft) and probe heating is optional.
6.1.1.3 Filter Holders. Two each of borosilicate glass, with a glass frit or stainless steel filter support and a silicone rubber, Teflon, or Viton gasket. The holder design shall provide a positive seal against leakage from the outside or around the filter. The front filter holder shall be attached immediately at the outlet of the probe and prior to the first impinger. The second filter holder shall be attached on the outlet of the third impinger and prior to the inlet of the fourth (silica gel) impinger.
6.1.2 Barometer. Same as Method 5, section 6.2.
6.1.3 Stack Gas Flow Rate Measurement System. A schematic of an example test system is shown in Figure 5H-2. The flow rate measurement system consists of the following components:
6.1.3.1 Sample Probe. A glass or stainless steel sampling probe.
6.1.3.2 Gas Conditioning System. A high density filter to remove particulate matter and a condenser capable of lowering the dew point of the gas to less than 5 °C (40 °F). Desiccant, such as Drierite, may be used to dry the sample gas. Do not use silica gel.
6.1.3.3 Pump. An inert (e.g., Teflon or stainless steel heads) sampling pump capable of delivering more than the total amount of sample required in the manufacturer's instructions for the individual instruments. A means of controlling the analyzer flow rate and a device for determining proper sample flow rate (e.g., precision rotameter, pressure gauge downstream of all flow controls) shall be provided at the analyzer. The requirements for measuring and controlling the analyzer flow rate are not applicable if data are presented that demonstrate that the analyzer is insensitive to flow variations over the range encountered during the test.
6.1.3.4 Carbon Monoxide (CO) Analyzer. Any analyzer capable of providing a measure of CO in the range of 0 to 10 percent by volume at least once every 10 minutes.
6.1.3.5 Carbon Dioxide (CO2) Analyzer. Any analyzer capable of providing a measure of CO2 in the range of 0 to 25 percent by volume at least once every 10 minutes.
Note:
Analyzers with ranges less than those specified above may be used provided actual concentrations do not exceed the range of the analyzer.
6.1.3.6 Manifold. A sampling tube capable of delivering the sample gas to two analyzers and handling an excess of the total amount used by the analyzers. The excess gas is exhausted through a separate port.
6.1.3.7 Recorders (optional). To provide a permanent record of the analyzer outputs.
6.1.4 Proportional Gas Flow Rate System. To monitor stack flow rate changes and provide a measurement that can be used to adjust and maintain particulate sampling flow rates proportional to the stack gas flow rate. A schematic of the proportional flow rate system is shown in Figure 5H-2 and consists of the following components:
6.1.4.1 Tracer Gas Injection System. To inject a known concentration of sulfur dioxide (SO2) into the flue. The tracer gas injection system consists of a cylinder of SO2, a gas cylinder regulator, a stainless steel needle valve or flow controller, a nonreactive (stainless steel and glass) rotameter, and an injection loop to disperse the SO2 evenly in the flue.
6.1.4.2 Sample Probe. A glass or stainless steel sampling probe.
6.1.4.3 Gas Conditioning System. A combustor as described in Method 16A, sections 6.1.5 and 6.1.6, followed by a high density filter to remove particulate matter, and a condenser capable of lowering the dew point of the gas to less than 5 °C (40 °F). Desiccant, such as Drierite, may be used to dry the sample gas. Do not use silica gel.
6.1.4.4 Pump. Same as described in section 6.1.3.3.
6.1.4.5 SO2 Analyzer. Any analyzer capable of providing a measure of the SO2 concentration in the range of 0 to 1,000 ppm by volume (or other range necessary to measure the SO2 concentration) at least once every 10 minutes.
6.1.4.6 Recorder (optional). To provide a permanent record of the analyzer outputs.
Note:
Other tracer gas systems, including helium gas systems, are acceptable for determination of instantaneous proportional sampling rates.
6.2 Sample Recovery. Same as Method 5, section 6.2.
6.3 Sample Analysis. Same as Method 5, section 6.3, with the addition of the following:
6.3.1 Separatory Funnel. Glass or Teflon, 500-ml or greater.
7.0 Reagents and Standards7.1 Sample Collection. Same as Method 5, section 7.1, including deionized distilled water.
7.2 Sample Recovery. Same as Method 5, section 7.2.
7.3 Sample Analysis. The following reagents and standards are required for sample analysis:
7.3.1 Acetone. Same as Method 5 section 7.2.
7.3.2 Dichloromethane (Methylene Chloride). Reagent grade, <0.001 percent residue in glass bottles.
7.3.3 Desiccant. Anhydrous calcium sulfate, calcium chloride, or silica gel, indicating type.
7.3.4 Cylinder Gases. For the purposes of this procedure, span value is defined as the upper limit of the range specified for each analyzer as described in section 6.1.3.4 or 6.1.3.5. If an analyzer with a range different from that specified in this method is used, the span value shall be equal to the upper limit of the range for the analyzer used (see note in section 6.1.3.5).
7.3.4.1 Calibration Gases. The calibration gases for the CO2, CO, and SO2 analyzers shall be CO2 in nitrogen (N2), CO in N2, and SO2 in N2, respectively. CO2 and CO calibration gases may be combined in a single cylinder. Use three calibration gases as specified in Method 6C, sections 7.2.1 through 7.2.3.
7.3.4.2 SO2 Injection Gas. A known concentration of SO2 in N2. The concentration must be at least 2 percent SO2 with a maximum of 100 percent SO2.
8.0 Sample Collection, Preservation, Transport, and Storage8.1 Pretest Preparation. Same as Method 5, section 8.1.
8.2 Calibration Gas and SO2 Injection Gas Concentration Verification, Sampling System Bias Check, Response Time Test, and Zero and Calibration Drift Tests. Same as Method 6C, sections 8.2.1, 8.2.3, 8.2.4, and 8.5, respectively, except that for verification of CO and CO2 gas concentrations, substitute Method 3 for Method 6.
8.3 Preliminary Determinations.
8.3.1 Sampling Location. The sampling location for the particulate sampling probe shall be 2.45 ±0.15 m (8 ±0.5 ft) above the platform upon which the wood heater is placed (i.e., the top of the scale).
8.3.2 Sampling Probe and Nozzle. Select a nozzle, if used, sized for the range of velocity heads, such that it is not necessary to change the nozzle size in order to maintain proportional sampling rates. During the run, do not change the nozzle size. Select a suitable probe liner and probe length to effect minimum blockage.
8.4 Preparation of Particulate Sampling Train. Same as Method 5, section 8.3, with the exception of the following:
8.4.1 The train should be assembled as shown in Figure 5H-1.
8.4.2 A glass cyclone may not be used between the probe and filter holder.
8.5 Leak-Check Procedures.
8.5.1 Leak-Check of Metering System Shown in Figure 5H-1. That portion of the sampling train from the pump to the orifice meter shall be leak-checked after each certification or audit test. Use the procedure described in Method 5, section 8.4.1.
8.5.2 Pretest Leak-Check. A pretest leak-check of the sampling train is recommended, but not required. If the pretest leak-check is conducted, the procedures outlined in Method 5, section 8.5.2 should be used. A vacuum of 130 mm Hg (5 in. Hg) may be used instead of 380 mm Hg (15 in. Hg).
8.5.2 Leak-Checks During Sample Run. If, during the sampling run, a component (e.g., filter assembly or impinger) change becomes necessary, conduct a leak-check as described in Method 5, section 8.4.3.
8.5.3 Post-Test Leak-Check. A leak-check is mandatory at the conclusion of each sampling run. The leak-check shall be performed in accordance with the procedures outlined in Method 5, section 8.4.4, except that a vacuum of 130 mm Hg (5 in. Hg) or the greatest vacuum measured during the test run, whichever is greater, may be used instead of 380 mm Hg (15 in. Hg).
8.6 Tracer Gas Procedure. A schematic of the tracer gas injection and sampling systems is shown in Figure 5H-2.
8.6.1 SO2 Injection Probe. Install the SO2 injection probe and dispersion loop in the stack at a location 2.9 ±0.15 m (9.5 ±0.5 ft) above the sampling platform.
8.6.2 SO2 Sampling Probe. Install the SO2 sampling probe at the centroid of the stack at a location 4.1 ±0.15 m (13.5 ±0.5 ft) above the sampling platform.
8.7 Flow Rate Measurement System. A schematic of the flow rate measurement system is shown in Figure 5H-2. Locate the flow rate measurement sampling probe at the centroid of the stack at a location 2.3 ±0.3 m (7.5 ±1 ft) above the sampling platform.
8.8 Tracer Gas Procedure. Within 1 minute after closing the wood heater door at the start of the test run (as defined in Method 28, section 8.8.1), meter a known concentration of SO2 tracer gas at a constant flow rate into the wood heater stack. Monitor the SO2 concentration in the stack, and record the SO2 concentrations at 10-minute intervals or more often. Adjust the particulate sampling flow rate proportionally to the SO2 concentration changes using Equation 5H-6 (e.g., the SO2 concentration at the first 10-minute reading is measured to be 100 ppm; the next 10 minute SO2 concentration is measured to be 75 ppm: the particulate sample flow rate is adjusted from the initial 0.15 cfm to 0.20 cfm). A check for proportional rate variation shall be made at the completion of the test run using Equation 5H-10.
8.9 Volumetric Flow Rate Procedure. Apply stoichiometric relationships to the wood combustion process in determining the exhaust gas flow rate as follows:
8.9.1 Test Fuel Charge Weight. Record the test fuel charge weight (wet) as specified in Method 28, section 8.8.2. The wood is assumed to have the following weight percent composition: 51 percent carbon, 7.3 percent hydrogen, 41 percent oxygen. Record the wood moisture for each fuel charge as described in Method 28, section 8.6.5. The ash is assumed to have negligible effect on associated C, H, and O concentrations after the test burn.
8.9.2 Measured Values. Record the CO and CO2 concentrations in the stack on a dry basis every 10 minutes during the test run or more often. Average these values for the test run. Use as a mole fraction (e.g., 10 percent CO2 is recorded as 0.10) in the calculations to express total flow (see Equation 5H-6).
8.10 Sampling Train Operation.
8.10.1 For each run, record the data required on a data sheet such as the one shown in Figure 5H-3. Be sure to record the initial dry gas meter reading. Record the dry gas meter readings at the beginning and end of each sampling time increment, when changes in flow rates are made, before and after each leak-check, and when sampling is halted. Take other readings as indicated on Figure 5H-3 at least once each 10 minutes during the test run.
8.10.2 Remove the nozzle cap, verify that the filter and probe heating systems are up to temperature, and that the probe is properly positioned. Position the nozzle, if used, facing into gas stream, or the probe tip in the 50 mm (2 in.) centroidal area of the stack.
8.10.3 Be careful not to bump the probe tip into the stack wall when removing or inserting the probe through the porthole; this minimizes the chance of extracting deposited material.
8.10.4 When the probe is in position, block off the openings around the probe and porthole to prevent unrepresentative dilution of the gas stream.
8.10.5 Begin sampling at the start of the test run as defined in Method 28, section 8.8.1, start the sample pump, and adjust the sample flow rate to between 0.003 and 0.014 m 3/min (0.1 and 0.5 cfm). Adjust the sample flow rate proportionally to the stack gas flow during the test run according to the procedures outlined in section 8. Maintain a proportional sampling rate (within 10 percent of the desired value) and a filter holder temperature no greater than 120 °C (248 °F).
8.10.6 During the test run, make periodic adjustments to keep the temperature around the filter holder at the proper level. Add more ice to the impinger box and, if necessary, salt to maintain a temperature of less than 20 °C (68 °F) at the condenser/silica gel outlet.
8.10.7 If the pressure drop across the filter becomes too high, making proportional sampling difficult to maintain, either filter may be replaced during a sample run. It is recommended that another complete filter assembly be used rather than attempting to change the filter itself. Before a new filter assembly is installed, conduct a leak-check (see section 8.5.2). The total particulate weight shall include the summation of all filter assembly catches. The total time for changing sample train components shall not exceed 10 minutes. No more than one component change is allowed for any test run.
8.10.8 At the end of the test run, turn off the coarse adjust valve, remove the probe and nozzle from the stack, turn off the pump, record the final dry gas meter reading, and conduct a post-test leak-check, as outlined in section 8.5.3.
8.11 Sample Recovery. Same as Method 5, section 8.7, with the exception of the following:
8.11.1 Blanks. The volume of the acetone blank may be about 50-ml, rather than 200-ml; a 200-ml water blank shall also be saved for analysis.
8.11.2 Samples.
8.11.2.1 Container Nos. 1 and 1A. Treat the two filters according to the procedures outlined in Method 5, section 8.7.6.1. The filters may be stored either in a single container or in separate containers.
8.11.2.2 Container No. 2. Same as Method 5, section 8.7.6.2, except that the container should not be sealed until the impinger rinse solution is added (see section 8.10.2.4).
8.11.2.3 Container No. 3. Treat the impingers as follows: Measure the liquid which is in the first three impingers to within 1-ml by using a graduated cylinder or by weighing it to within 0.5 g by using a balance (if one is available). Record the volume or weight of liquid present. This information is required to calculate the moisture content of the effluent gas. Transfer the water from the first, second, and third impingers to a glass container. Tighten the lid on the sample container so that water will not leak out.
8.11.2.4 Rinse impingers and graduated cylinder, if used, with acetone three times or more. Avoid direct contact between the acetone and any stopcock grease or collection of any stopcock grease in the rinse solutions. Add these rinse solutions to sample Container No. 2.
8.11.2.5 Container No. 4. Same as Method 5, section 8.7.6.3
8.12 Sample Transport. Whenever possible, containers should be transferred in such a way that they remain upright at all times.
Note:
Requirements for capping and transport of sample containers are not applicable if sample recovery and analysis occur in the same room.
9.1 Miscellaneous Quality Control Measures.
| Section | Quality control measure | Effect |
|---|---|---|
| 8.2 | Sampling system bias check | Ensures that bias introduced by measurement system, minus analyzer, is no greater than 3 percent of span. |
| 8.2 | Analyzer zero and calibration drift tests | Ensures that bias introduced by drift in the measurement system output during the run is no greater than 3 percent of span. |
| 8.5, 10.1, 12.13 | Sampling equipment leak-check and calibration; proportional sampling rate verification | Ensures accurate measurement of stack gas flow rate, sample volume. |
| 10.1 | Analytical balance calibration | Ensure accurate and precise measurement of collected particulate. |
| 10.3 | Analyzer calibration error check | Ensures that bias introduced by analyzer calibration error is no greater than 2 percent of span. |
9.2 Volume Metering System Checks. Same as Method 5, section 9.2.
10.0 Calibration and StandardizationNote:
Maintain a laboratory record of all calibrations.
10.1 Volume Metering System, Temperature Sensors, Barometer, and Analytical Balance. Same as Method 5G, sections 10.2 through 10.5, respectively.
10.2 SO2 Injection Rotameter. Calibrate the SO2 injection rotameter system with a soap film flowmeter or similar direct volume measuring device with an accuracy of 2 percent. Operate the rotameter at a single reading for at least three calibration runs for 10 minutes each. When three consecutive calibration flow rates agree within 5 percent, average the three flow rates, mark the rotameter at the calibrated setting, and use the calibration flow rate as the SO2 injection flow rate during the test run. Repeat the rotameter calibration before the first certification test and semiannually thereafter.
10.3. Gas Analyzers. Same as Method 6C, section 10.0.
10.4 Field Balance Calibration Check. Check the calibration of the balance used to weigh impingers with a weight that is at least 500g or within 50g of a loaded impinger. The weight must be ASTM E617-13 “Standard Specification for Laboratory Weights and Precision Mass Standards” (incorporated by reference—see 40 CFR 60.17) Class 6 (or better). Daily before use, the field balance must measure the weight within ± 0.5g of the certified mass. If the daily balance calibration check fails, perform corrective measures and repeat the check before using balance.
10.5 Analytical Balance Calibration. Perform a multipoint calibration (at least five points spanning the operational range) of the analytical balance before the first use, and semiannually thereafter. The calibration of the analytical balance must be conducted using ASTM E617-13 “Standard Specification for Laboratory Weights and Precision Mass Standards” (incorporated by reference—see 40 CFR 60.17) Class 2 (or better) tolerance weights. Audit the balance each day it is used for gravimetric measurements by weighing at least one ASTM E617-13 Class 2 tolerance (or better) calibration weight that corresponds to 50 to 150 percent of the weight of one filter or between 1g and 5g. If the scale cannot reproduce the value of the calibration weight to within 0.5 mg of the certified mass, perform corrective measures, and conduct the multipoint calibration before use.
11.0 Analytical Procedure11.1 Record the data required on a sheet such as the one shown in Figure 5H-4.
11.2 Handle each sample container as follows:
11.2.1 Container Nos. 1 and 1A. Treat the two filters according to the procedures outlined in Method 5, section 11.2.1.
11.2.2 Container No. 2. Same as Method 5, section 11.2.2, except that the beaker may be smaller than 250-ml.
11.2.3 Container No. 3. Note the level of liquid in the container and confirm on the analysis sheet whether leakage occurred during transport. If a noticeable amount of leakage has occurred, either void the sample or use methods, subject to the approval of the Administrator, to correct the final results. Determination of sample leakage is not applicable if sample recovery and analysis occur in the same room. Measure the liquid in this container either volumetrically to within 1-ml or gravimetrically to within 0.5 g. Transfer the contents to a 500-ml or larger separatory funnel. Rinse the container with water, and add to the separatory funnel. Add 25-ml of dichloromethane to the separatory funnel, stopper and vigorously shake 1 minute, let separate and transfer the dichloromethane (lower layer) into a tared beaker or evaporating dish. Repeat twice more. It is necessary to rinse Container No. 3 with dichloromethane. This rinse is added to the impinger extract container. Transfer the remaining water from the separatory funnel to a tared beaker or evaporating dish and evaporate to dryness at 104 °C (220 °F). Desiccate and weigh to a constant weight. Evaporate the combined impinger water extracts at ambient temperature and pressure. Desiccate and weigh to a constant weight. Report both results to the nearest 0.1 mg.
11.2.4 Container No. 4. Weigh the spent silica gel (or silica gel plus impinger) to the nearest 0.5 g using a balance.
11.2.5 Acetone Blank Container. Same as Method 5, section 11.2.4, except that the beaker may be smaller than 250 ml.
11.2.6 Dichloromethane Blank Container. Treat the same as the acetone blank.
11.2.7 Water Blank Container. Transfer the water to a tared 250 ml beaker and evaporate to dryness at 104 °C (220 °F). Desiccate and weigh to a constant weight.
12.0 Data Analysis and CalculationsCarry out calculations, retaining at least one extra significant figure beyond that of the acquired data. Round off figures after the final calculation. Other forms of the equations may be used as long as they give equivalent results.
12.1 Nomenclature.
A = Sample flow rate adjustment factor. BR = Dry wood burn rate, kg/hr (lb/hr), from Method 28, Section 8.3. Bws = Water vapor in the gas stream, proportion by volume. Ci = Tracer gas concentration at inlet, ppmv. Co = Tracer gas concentration at outlet, ppmv. Cs = Concentration of particulate matter in stack gas, dry basis, corrected to standard conditions, g/dscm (g/dscf). E = Particulate emission rate, g/hr (lb/hr). ΔH = Average pressure differential across the orifice meter (see Figure 5H-1), mm H2O (in. H2O). La = Maximum acceptable leakage rate for either a post-test leak-check or for a leak-check following a component change; equal to 0.00057 cmm (0.020 cfm) or 4 percent of the average sampling rate, whichever is less. L1 = Individual leakage rate observed during the leak-check conducted before a component change, cmm (cfm). Lp = Leakage rate observed during the post-test leak-check, cmm (cfm). mn = Total amount of particulate matter collected, mg. Ma = Mass of residue of solvent after evaporation, mg. NC = Grams of carbon/gram of dry fuel (lb/lb), equal to 0.0425. NT = Total dry moles of exhaust gas/kg of dry wood burned, g-moles/kg (lb-moles/lb). PR = Percent of proportional sampling rate. Pbar = Barometric pressure at the sampling site, mm Hg (in.Hg). Pstd = Standard absolute pressure, 760 mm Hg (29.92 in.Hg). Qi = Gas volumetric flow rate at inlet, cfm (l/min). Qo = Gas volumetric flow rate at outlet, cfm (l/min).12.2 Average Dry Gas Meter Temperature and Average Orifice Pressure Drop. See data sheet (Figure 5H-3).
12.3 Dry Gas Volume. Same as Method 5, section 12.3.
12.4 Volume of Water Vapor.
Where:
K2 = 0.001333 m
3/ml for metric units.
K2 = 0.04707 ft
3/ml for English units.
12.5 Moisture Content.

12.6 Solvent Wash Blank.

12.7 Total Particulate Weight. Determine the total particulate catch from the sum of the weights obtained from containers 1, 2, 3, and 4 less the appropriate solvent blanks (see Figure 5H-4).
Note:
Refer to Method 5, section 8.5 to assist in calculation of results involving two filter assemblies.
12.8 Particulate Concentration.

12.9 Sample Flow Rate Adjustment.

12.10 Carbon Balance for Total Moles of Exhaust Gas (dry)/kg of Wood Burned in the Exhaust Gas.
Where:
K3 = 1000 g/kg for metric units.
K3 = 1.0 lb/lb for English units.
Note:
The NOX/SOX portion of the gas is assumed to be negligible.
12.11 Total Stack Gas Flow Rate.
Where:
K4 = 0.02406 dscm/g-mole for metric units.
K4 = 384.8 dscf/lb-mole for English units.
12.12 Particulate Emission Rate.

12.13 Proportional Rate Variation. Calculate PR for each 10-minute interval, i, of the test run.

12.14 Acceptable Results. If no more than 15 percent of the PR values for all the intervals fall outside the range 90 percent ≤PR ≤110 percent, and if no PR value for any interval falls outside the range 75 ≤PR ≤125 percent, the results are acceptable. If the PR values for the test runs are judged to be unacceptable, report the test run emission results, but do not include the test run results in calculating the weighted average emission rate, and repeat the test.
12.15 Alternative Tracer Gas Flow Rate Determination.

Note:
This gives Q for a single instance only. Repeated multiple determinations are needed to track temporal variations. Very small variations in Qi, Ci, or Co may give very large variations in Qo.
16.1 Alternative Stack Gas Volumetric Flow Rate Determination (Tracer Gas).
16.1.1 Apparatus.
16.1.1.1 Tracer Gas Injector System. This is to inject a known concentration of tracer gas into the stack. This system consists of a cylinder of tracer gas, a gas cylinder regulator, a stainless steel needle valve or a flow controller, a nonreactive (stainless steel or glass) rotameter, and an injection loop to disperse the tracer gas evenly in the stack.
16.1.1.2 Tracer Gas Probe. A glass or stainless steel sampling probe.
16.1.1.3 Gas Conditioning System. A gas conditioning system is suitable for delivering a cleaned sample to the analyzer consisting of a filter to remove particulate and a condenser capable of lowering the dew point of the sample gas to less than 5 °C (40 °F). A desiccant such as anhydrous calcium sulfate may be used to dry the sample gas. Desiccants which react or absorb tracer gas or stack gas may not be used, e.g. silica gel absorbs CO2.
16.1.1.4 Pump. An inert (i.e., stainless steel or Teflon head) pump to deliver more than the total sample required by the manufacturer's specifications for the analyzer used to measure the downstream tracer gas concentration.
16.1.1.5 Gas Analyzer. A gas analyzer is any analyzer capable of measuring the tracer gas concentration in the range necessary at least every 10 minutes. A means of controlling the analyzer flow rate and a device for determining proper sample flow rate shall be provided unless data is provided to show that the analyzer is insensitive to flow variations over the range encountered during the test. The gas analyzer needs to meet or exceed the following performance specifications:
| Linearity | ±1 percent of full scale. |
| Calibration Error | ≤2 percent of span. |
| Response Time | ≤10 seconds. |
| Zero Drift (24 hour) | ≤2 percent of full scale. |
| Span Drift (24 hour) | ≤2 percent of full scale. |
| Resolution | ≤0.5 percent of span. |
16.1.1.6 Recorder (optional). To provide a permanent record of the analyzer output.
16.1.2 Reagents.
16.1.2.1 Tracer Gas. The tracer gas is sulfur hexafluoride in an appropriate concentration for accurate analyzer measurement or pure sulfur dioxide. The gas used must be nonreactive with the stack effluent and give minimal (<3 percent) interference to measurement by the gas analyzer.
16.1.3 Procedure. Select upstream and downstream locations in the stack or duct for introducing the tracer gas and delivering the sampled gas to the analyzer. The inlet location should be 8 or more duct diameters beyond any upstream flow disturbance. The outlet should be 8 or more undisturbed duct diameters from the inlet and 2 or more duct diameters from the duct exit. After installing the apparatus, meter a known concentration of the tracer gas into the stack at the inlet location. Use the gas sample probe and analyzer to show that no stratification of the tracer gas is found in the stack at the measurement locations. Monitor the tracer gas concentration from the outlet location and record the concentration at 10-minute intervals or more often at the option of the tester. A minimum of three measured intervals is recommended to determine the stack gas volumetric flow rate. Other statistical procedures may be applied for complete flow characterization and additional QA/QC.
17.0 ReferencesSame as Method 5G, section 17.0.
18.0 Tables, Diagrams, Flowcharts, and Validation Data


Method 5I—Determination of Low Level Particulate Matter Emissions From Stationary Sources
Note:
This method does not include all of the specifications (e.g., equipment and supplies) and procedures (e.g., sampling and analytical) essential to its performance. Certain information is contained in other EPA procedures found in this part. Therefore, to obtain reliable results, persons using this method should have experience with and a thorough knowledge of the following Methods: Methods 1, 2, 3, 4 and 5.
1.1 Analyte. Particulate matter (PM). No CAS number assigned.
1.2 Applicability. This method is applicable for the determination of low level particulate matter (PM) emissions from stationary sources. The method is most effective for total PM catches of 50 mg or less. This method was initially developed for performing correlation of manual PM measurements to PM continuous emission monitoring systems (CEMS), however it is also useful for other low particulate concentration applications.
1.3 Data Quality Objectives. Adherence to the requirements of this method will enhance the quality of the data obtained from air pollutant sampling methods. Method 5I requires the use of paired trains. Acceptance criteria for the identification of data quality outliers from the paired trains are provided in section 12.2 of this Method.
2. Summary of Method.2.1. Description. The system setup and operation is essentially identical to Method 5. Particulate is withdrawn isokinetically from the source and collected on a 47 mm glass fiber filter maintained at a temperature of 120 ±14 °C (248 ±25 °F). The PM mass is determined by gravimetric analysis after the removal of uncombined water. Specific measures in this procedure designed to improve system performance at low particulate levels include:
1. Improved sample handling procedures 2 Light weight sample filter assembly 3. Use of low residue grade acetone Accuracy is improved through the minimization of systemic errors associated with sample handling and weighing procedures. High purity reagents, all glass, grease free, sample train components, and light weight filter assemblies and beakers, each contribute to the overall objective of improved precision and accuracy at low particulate concentrations.2.2 Paired Trains. This method must be performed using a paired train configuration. These trains may be operated as co-located trains (to trains operating collecting from one port) or as simultaneous trains (separate trains operating from different ports at the same time). Procedures for calculating precision of the paired trains are provided in section 12.
2.3 Detection Limit. a. Typical detection limit for manual particulate testing is 0.5 mg. This mass is also cited as the accepted weight variability limit in determination of “constant weight” as cited in section 8.1.2 of this Method. EPA has performed studies to provide guidance on minimum PM catch. The minimum detection limit (MDL) is the minimum concentration or amount of an analyte that can be determined with a specified degree of confidence to be different from zero. We have defined the minimum or target catch as a concentration or amount sufficiently larger than the MDL to ensure that the results are reliable and repeatable. The particulate matter catch is the product of the average particulate matter concentration on a mass per volume basis and the volume of gas collected by the sample train. The tester can generally control the volume of gas collected by increasing the sampling time or to a lesser extent by increasing the rate at which sample is collected. If the tester has a reasonable estimate of the PM concentration from the source, the tester can ensure that the target catch is collected by sampling the appropriate gas volume.
b. However, if the source has a very low particulate matter concentration in the stack, the volume of gas sampled may need to be very large which leads to unacceptably long sampling times. When determining compliance with an emission limit, EPA guidance has been that the tester does not always have to collect the target catch. Instead, we have suggested that the tester sample enough stack gas, that if the source were exactly at the level of the emission standard, the sample catch would equal the target catch. Thus, if at the end of the test the catch were smaller than the target, we could still conclude that the source is in compliance though we might not know the exact emission level. This volume of gas becomes a target volume that can be translated into a target sampling time by assuming an average sampling rate. Because the MDL forms the basis for our guidance on target sampling times, EPA has conducted a systematic laboratory study to define what is the MDL for Method 5 and determined the Method to have a calculated practical quantitation limit (PQL) of 3 mg of PM and an MDL of 1 mg.
c. Based on these results, the EPA has concluded that for PM testing, the target catch must be no less than 3 mg. Those sample catches between 1 mg and 3 mg are between the detection limit and the limit of quantitation. If a tester uses the target catch to estimate a target sampling time that results in sample catches that are less than 3 mg, you should not automatically reject the results. If the tester calculated the target sampling time as described above by assuming that the source was at the level of the emission limit, the results would still be valid for determining that the source was in compliance. For purposes other than determining compliance, results should be divided into two categories—those that fall between 3 mg and 1 mg and those that are below 1 mg. A sample catch between 1 and 3 mg may be used for such purposes as calculating emission rates with the understanding that the resulting emission rates can have a high degree of uncertainty. Results of less than 1 mg should not be used for calculating emission rates or pollutant concentrations.
d. When collecting small catches such as 3 mg, bias becomes an important issue. Source testers must use extreme caution to reach the PQL of 3 mg by assuring that sampling probes are very clean (perhaps confirmed by low blank weights) before use in the field. They should also use low tare weight sample containers, and establish a well-controlled balance room to weigh the samples.
3. Definitions.3.1 Light Weight Filter Housing. A smaller housing that allows the entire filtering system to be weighed before and after sample collection. (See. 6.1.3)
3.2 Paired Train. Sample systems trains may be operated as co-located trains (two sample probes attached to each other in the same port) or as simultaneous trains (two separate trains operating from different ports at the same time).
4. Interferences.a. There are numerous potential interferents that may be encountered during performance of Method 5I sampling and analyses. This Method should be considered more sensitive to the normal interferents typically encountered during particulate testing because of the low level concentrations of the flue gas stream being sampled.
b. Care must be taken to minimize field contamination, especially to the filter housing since the entire unit is weighed (not just the filter media). Care must also be taken to ensure that no sample is lost during the sampling process (such as during port changes, removal of the filter assemblies from the probes, etc.).
c. Balance room conditions are a source of concern for analysis of the low level samples. Relative humidity, ambient temperatures variations, air draft, vibrations and even barometric pressure can affect consistent reproducible measurements of the sample media. Ideally, the same analyst who performs the tare weights should perform the final weights to minimize the effects of procedural differences specific to the analysts.
d. Attention must also be provided to weighing artifacts caused by electrostatic charges which may have to be discharged or neutralized prior to sample analysis. Static charge can affect consistent and reliable gravimetric readings in low humidity environments. Method 5I recommends a relative humidity of less than 50 percent in the weighing room environment used for sample analyses. However, lower humidity may be encountered or required to address sample precision problems. Low humidity conditions can increase the effects of static charge.
e. Other interferences associated with typical Method 5 testing (sulfates, acid gases, etc.) are also applicable to Method 5I.
5. Safety.Disclaimer. This method may involve hazardous materials, operations, and equipment. This test method may not address all of the safety concerns associated with its use. It is the responsibility of the user to establish appropriate safety and health practices and to determine the applicability and observe all regulatory limitations before using this method.
6. Equipment and Supplies.6.1 Sample Collection Equipment and Supplies. The sample train is nearly identical in configuration to the train depicted in Figure 5-1 of Method 5. The primary difference in the sample trains is the lightweight Method 5I filter assembly that attaches directly to the exit to the probe. Other exceptions and additions specific to Method 5I include:
6.1.1 Probe Nozzle. Same as Method 5, with the exception that it must be constructed of borosilicate or quartz glass tubing.
6.1.2 Probe Liner. Same as Method 5, with the exception that it must be constructed of borosilicate or quartz glass tubing.
6.1.3 Filter Holder. The filter holder is constructed of borosilicate or quartz glass front cover designed to hold a 47-mm glass fiber filter, with a wafer thin stainless steel (SS) filter support, a silicone rubber or Viton O-ring, and Teflon tape seal. This holder design will provide a positive seal against leakage from the outside or around the filter. The filter holder assembly fits into a SS filter holder and attaches directly to the outlet of the probe. The tare weight of the filter, borosilicate or quartz glass holder, SS filter support, O-ring and Teflon tape seal generally will not exceed approximately 35 grams. The filter holder is designed to use a 47-mm glass fiber filter meeting the quality criteria in of Method 5. These units are commercially available from several source testing equipment vendors. Once the filter holder has been assembled, desiccated and tared, protect it from external sources of contamination by covering the front socket with a ground glass plug. Secure the plug with an impinger clamp or other item that will ensure a leak-free fitting.
6.2 Sample Recovery Equipment and Supplies. Same as Method 5, with the following exceptions:
6.2.1 Probe-Liner and Probe-Nozzle Brushes. Teflon or nylon bristle brushes with stainless steel wire handles, should be used to clean the probe. The probe brush must have extensions (at least as long as the probe) of Teflon, nylon or similarly inert material. The brushes must be properly sized and shaped for brushing out the probe liner and nozzle.
6.2.2 Wash Bottles. Two Teflon wash bottles are recommended however, polyethylene wash bottles may be used at the option of the tester. Acetone should not be stored in polyethylene bottles for longer than one month.
6.2.3 Filter Assembly Transport. A system should be employed to minimize contamination of the filter assemblies during transport to and from the field test location. A carrying case or packet with clean compartments of sufficient size to accommodate each filter assembly can be used. This system should have an air tight seal to further minimize contamination during transport to and from the field.
6.3 Analysis Equipment and Supplies. Same as Method 5, with the following exception:
6.3.1 Lightweight Beaker Liner. Teflon or other lightweight beaker liners are used for the analysis of the probe and nozzle rinses. These light weight liners are used in place of the borosilicate glass beakers typically used for the Method 5 weighings in order to improve sample analytical precision.
6.3.2 Anti-static Treatment. Commercially available gaseous anti-static rinses are recommended for low humidity situations that contribute to static charge problems.
7. Reagents and Standards.7.1 Sampling Reagents. The reagents used in sampling are the same as Method 5 with the following exceptions:
7.1.1 Filters. The quality specifications for the filters are identical to those cited for Method 5. The only difference is the filter diameter of 47 millimeters.
7.1.2 Stopcock Grease. Stopcock grease cannot be used with this sampling train. We recommend that the sampling train be assembled with glass joints containing O-ring seals or screw-on connectors, or similar.
7.1.3 Acetone. Low residue type acetone, ≤0.001 percent residue, purchased in glass bottles is used for the recovery of particulate matter from the probe and nozzle. Acetone from metal containers generally has a high residue blank and should not be used. Sometimes, suppliers transfer acetone to glass bottles from metal containers; thus, acetone blanks must be run prior to field use and only acetone with low blank values (≤0.001 percent residue, as specified by the manufacturer) must be used. Acetone blank correction is not allowed for this method; therefore, it is critical that high purity reagents be purchased and verified prior to use.
7.1.4 Gloves. Disposable, powder-free, latex surgical gloves, or their equivalent are used at all times when handling the filter housings or performing sample recovery.
7.2 Standards. There are no applicable standards commercially available for Method 5I analyses.
8. Sample Collection, Preservation, Storage, and Transport.8.1 Pretest Preparation. Same as Method 5 with several exceptions specific to filter assembly and weighing.
8.1.1 Filter Assembly. Uniquely identify each filter support before loading filters into the holder assembly. This can be done with an engraving tool or a permanent marker. Use powder free latex surgical gloves whenever handling the filter holder assemblies. Place the O-ring on the back of the filter housing in the O-ring groove. Place a 47 mm glass fiber filter on the O-ring with the face down. Place a stainless steel filter holder against the back of the filter. Carefully wrap 5 mm ( 1/4 inch) wide Teflon” tape one timearound the outside of the filter holder overlapping the stainless steel filter support by approximately 2.5 mm ( 1/8 inch). Gently brush the Teflon tape down on the back of the stainless steel filter support. Store the filter assemblies in their transport case until time for weighing or field use.
8.1.2 Filter Weighing Procedures. a. Desiccate the entire filter holder assemblies at 20 ±5.6 °C (68 ±10 °F) and ambient pressure for at least 24 hours. Weigh at intervals of at least 6 hours to a constant weight, i.e., 0.5 mg change from previous weighing. Record the results to the nearest 0.1 mg. During each weighing, the filter holder assemblies must not be exposed to the laboratory atmosphere for a period greater than 2 minutes and a relative humidity above 50 percent. Lower relative humidity may be required in order to improve analytical precision. However, low humidity conditions increase static charge to the sample media.
b. Alternatively (unless otherwise specified by the Administrator), the filters holder assemblies may be oven dried at 105 °C (220 °F) for a minimum of 2 hours, desiccated for 2 hours, and weighed. The procedure used for the tare weigh must also be used for the final weight determination.
c. Experience has shown that weighing uncertainties are not only related to the balance performance but to the entire weighing procedure. Therefore, before performing any measurement, establish and follow standard operating procedures, taking into account the sampling equipment and filters to be used.
8.2 Preliminary Determinations. Select the sampling site, traverse points, probe nozzle, and probe length as specified in Method 5.
8.3 Preparation of Sampling Train. Same as Method 5, section 8.3, with the following exception: During preparation and assembly of the sampling train, keep all openings where contamination can occur covered until justbefore assembly or until sampling is about to begin. Using gloves, place a labeled (identified) and weighed filter holder assembly into the stainless steel holder. Then place this whole unit in the Method 5 hot box, and attach it to the probe. Do not use stopcock grease.
8.4 Leak-Check Procedures. Same as Method 5.
8.5 Sampling Train Operation.
8.5.1. Operation. Operate the sampling train in a manner consistent with those described in Methods 1, 2, 4 and 5 in terms of the number of sample points and minimum time per point. The sample rate and total gas volume should be adjusted based on estimated grain loading of the source being characterized. The total sampling time must be a function of the estimated mass of particulate to be collected for the run. Targeted mass to be collected in a typical Method 5I sample train should be on the order of 10 to 20 mg. Method 5I is most appropriate for total collected masses of less than 50 milligrams, however, there is not an exact particulate loading cutoff, and it is likely that some runs may exceed 50 mg. Exceeding 50 mg (or less than 10 mg) for the sample mass does not necessarily justify invalidating a sample run if all other Method criteria are met.
8.5.2 Paired Train. This Method requires PM samples be collected with paired trains.
8.5.2.1 It is important that the systems be operated truly simultaneously. This implies that both sample systems start and stop at the same times. This also means that if one sample system is stopped during the run, the other sample systems must also be stopped until the cause has been corrected.
8.5.2.2 Care should be taken to maintain the filter box temperature of the paired trains as close as possible to the Method required temperature of 120 ±14 °C (248 ±25 °F). If separate ovens are being used for simultaneously operated trains, it is recommended that the oven temperature of each train be maintained within ±14 °C (±25 °F) of each other.
8.5.2.3 The nozzles for paired trains need not be identically sized.
8.5.2.4 Co-located sample nozzles must be within the same plane perpendicular to the gas flow. Co-located nozzles and pitot assemblies should be within a 6.0 cm × 6.0 cm square (as cited for a quadruple train in Reference Method 301).
8.5.3 Duplicate gas samples for molecular weight determination need not be collected.
8.6 Sample Recovery. Same as Method 5 with several exceptions specific to the filter housing.
8.6.1 Before moving the sampling train to the cleanup site, remove the probe from the train and seal the nozzle inlet and outlet of the probe. Be careful not to lose any condensate that might be present. Cap the filter inlet using a standard ground glass plug and secure the cap with an impinger clamp. Remove the umbilical cord from the last impinger and cap the impinger. If a flexible line is used between the first impinger condenser and the filter holder, disconnect the line at the filter holder and let any condensed water or liquid drain into the impingers or condenser.
8.6.2 Transfer the probe and filter-impinger assembly to the cleanup area. This area must be clean and protected from the wind so that the possibility of losing any of the sample will be minimized.
8.6.3 Inspect the train prior to and during disassembly and note any abnormal conditions such as particulate color, filter loading, impinger liquid color, etc.
8.6.4 Container No. 1, Filter Assembly. Carefully remove the cooled filter holder assembly from the Method 5 hot box and place it in the transport case. Use a pair of clean gloves to handle the filter holder assembly.
8.6.5 Container No. 2, Probe Nozzle and Probe Liner Rinse. Rinse the probe and nozzle components with acetone. Be certain that the probe and nozzle brushes have been thoroughly rinsed prior to use as they can be a source of contamination.
8.6.6 All Other Train Components. (Impingers) Same as Method 5.
8.7 Sample Storage and Transport. Whenever possible, containers should be shipped in such a way that they remain upright at all times. All appropriate dangerous goods shipping requirements must be observed since acetone is a flammable liquid.
9. Quality Control.9.1 Miscellaneous Field Quality Control Measures.
9.1.1 A quality control (QC) check of the volume metering system at the field site is suggested before collecting the sample using the procedures in Method 5, section 4.4.1.
9.1.2 All other quality control checks outlined in Methods 1, 2, 4 and 5 also apply to Method 5I. This includes procedures such as leak-checks, equipment calibration checks, and independent checks of field data sheets for reasonableness and completeness.
9.2 Quality Control Samples.
9.2.1 Required QC Sample. A laboratory reagent blank must be collected and analyzed for each lot of acetone used for a field program to confirm that it is of suitable purity. The particulate samples cannot be blank corrected.
9.2.2 Recommended QC Samples. These samples may be collected and archived for future analyses.
9.2.2.1 A field reagent blank is a recommended QC sample collected from a portion of the acetone used for cleanup of the probe and nozzle. Take 100 ml of this acetone directly from the wash bottle being used and place it in a glass sample container labeled “field acetone reagent blank.” At least one field reagent blank is recommended for every five runs completed. The field reagent blank samples demonstrate the purity of the acetone was maintained throughout the program.
9.2.2.2 A field bias blank train is a recommended QC sample. This sample is collected by recovering a probe and filter assembly that has been assembled, taken to the sample location, leak checked, heated, allowed to sit at the sample location for a similar duration of time as a regular sample run, leak-checked again, and then recovered in the same manner as a regular sample. Field bias blanks are not a Method requirement, however, they are recommended and are very useful for identifying sources of contamination in emission testing samples. Field bias blank train results greater than 5 times the method detection limit may be considered problematic.
10. Calibration and Standardization Same as Method 5, section 5.10.1 Field Balance Calibration Check. Check the calibration of the balance used to weigh impingers with a weight that is at least 500g or within 50g of a loaded impinger. The weight must be ASTM E617-13 “Standard Specification for Laboratory Weights and Precision Mass Standards” (incorporated by reference—see 40 CFR 60.17) Class 6 (or better). Daily, before use, the field balance must measure the weight within ±0.5g of the certified mass. If the daily balance calibration check fails, perform corrective measures and repeat the check before using balance.
10.2 Analytical Balance Calibration. Perform a multipoint calibration (at least five points spanning the operational range) of the analytical balance before the first use, and semiannually thereafter. The calibration of the analytical balance must be conducted using ASTM E617-13 “Standard Specification for Laboratory Weights and Precision Mass Standards” (incorporated by reference—see 40 CFR 60.17) Class 2 (or better) tolerance weights. Audit the balance each day it is used for gravimetric measurements by weighing at least one ASTM E617-13 Class 2 tolerance (or better) calibration weight that corresponds to 50 to 150 percent of the weight of one filter or between 1g and 5g. If the scale cannot reproduce the value of the calibration weight to within 0.5 mg of the certified mass, perform corrective measures and conduct the multipoint calibration before use.
11. Analytical Procedures.11.1 Analysis. Same as Method 5, sections 11.1-11.2.4, with the following exceptions:
11.1.1 Container No. 1. Same as Method 5, section 11.2.1, with the following exception: Use disposable gloves to remove each of the filter holder assemblies from the desiccator, transport container, or sample oven (after appropriate cooling).
11.1.2 Container No. 2. Same as Method 5, section 11.2.2, with the following exception: It is recommended that the contents of Container No. 2 be transferred to a 250 ml beaker with a Teflon liner or similar container that has a minimal tare weight before bringing to dryness.
12. Data Analysis and Calculations.12.1 Particulate Emissions. The analytical results cannot be blank corrected for residual acetone found in any of the blanks. All other sample calculations are identical to Method 5.
12.2 Paired Trains Outliers. a. Outliers are identified through the determination of precision and any systemic bias of the paired trains. Data that do not meet this criteria should be flagged as a data quality problem. The primary reason for performing dual train sampling is to generate information to quantify the precision of the Reference Method data. The relative standard deviation (RSD) of paired data is the parameter used to quantify data precision. RSD for two simultaneously gathered data points is determined according to:
where, Ca and Cb are concentration values determined from trains A and B respectively. For RSD calculation, the concentration units are unimportant so long as they are consistent.
b. A minimum precision criteria for Reference Method PM data is that RSD for any data pair must be less than 10% as long as the mean PM concentration is greater than 10 mg/dscm. If the mean PM concentration is less than 10 mg/dscm higher RSD values are acceptable. At mean PM concentration of 1 mg/dscm acceptable RSD for paired trains is 25%. Between 1 and 10 mg/dscm acceptable RSD criteria should be linearly scaled from 25% to 10%. Pairs of manual method data exceeding these RSD criteria should be eliminated from the data set used to develop a PM CEMS correlation or to assess RCA. If the mean PM concentration is less than 1 mg/dscm, RSD does not apply and the mean result is acceptable.
13. Method Performance [Reserved]14. Pollution Prevention [Reserved]15. Waste Management [Reserved]16. Alternative Procedures. Same as Method 5.
17. Bibliography. Same as Method 5.
18. Tables, Diagrams, Flowcharts and Validation Data. Figure 5I-1 is a schematic of the sample train.

[36 FR 24877, Dec. 23, 1971]
Editorial Note:
For Federal Register citations affecting appendix A-3 to part 60, see the List of CFR sections Affected, which appears in the Finding Aids section of the printed volume and at www.govinfo.gov.